PDF문서우주개발 동향과 전망 vol.2.pdf

닫기

background image

background image

background image

I. 서론

II. 2022년 정부 우주개발 예산 동향

  1. 전 세계 정부 우주개발 예산 동향 

  2. 국가별 정부 우주개발 예산 동향 

  3. 분야별 우주개발 예산 동향

  4. 정부 우주개발 예산과 우주산업 

III. 정부의 민간용 우주개발 프로그램 동향

  1. 유인 우주비행 

  2. 우주과학 및 탐사

  3. 지구관측 및 기상위성

  4. 발사체 

  5. 내비게이션(위성항법)

IV. 국제협력을 통한 우주개발

  1. 글로벌 국제기구의 활동

  2. 지역적 국제기구 또는 그 밖의 국제기구

V. 결론 및 시사점

6

7

9

11

27

29

35

41

47

52

57

64

69


background image

표 목차

 <표 1> 국가별 우주개발 예산 동향(2022) 

 <표 2> 유인 우주비행 분야 정부 우주개발 예산 동향 및 참여 국가 수 변화 

 <표 3> 우주과학 및 탐사 분야 정부 우주개발 예산 동향 및 참여 국가 수 변화

 <표 4> 지구관측 분야 정부 우주개발 예산 동향 및 참여 국가 수 변화

 <표 5> 기상 분야 정부 우주개발 예산 동향 및 참여 국가 수 변화 

 <표 6> 발사체 분야 정부 우주개발 예산 동향 및 참여 국가 수 변화

 <표 7> 기술 분야 정부 우주개발 예산 동향 및 참여 국가 수 변화

 <표 8> 위성통신 분야 정부 우주개발 예산 동향 및 참여 국가 수 변화

 <표 9> 내비게이션 분야 정부 우주개발 예산 동향 및 참여 국가 수 변화 

 <표 10> 우주안보 및 조기경보 분야 정부 우주개발 예산 동향 및 참여 국가 수 변화

 <표 11> 전 세계 우주인 배출현황

 <표 12> 2022년 한 해 국가별 위성 발사 현황

 <표 13> 2022년 한 해 분야별 위성 발사 현황 

 <표 14> 5 조약 및 5 원칙·선언

 <표 15> UN ICG 회원국 구분 및 현황

 <표 16> GEO 워킹그룹 리스트 

 <표 17> APSCO 회원국 및 주요 협력 내용

 

 <표 18> EUMETSAT 회원국 현황

10

13

16

17

19

20

22

23

25

26

34

45

46

58

60

63

65

67


background image

그림 목차

 <그림 1> 상위 5개국의 우주개발 예산 규모(2022) 

 <그림 2> 주요국의 민간 및 국방 정부 우주개발 예산 비중(2022) 

 <그림 3> 분야별 정부 우주개발 예산 추이(2000~2022)

 <그림 4> 정부 우주개발 예산 상위 20개국 예산 변동 추이(1990~2022)

 <그림 5> 2022년 분야별 정부 우주개발 예산 동향

 <그림 6> 정부 우주개발 예산 상위 20개국 유인 우주비행 분야 예산(2022) 

 <그림 7> 주요국 우주과학 및 탐사 분야 예산 비교(2022)

 <그림 8> 주요국의 지구관측(EO) 분야 우주개발 예산 비교(2022)

 <그림 9> 주요국의 기상 분야 우주개발 예산 비교(2022)

 <그림 10> 주요국의 발사체 분야 우주개발 예산 비교(2022) 

 <그림 11> 주요국의 기술 분야 우주개발 예산 비교(2022)

 <그림 12> 주요국의 통신 분야 우주개발 예산 비교(2022)

 <그림 13> 주요국의 내비게이션 분야 우주개발 예산 비교(2022)

 <그림 14> 주요국의 우주안보 및 조기경보 분야 우주개발 예산 비교(2022) 

 <그림 15> 전 세계 정부 우주개발 예산과 우주산업 비교(2022)

 <그림 16> 미국의 유인 우주비행 프로그램

 <그림 17> ESA의 유인 우주비행 프로그램 

 <그림 18> 미국의 우주과학 및 탐사 프로그램

 

 <그림 19> ESA의 우주과학 및 탐사 프로그램

 <그림 20> 미국의 지구관측 및 기상 프로그램

7

8

9

10

12

14

16

18

19

21

22

24

25

27

28

29

33

37

39

41


background image

우주개발 동향과 전망 VOL.2

1. 서론

  제4차 우주개발진흥 기본계획에서는 광복 100주년을 맞아 우주기술, 우주
산업, 우주안보 강국으로 도약하고 지구를 넘어 달과 화성까지 대한민국의 경
제활동 영역을 확장하여 우주경제 강국을 실현하려는 목표를 추진하고 있다. 
이는 우주개발 선진국들을 중심으로 우주분야에서 민간기업의 참여가 확대
되고 있는 것과 일치하는 것이며 최근에는 지정학적 긴장 고조와 함께 주요국
들의 우주 분야에서의 경쟁이 심화되고, 우주안보에 대한 관심 또한 높아지고 
있다. 이에 따라 앞으로는 우주분야가 주요 산업과 경제, 안보 분야에 미치는 
영향이 더욱 커질 것으로 예상된다. 따라서 주요국들을 비롯한 전 세계 우주
개발 동향을 파악하고 미래를 전망하는 것은 정부의 우주정책을 지원하는데 
있어서 매우 중요하다고 할 수 있다. 

  본 연구에서는 각국의 우주개발 예산과 주요 프로그램들을 통해 전 세계 우
주개발 동향과 전망에 대해 살펴볼 것이다. 각국 정부의 우주개발 예산은 각
국이 현재 어떠한 분야에 집중하여 투자하고 있으며, 앞으로 우주 분야가 어
떻게 변화할 것인지 예측하는데 있어서 매우 중요한 지표이다. 또한 우주개발 
주요국들의 예산을 분석하고 주요 우주개발 프로그램들과 국제협력과 관련된 
이슈들을 살펴봄으로써 한국의 우주개발 정책의 방향성을 설정하는데 도움
이 될 수 있는 자료를 제시하는 것이 본 연구의 주된 목적이다. 

  여기서는 유로컨설트社가 발간한 Government Space Program, Space 
Economy Report, Satel ites to be built and launched by 2031 등의 보고
서 및 데이터를 주된 자료로 하고 있으며, 주요 우주기관의 홈페이지 및 각종 
보도 자료 등을 참고하여 작성하였다. 주요 기관마다 발표하는 수치에 차이
가 크기 때문에 본 연구에서는 절대적인 수치보다는 각 국가별 예산의 상대적
인 규모와 비중, 기간에 따른 증감에 대한 비교분석에 보다 중점을 두었다. 특
히 우주개발 예산 상위 20개국의 정부 우주개발 예산을 비교함으로써 전 세
계 주요 국가들이 집중적으로 투자하고 있는 분야들을 파악하고자 하였으며, 
각국의 대표적인 정부 우주개발 프로그램과 국제협력 사례들을 살펴봄으로써 
정책적 시사점을 도출하고자 하였다.

I. 서론


background image

   

한국항공우주연구원

II. 2022년 정부 우주개발 

예산 동향

1)  Euroconsult (2022) 

Government Space 
Programs

II. 2022년 정부 우주개발 예산 동향 

1)

   1. 전 세계 정부 우주개발 예산 동향

  2022년 전 세계 정부 우주개발 예산은 전년대비 9% 증가한 약 1,030억 달
러로 역대 최대 규모를 기록하였다. 전 세계 정부 우주개발 예산의 약 60%가 
미국의 우주개발 예산(약 620억 달러)으로 중국 12%, 일본 5%, 프랑스 4%, 
러시아 3%, 나머지 국가들이 0~3% 미만의 비중을 차지하고 있다. 다음 <그
림 1>은 우주개발 예산 상위 5개국인 미국, 중국, 일본, 프랑스, 러시아의 우주
개발 예산 규모를 나타낸 것이다. 이들 5개 국가의 우주개발 예산이 전 세계 
우주개발 예산의 83%를 차지하고 있으며 현재 이들 국가가 전 세계 우주개발 
트렌드를 주도하고 있다고 볼 수 있다. 특히 미국의 정부 우주개발 예산은 전
년대비 12% 증가하였으며, 중국 6%, 일본 16%, 프랑스 또한 13% 증가한 반
면, 러시아의 경우 전년대비 약 4% 우주개발 예산의 감소를 보이고 있다. 

출처: Euroconsult (2022) Government Space Programs

* 괄호: 전년 대비 증감률(%)

<그림 1>  상위 5개국의 우주개발 예산 규모(2022)

전 세계 예산 

83%

미국

중국

일본

프랑스

러시아

620

119

49

42

34

2022

합계

국방

민간

국가

(단위 : 억 달러)

620

(12%)

370

(18%)

250

(4%)

미국

119

(6%)

40

(4%)

79

(7%)

중국

49

(16%)

17

(31%)

32

(10%)

일본

42

(13%)

11

(4%)

31

(17%)

프랑스

34

(-4%)

17

(3%)

17

(-10%)

러시아

  이러한 수치는 각국의 민간 및 국방 부문 정부 우주개발 예산을 모두 포
함한 것이다. 전체 우주개발 예산 중 민간부문이 약 550억 달러로 54%
의 비중을 차지하고 있으며, 국방부문은 약 480억 달러로 46%의 비중


background image

우주개발 동향과 전망 VOL.2

II.  2022년 정부 우주개발 

예산 동향

을 차지하고 있다. 민간부문의 예산이 전년대비 4% 성장한 것에 비해 국
방부문의 예산이 전년대비 16% 증가하면서 민간부문과 국방부문 우주개
발 예산의 차이가 점점 감소하는 추세가 나타난다. 특히 미국의 경우 전
체 우주개발 예산의 약 60%가 국방 정부 우주개발 예산이 차지하고 있
으며 대부분이 기밀 프로그램으로 세부적인 내용은 공개되지 않고 있다. 
우주개발 예산 상위 5개국들의 국방 부문 우주개발 예산의 비중은 미국 
60%, 중국 33%, 일본 34%, 프랑스 26%, 러시아 49%로 대체로 높게 
나타나고 있다. 영국의 경우 민간부문의 예산이 감소하고 국방부문의 예
산이 증가하면서 국방부문 예산이 차지하는 비중이 34%로 높게 나타났
으며 한국 또한 국방부문의 우주개발 예산이 빠르게 증가하고 있는 국가
들에 속한다.

<그림 2> 주요국의 민간 및 국방 정부 우주개발 예산 비중(2022)

출처: Euroconsult (2022) Government Space Programs

  한편 정부 우주개발 예산은 민간과 국방 부문의 구문에 따라 크게 차이
가 나타난다. 유인 우주비행과 우주과학 및 탐사 분야는 주로 민간 부문
의 투자가 집중되며, 우주안보 및 조기경보 분야는 주로 국방 부문의 투
자가 집중된다. 전 세계 민간 정부 우주개발 예산 중 26%는 유인 우주비
행 분야에 사용되며, 18%는 우주과학 및 탐사, 12%는 지구관측, 8%는 
기술, 7%는 발사체 등의 분야에 사용되고 있다. 전 세계 정부 우주개발 
예산이 전년대비 약 9% 증가한 것은 주로 국방 부문의 미국 기밀 프로그
램2), 우주안보, 기술 분야의 예산 증가에 기인하며, 다음으로 민간 부문

2)  미국의 기밀 프로그램

은 약185억 달러 규모
로 세부내용이 공개되
지 않고 있음


background image

   

한국항공우주연구원

II. 2022년 정부 우주개발 

예산 동향

의 지구관측, 유인 우주비행, 기술 분야 예산의 성장이 영향을 주었다. 특
히 국방 분야의 우주 안보 예산의 경우 주로 SSA, 미사일 조기경보, 근 
지구 물체 모니터링, ELINT, RF모니터링, 우주기상 위성 등의 예산이 해
당되며 최근 들어 가장 급격하게 성장하고 있다.

<그림 3> 분야별 정부 우주개발 예산 추이(2000~2022)

출처: Euroconsult (2022) Government Space Programs

2. 국가별 정부 우주개발 예산 동향

  2022년 우주개발에 참여하는 국가의 수는 약 87개국3)이며 전체 정부 우
주개발 예산에서 각국이 차지하는 비중은 미국(60.1%), 중국(11.6%), 일본
(4.8%), 프랑스(4.1%), 러시아(3.3%), EU(2.5%), 독일(2.5%), 인도(1.9%), 이
탈리아(1.7%), 영국(1.1%), 한국(0.7%) 등으로 나타나며 특히 미국, 중국, 일본, 
프랑스의 성장이 눈에 띄게 나타난다.   

  특히 러시아의 경우 정부 우주개발 예산이 2013년 정점 이후 지속적으로 감
소하고 있고, 영국 또한 OneWeb에 대한 대규모 투자 이후 최근 감소한 것으
로 나타난다. 반면, 그 외 미국, 중국, 일본, 프랑스 등 주요국들의 우주개발 예
산은 지속적으로 성장하고 있다.

3)  유로컨설트 자료 기준 

2022년 우주예산이 
100만 달러 이상인 국
가, EU 포함


background image

우주개발 동향과 전망 VOL.2

<그림 4> 정부 우주개발 예산 상위 20개국 예산 변동 추이(1990~2022)

출처: Euroconsult (2022) Government Space Programs

  다음 <표 1>는 우주개발 예산 상위 20개국4)의 예산 동향을 나타낸 것이
다. 20개국에는 미국, 중국, 일본, 프랑스, 러시아, EU, 독일, 인도, 이탈리아, 
영국, 한국, 캐나다, 호주, 스페인, 벨기에, 터키, 스위스, 사우디아라비아, 아
르헨티나, 아랍에미리트가 해당되며 이들 국가의 우주개발 예산이 전체의 
약 97.3%를 차지하고 있다.

<표 1> 국가별 우주개발 예산 동향(2022)

지역

국가명 순위

GDP

비중

인당

민간/

국방

주요 우주개발 분야

(백만달러)

우주예산

(백만달러)

5년 

CAGR

북아메

리카

캐나다

미국

0.03%

(-)

$14.5

(▲3.5)

73/27%

(▼/▲)

유인우주비행: $117.3(22%)
위성통신: $107.3(20%)
지구관측: $83.2(15%)

0.27%

(▲0.04)

$184.8

(▲38.3)

40/60%

(▼/▲)

유인우주비행: $10,219(16%)
우주과학 및 탐사 $5,658(9%)
기술: $3,817(6%)

12

(-)

1

(-)

$541

(▲51)

$61,967

(▲7,378)

5%

(▲1)

11%

(▲3)

아르헨티나

라틴

아메리카

0.04%

(▲0.01)

$4.5

(▲1.8)

100/0%

(-)

지구관측: 72.9(35%)
발사체: 57.9(28%)
위성통신: 53.2(26%)

19

(▲4)

$208

(▲86)

14%

(▲15)

벨기에

유럽

0.05%

(▼0.06)

$27.6

(▼1)

97/03%

(-)

기술: $72.4(23%)
발사체: $58.4(18%)
지구관측: $56.4(18%)

15

(▼1)

$321

(▼10)

5%

(▼2)

EUMETSAT

-

-

100/0% 기상: $618.2(100%)

-

$618

(▼118)

-3%

(▼8)

ESA

-

-

100/0%

우주과학 및 탐사: $1,154(21%)
발사체: $1,148(21%)
위성통신: $593.3(11%)

-

$5,494

(▲297)

5%

(▲1)

EU

-

-

100/0%

내비게이션: $1,353(52%)
지구관측: $874.1(34%)
기술: 305(12%)

6

(-)

$2,599

(▲25)

6%

(▼1)

ESO

-

-

100/0%

우주과학 및 탐사: 
$395.6(100%)

-

$396

8%

프랑스

0.14%

(▼0.01)

$62.1

(▲3.4)

74/26%

(-)

발사체: $1,325(32%)
위성통신: $839.1(20%)
기술: $561.0(13%)

4

(-)

$4,204

(▲252)

7%

(-)

II.  2022년 정부 우주개발 

예산 동향

4)  유럽 국가들의 민간 

우주개발 예산의 경
우 ESA, EUMETSAT, 
ESO 기여분이 포함됨


background image

   

한국항공우주연구원

지역

국가명 순위

GDP

비중

인당

민간/

국방

주요 우주개발 분야

(백만달러)

우주예산

(백만달러)

5년 

CAGR

II. 2022년 정부 우주개발 

예산 동향

유럽

아시아

러시아

/CIS

중앙

아시아 

및 

아프리카

독일

이탈리아

0.06%

(-)

$30.4

(▲1.8)

89/11%

(▼/▲)

기술: $608.4(26%)
우주과학 및 탐사: $424.7(18%)
지구관측: 406.8(17%)

0.08%

(▼0.03)

$29.3

(▼11.2)

88/12%

(▼/▲)

지구관측: $360.1(21%)
우주과학 및 탐사: $343.6(20%)
기술: $263.7(15%)

7

(-)

9

(-)

$2,527

(▲150)

$1,736

( 255)

3%

(▼1)

5%

(▼4)

스페인

0.03%

(-)

$8.9

(▼0.4)

79/21%

(▲/▼)

우주과학 및 탐사: $92.9(22%)
발사체: $85.9(20%)

14

(▼1)

$420

(▼21)

3%

(▼1)

스위스

0.03%

(-)

$30

(▼0.1)

93/07%

(-)

우주과학 및 탐사: $52.3(20%)
기술: $46.7(18%)
지구관측: $39.2(15%)

17

(-)

$263

(▼11)

5%

(▼1)

인도

0.06%

(▼0.01)

$1.4

(-)

96/04%

(-)

발사체: $509.9(26%)
기술: $315.9(16%)
위성통신: $266.6(14%)

8

(-)

$1,934
(▼29)

5%

(▼6)

터키

0.04%

(-)

$3.5

(▼0.2)

54/46%

(▼/▲)

지구관측: $125.8(43%)
위성통신: $109.4(37%)
기술: $23.7(8%)

16

(-)

$296

(▼19)

28%

(▲6)

영국

0.04%

(▼0.01)

$17.0

(▼4.7)

66/34%

(▼/▲)

위성통신: $363.1(31%)
우주과학 및 탐사: $210.5(18%)
지구관측: $188.3(16%)

10

(-)

$1,154

(▼310)

7%

(▼5)

일본

0.10%

(▲0.02)

$39.3

(▲5.7)

66/34%

(▼/▲)

지구관측: 1,301.8(27%)
우주안보: $964.6(20%)
내비게이션: $487.0(10%)

3

(-)

$4,898

(▲684)

10%

(▲3)

UAE

0.06%

(▲0.04)

$19.6

(▲8.3)

92/08%

(▲/▼)

위성통신: $97.9(49%)
우주과학 및 탐사: $33.8(17%)
지구관측: $28.0(14%)

20

(▼4)

$198

(▲85)

-14%

(▲7)

러시아

0.19%

(▼0.05)

$23.7

(▼1)

51/49%

(▼/▲)

발사체: $797.6(25%)
위성통신: $509.2(15%)
내비게이션: $357.8(10%)

5

(-)

$3,417

(▼150)

-6%

(▼3)

한국

0.04%

(-)

$14.0

(▲0.9)

82/18%

(▼/▲)

지구관측: $304.2(42%)
발사체: $146.4(20%)
내비게이션: 71.6(10%)

11

(-)

$724

(▲45)

3%

(▲3)

호주

0.03%

(▲0.01)

$18.0

(▲5.5)

45/55%

(▲/▼)

위성통신: $139.1(29%)
지구관측: $102.2(22%)
내비게이션: $68.6(15%)

13

(▲2)

$473

(▲149)

12%

(▲12)

사우디

아라비아

0.03%

(▲0.02)

$7.0

(▲4.9)

40/60%

(▼/▲)

지구관측: $120.6(48%)
위성통신: $94.0(38%)
기술: $28.5(11%)

18

(▲14)

$250

(▲175)

-1%

(▲1)

중국

0.01%

(▼0.06)

$8.4

(▲1.1)

66/34%

(▼/▲)

유인우주비행: $2,759(23%)
우주과학 및 탐사: $1,694(14%)
지구관측: 1,314(11%)

2

(-)

$11,935

(▲1,649)

9%

(▲1)

출처: Euroconsult (2022) Government Space Programs

3. 분야별 우주개발 예산 동향

  각국 정부의 우주개발 예산은 민간과 국방의 구분에 따라 집중하고 있는 분야
에 다소 차이가 나타난다. 민간 정부 우주개발 예산은 유인 우주비행, 우주과학 
및 탐사, 기상 분야에 집중되고 있는 반면, 국방 정부 우주개발 예산은 우주안보 
및 조기경보 등의 분야에 집중되고 있다. 지구관측, 기술, 발사체, 통신, 내비게
이션 등의 분야는 민간과 국방 부문 모두 적극적으로 투자하고 있는 분야이다.


background image

우주개발 동향과 전망 VOL.2

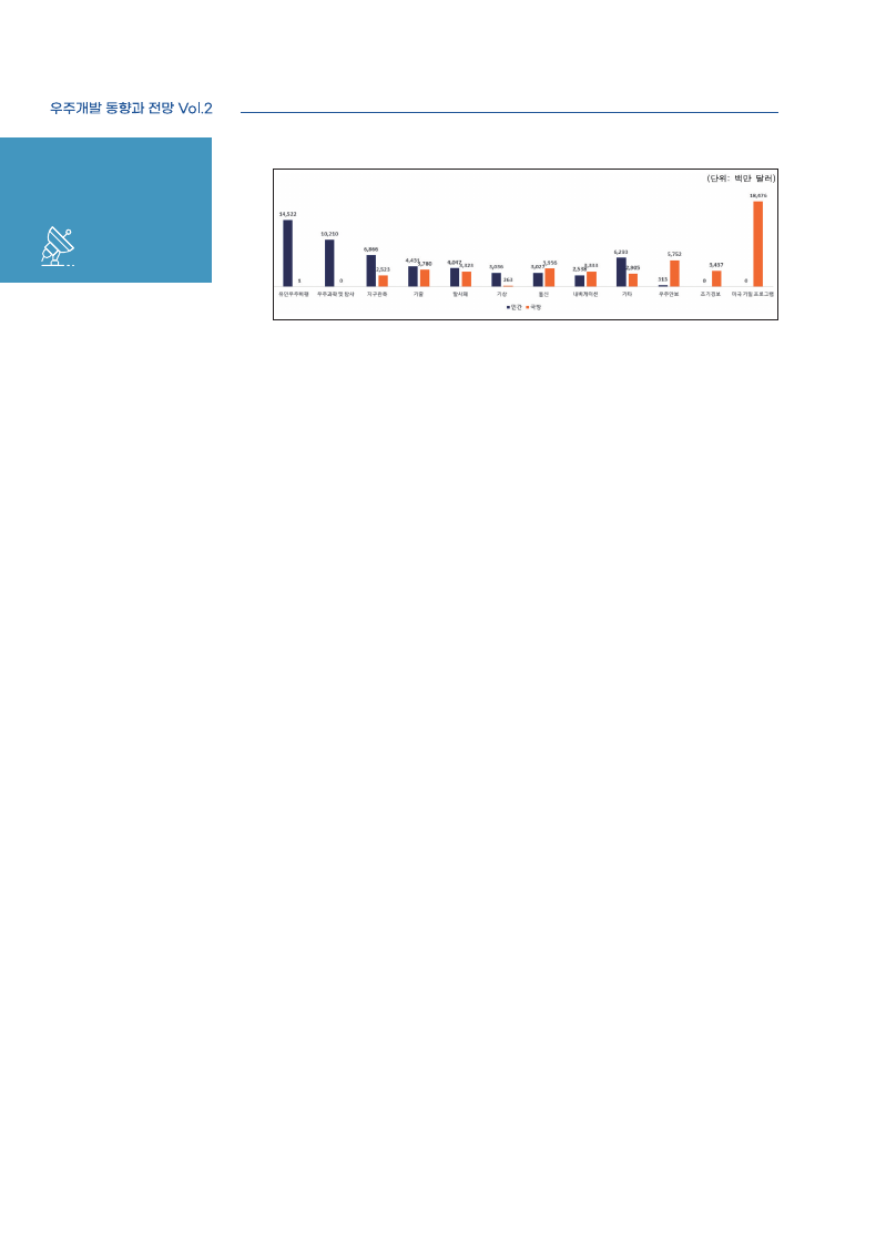
<그림 5> 2022년 분야별 정부 우주개발 예산 동향

출처: Euroconsult (2022) Government Space Programs

  여기서는 2013년 대비 분야별 우주개발 예산, 참여하는 국가 수, 국가별 
평균 예산 등의 변화를 비교하고 우주개발 예산 상위 20개국의 분야별 
우주개발 예산의 최근 동향을 살펴볼 것이다. 이를 통해 우주개발 예산의 
변화가 참여 국가의 수 변화에 기인한 것인지, 주요국들의 해당 분야에 
대한 예산이 변화한 것인지 등을 살펴볼 것이다. 또한 우주개발 예산 상
위 20개국의 분야별 우주개발 예산 규모를 비교하여 각 주요국들이 어떠
한 분야에 집중하고 있는지, 한국의 우주개발 예산이 주요 국가들과 비교
하여 어떠한 분야에서 차이가 있는지 등을 살펴보고자 하였다. 

  우주개발 분야는 크게 유인 우주비행, 우주과학 및 탐사, 지구관측, 기
상, 발사체, 기술, 통신, 내비게이션, 우주안보 9개로 구분하였다. 2022년 
유로컨설트의 국가별 우주개발 예산 데이터5)를 기준으로 하였으며, 참여 
국가의 수가 적은 조기경보 분야와 미국의 기밀 국방 프로그램 등은 분석
에서 제외하였다.

 유인 우주비행

  유인 우주비행 분야는 최근 미국과 중국 등 우주개발 선진국들이 민간 정
부 부문에서 가장 많은 예산을 투자하고 있는 분야이며, 그 외에도 일본, 
러시아, 인도, 독일, 캐나다, 이탈리아 등 국가들이 1억 달러 이상의 예산을 
투자하고 있다. 지구 궤도 또는 그 너머(달 궤도 등)로 화물과 사람을 수송
하는 발사체의 개발 및 운용과 궤도상의 인프라(ISS 등)의 개발 및 운용 등

II.  2022년 정부 우주개발 

예산 동향

5)  예산 규모 최소 100만 

달러 기준


background image

   

한국항공우주연구원

이 여기에 포함된다. 

  2022년 유인 우주비행 분야 예산은 약 145억 달러로 2013년 100억 달
러 대비 46% 증가하였다. 2022년 유인 우주비행 분야에 투자하고 있는 
국가의 수는 21개 국가로 2012년 19개국에서 소폭 증가하였으며 참여국들
의 유인 우주비행 분야 국가별 평균 예산은 7억 달러로 전체 우주개발 분
야 중에서 가장 높은 수준인 것으로 나타난다. 

  최근 10년 동안 전 세계 유인 우주비행 예산 규모가 급격히 성장한 것은 
미국과 중국의 경쟁적인 투자 증가에 기인하며 소수의 국가들이 막대한 예
산을 투자하고 있는 분야인 것이 특징이다. 유인 우주비행 분야 예산은 크
게 우주 정거장 관련 예산과 유인 우주발사체 개발 관련 예산으로 구분된
다. 미국의 유인 우주비행 예산은 약102억 달러 규모로 주로 아르테미스 
프로그램과 ISS 프로그램에 기인하며, 중국의 유인 우주비행 예산은 약28
억 달러 규모로 주로 중국우주정거장(CSS) 프로그램 예산에 기인한다. 그
밖에 러시아의 경우 ISS 운영 및 운송 미션, 일본의 경우 우주비행사 프로
그램, ISS 운영 관련 파트너십, 달 게이트웨이 참여 등의 예산이 편성되어 
있으며, 인도의 경우 유인 우주 발사체 개발과 관련된 예산이다. 캐나다의 
경우 ISS 미션, 독일, 프랑스, 이탈리아 등 유럽 국가들은 주로 ESA의 유인 
우주비행 프로그램에 대한 기여분으로 예산이 편성되어 있으며 UAE의 경
우 ISS 관련 우주인 프로그램을 운영하고 있다.

II. 2022년 정부 우주개발 

예산 동향

6)  정부 우주개발 예산 상

위 20개국: 미국, 중
국, 일본, 프랑스, 러시
아, EU, 독일, 인도, 이
탈리아, 영국, 한국, 캐
나다, 호주, 스페인, 벨
기에, 터키, 스위스, 사
우디아라비아, 아르헨
티나, 아랍에미리트(유
럽 국가의 경우 ESA, 
EUMETSAT, ESO 기여
분 포함)

  다음 <그림 6>은 정부 우주개발 예산 규모 상위 20개국6)의 유인 우주비
행 분야 예산을 비교한 것이다. 정부 우주개발 예산의 전체 규모가 높은 국

<표 2> 유인 우주비행 분야 정부 우주개발 예산 동향 및 참여 국가 수 변화

주) 평균예산 = 유인 우주비행 예산 / 참여 국가 수
자료: Euroconsult (2022) Government Space Programs

2022년

2013년

증감율

구분

145억 달러

100억 달러

+46%

전 세계

유인 우주비행 예산

7억 달러

5억 달러

+32%

국가별 평균 예산

21개국

19개국

+11%

참여 국가 수


background image

우주개발 동향과 전망 VOL.2

II.  2022년 정부 우주개발 

예산 동향

7)  전체 우주개발 예산 상

위 20개국을 높은 순
으로 우측에서부터 나
열함(거품의 면적: 각
국의 해당 분야 우주개
발 예산 규모(백만달
러), 높이: 각국의 우주
개발 예산 대비 해당 분
야 우주개발 예산 비중
(%))

가일수록 그래프의 우측에 위치하며, 원의 면적은 각국의 유인 우주비행 
분야 예산 규모를 의미한다. 높이는 각국 정부 우주개발 예산에서 유인 우
주비행 분야 예산이 차지하는 비중(%)을 나타낸다. 원의 면적이 크고 각
국의 우주개발 예산에서 차지하는 비중이 높을수록 유인 우주비행 분야에 
대한 예산의 중요도가 높게 편성되어 있다고 볼 수 있다. 

  정부 우주개발 예산 상위 20개국 중 14개국이 유인 우주비행 분야에 투
자하고 있으며, 미국과 중국의 예산이 전 세계 유인 우주비행 분야 예산 규
모의 70%와 19%로 대부분을 차지하고 있다. 유인 우주비행 분야 투자 비
중은 각국 정부 우주개발 예산 전체 규모에 대체로 비례하는 경향이 있으
며 미국, 중국, 일본, 러시아 등이 주요 투자국이다. 중국과 캐나다의 경우 
전체 우주개발 예산 대비 20% 이상을 해당 분야에 집중적으로 투자하고 
있으며, 인도, 러시아, UAE 또한 유인 우주비행 예산 비중이 전체 우주개
발 예산의 10% 이상으로 높은 편이다. 그 외 국가들의 경우 유인 우주비행 
예산 규모가 10% 미만으로 낮은 편이며 한국, 호주, 터키 등 국가의 경우 
아직 유인 우주비행분야에 투자를 하지 않고 있다.

<그림 6> 정부 우주개발 예산 상위 20개국 유인 우주비행 분야 예산(2022) 7)

주) 유럽 국가의 경우 ESA, EUMETSAT, ESO 분담금 포함
자료: Euroconsult (2022) Government Space Programs

 < 우주개발 예산 상위 20개국 유인 우주비행 분야 예산 >           (단위: 백만 달러)

50

20

106

0

206

0

173

8

0

0

349

18

72

8

393

0

2,759

117

10,219

0

영국

이탈리아

인도

독일

EU

러시아 프랑스

일본

중국

미국

UAE 아르헨티나 사우디아라비아 스위스

터키

벨기에 스페인

호주

캐나다

한국


background image

   

한국항공우주연구원

II. 2022년 정부 우주개발 

예산 동향

 우주과학 및 탐사

  우주과학 및 탐사 분야에는 달, 화성, 기타 심우주 탐사, 천문학, 천체물
리학, 태양물리학 등 연구와 이를 위한 탐사선, 로버 등의 개발이 포함된다. 
2022년 우주과학 및 탐사 분야 예산은 102억 달러로 최근 10년 동안 매우 
급격하게 증가하였으며, 전 세계 정부 우주개발 예산에서 2번째로 높은 비
중을 차지하고 있다. 우주과학 및 탐사 분야에 참여하는 국가의 수가 2013
년 33개국에서 2022년 38개국으로 15% 증가하였으며 국가별 평균 예산 
또한 2012년 2억 달러에서 2022년 3억 달러로 54% 증가하였는데 이는 
우주과학 및 탐사 분야에 참여하는 국가의 수보다 각국의 우주과학 및 탐
사 예산의 규모가 더 빠르게 증가하였다는 것을 의미한다. 주요국들의 우
주과학 및 탐사 분야 예산이 빠르게 성장하고 있다고 볼 수 있다.  

  우주과학 및 탐사 분야는 민간 정부 우주개발 프로그램 중에서 가장 핵
심적인 분야로 타 분야에 비해 순수 연구 목적의 성격이 강해 국가 간 협력
이 상대적으로 용이한 특징이 있다. 특히 천문 관측 망원경, 달 또는 화성 
탐사와 같은 주요 프로그램들은 천문학적 비용이 들고 기술적 난이도 또
한 매우 높기 때문에 국제적인 협력이 활발하게 진행된다. 미국의 우주과
학 및 탐사 분야 예산은 약 57억 달러 규모로 전 세계 우주과학 및 탐사 예
산의 약 55%를 차지하고 있으며 중국이 약 17억 달러 규모로 전체의 17%
를 차지하고 있으며, 일본, 인도 등 국가와 독일, 프랑스, 이탈리아 등 유
럽 국가들 또한 우주과학 및 탐사 분야의 예산이 높게 편성되어 있다. 미국 
NASA의 2028년 발사될 화성 샘플 귀환 미션은 ESA와의 협력으로 진행
될 계획이며, 달 탐사 및 심우주 미션, 제임스웹 망원경 및 후속 로마 우주 
망원경 등의 프로그램을 추진하고 있다. 중국은 달 탐사 및 국제 달 연구스
테이션 등을 추진하고 있으며, 일본은 다수의 심우주 미션과 달 탐사, 미국
의 달 게이트 웨이 참여 등을 추진하고 있다. 독일, 프랑스, 이탈리아 등 유
럽 국가들은 주로 ESA의 여러 우주탐사 프로그램에 참여하고 있으며, 인
도의 경우 다양한 우주과학 연구 프로그램 및 지원, 달 탐사 등의 미션을 
추진하고 있다.


background image

우주개발 동향과 전망 VOL.2

II.  2022년 정부 우주개발 

예산 동향

  다음 <그림 7>은 우주개발 예산 상위 20개국의 우주과학 및 탐사 분야 
예산을 비교한 것이다. 상위 20개국의 우주과학 및 탐사 분야 예산 비중은 
전체 우주개발 예산 규모에 반드시 비례하는 것은 아니며 국가마다 다소 
차이가 있는 것으로 나타난다. 미국과 중국은 전체 우주과학 및 탐사 분야 
예산에서 각각 55%와 17%를 차지하는 주요 투자국이며 일본과 프랑스의 
경우 예산의 규모는 크지만 각국의 전체 우주개발 예산에서 우주과학 및 
탐사분야의 비중은 9%와 7%로 낮은 편이다. 스페인, 독일, 이탈리아, 영
국 등 유럽 국가들은 ESA 프로그램에 대한 기여로 우주과학 및 탐사분야
에 대한 예산 비중이 18%~22%로 높은 편이며, UAE의 경우에도 우주과
학 및 탐사분야의 예산 비중이 17%로 높은 편으로 나타난다. 사우디아라
비아, 러시아, 한국 등 국가들의 경우 정부 우주개발 예산 규모에서 우주과
학 및 탐사 분야가 차지하는 비중이 5% 미만으로 매우 낮은 편이다. 

<표 3> 우주과학 및 탐사 분야 정부 우주개발 예산 동향 및 참여 국가 수 변화

주) 평균예산 = 우주과학 및 탐사 예산 / 참여 국가 수
자료: Euroconsult (2022) Government Space Programs

2022년

2013년

증감율

구분

102억 달러

57억 달러

78%

전 세계 

우주과학 및 탐사 예산

3억 달러

2억 달러

54%

국가별 평균 예산

38개국

33개국

15%

참여 국가 수


background image

   

한국항공우주연구원

II. 2022년 정부 우주개발 

예산 동향

<그림 7> 주요국 우주과학 및 탐사 분야 예산 비교(2022)

주) 유럽 국가의 경우 ESA, EUMETSAT, ESO 분담금 포함
자료: Euroconsult (2022) Government Space Programs

 < 우주개발 상위 20개국 우주과학 및 탐사 분야 예산 >           (단위: 백만 달러)

210

34

344

0

231

2

531

52

0

20

69

36

288

93

431

45

1,694

78

5,658

32

영국

이탈리아

인도

독일

EU

러시아 프랑스

일본

중국

미국

UAE 아르헨티나 사우디아라비아 스위스

터키

벨기에 스페인

호주

캐나다

한국

  각국의 지구관측 분야 예산이 전체 예산에서 차지하는 비중은 미국(4%)
을 제외하고 10% 이상으로 높은 편이다. 그럼에도 불구하고 미국의 지구
관측 분야 예산이 약24억 달러로 가장 높으며, 중국과 일본이 각각 약 13

<표 4> 지구관측 분야 정부 우주개발 예산 동향 및 참여 국가 수 변화

주) 국가별 평균 예산 = 지구관측 예산 / 참여 국가 수
자료: Euroconsult (2022) Government Space Programs

2022년

2013년

증감율

구분

94억 달러

73억 달러

28%

전 세계

지구관측 분야 예산

1억 달러

1억 달러

-1%

국가별 평균 예산

67개국

52개국

29%

참여 국가 수

 지구관측

  2022년 지구관측 분야에는 67개국이 참여하고 있으며 가장 많은 국가
들이 참여하고 있는 대중적인 분야라고 할 수 있다. 이는 지구관측 위성의 
경우 다양한 용도로 활용이 가능하고 타 분야에 비해 상대적으로 개발비
용이 적게 들고 기술적 진입장벽 또한 상대적으로 낮은 분야이기 때문인 
것으로 판단된다. 전체 지구관측 분야 예산과 지구관측 분야에 투자하는 
국가의 수는 모두 증가하였으나 국가별 평균 예산의 규모는 소폭 감소하였
다. 이는 상대적으로 낮은 예산으로 지구관측 분야에 진입하는 국가의 수
가 증가하였기 때문인 것으로 판단되며, 참여국들의 지구관측 위성 개발에 
드는 비용이 다소 정체되어 있다고 볼 수 있다.


background image

우주개발 동향과 전망 VOL.2

억 달러, EU가 9억 달러 수준으로 나타난다. 사우디 아라비아, 터키, 한국
의 경우 지구관측 분야 예산이 정부 우주개발 예산의 40% 이상을 차지하
고 있으며, 아르헨티나, EU, 일본, 이탈리아, 호주 또한 지구관측 분야의 예
산이 정부 우주개발 예산에서 차지하는 비중이 20% 이상으로 높게 나타
난다.

 < 우주개발 상위 20개국 지구관측 분야 예산 >           (단위: 백만 달러)

<그림 8> 주요국의 지구관측(EO) 분야 우주개발 예산 비교(2022)

주) 유럽 국가의 경우 ESA, EUMETSAT, ESO 분담금 포함
자료: Euroconsult (2022) Government Space Programs

188

28

360

73

185

121

399

39

874

126

358

56

434

41

1,302

102

1,314

83

2,357

304

영국

이탈리아

인도

독일

EU

러시아 프랑스

일본

중국

미국

UAE 아르헨티나 사우디아라비아 스위스

터키

벨기에 스페인

호주

캐나다

한국

 기상

  전 세계 기상 분야 예산은 2013년 30억 달러에서 2022년 33억 달러로 
9% 증가하였으며, 참여 국가의 수 또한 2013년 27개국에서 2022년 32
개국으로 증가하였다. 국가별 평균 예산은 2013년 1.1억 달러에서 2022년 
1.0억 달러로 다소 감소하였는데 이는 2013년 전 세계 기상 예산의 65%
를 차지하고 있던 미국의 기상 예산이 감소하여 2022년 전 세계 기상 예산
의 56% 수준으로 낮아진 것과 참여 국가 수 증가에 기인한다.

II.  2022년 정부 우주개발 

예산 동향


background image

   

한국항공우주연구원

  기상 분야 예산 규모 측면에서 미국, 중국 등이 주요국이며, 기상 분야 예
산이 정부 우주개발 예산에서 차지하는 비중은 일부 국가들을 제외하고 대
체로 10% 미만으로 낮은 편이다. 스위스, 스페인 등 일부 유럽 국가들의 
경우 ESA의 기상위성 프로그램이나 EUMETSAT 등에 대한 기여로 기상 
분야 예산의 비중이 다른 국가들에 비해 다소 높은 것으로 나타난다. 미국, 
프랑스, 이탈리아, 인도, 한국, 러시아, 일본 등은 기상 분야 예산이 전체 우
주개발 예산에서 차지하는 비중이 5% 미만으로 매우 낮은 편에 속한다.

<표 5> 기상 분야 정부 우주개발 예산 동향 및 참여 국가 수 변화

주) 국가별 평균 예산 = 기상 예산 / 참여 국가 수
자료: Euroconsult (2022) Government Space Programs

2022년

2013년

증감율

구분

33억 달러

30억 달러

9%

전 세계

기상 분야 예산

1억 달러

1억 달러

-8%

국가별 평균 예산

32개국

27개국

19%

참여 국가 수

<그림 9> 주요국의 기상 분야 우주개발 예산 비교(2022)

주) 유럽 국가의 경우 ESA, EUMETSAT, ESO 분담금 포함
자료: Euroconsult (2022) Government Space Programs

 < 우주개발 상위 20개국 기상 분야 예산 >           (단위: 백만 달러)

65

0

47

0

51

0

176

30

0

0

52

18

150

50

47

0

612

0

1,834

13

영국

이탈리아

인도

독일

EU

러시아 프랑스

일본

중국

미국

UAE 아르헨티나 사우디아라비아 스위스

터키

벨기에 스페인

호주

캐나다

한국

II. 2022년 정부 우주개발 

예산 동향


background image

우주개발 동향과 전망 VOL.2

II.  2022년 정부 우주개발 

예산 동향

 발사체

  발사체 분야 예산에는 유인 운송 기술을 제외한 로켓기술과 우주공항
(Spaceports)의 개발이 포함된다. 발사체 분야에 참여하는 국가의 수는 
2013년 25개국에서 2022년 33개국으로 증가하였으나 전 세계 발사체 분
야 예산은 –9% 평균 발사체 예산은 -31% 감소하였다. 전 세계 발사체 예
산과 국가별 평균 예산이 감소한 것은 미국, 중국, 일본, 프랑스 등 주요 국
가들의 발사체 개발 예산이 총 15억 달러가 증가한 반면, 2013년 전 세계 
발사체 분야 예산의 37%를 차지하였던 러시아의 발사체 예산이 2022년 
11% 수준으로 총 22억 달러가 감소하였으며, 참여 국가의 수 또한 증가했
기 때문인 것으로 나타난다.

<표 6> 발사체 분야 정부 우주개발 예산 동향 및 참여 국가 수 변화

  다음 <그림 10>과 같이 우주개발 예산 상위 20개국의 발사체 분야 예산 
규모와 정부 우주개발 예산에서 차지하는 비중은 국가마다 다소 차이가 
있는 것으로 나타난다. 발사체 예산 규모 측면에서 미국, 프랑스, 중국, 러
시아, 인도 등이 주요 투자국이며, 미국, 중국, 일본 등 국가는 발사체 예산
이 정부 우주개발 예산에서 차지하는 비중이 10%이하인 반면, 프랑스, 러
시아, 인도, 한국, 스페인, 아르헨티나 등 국가는 발사체 예산 비중이 20% 
이상으로 높은 편이다. 

  발사체 기술이 성숙한 미국, 중국, 일본 등 국가의 발사체 예산 비중이 낮
은 것은 상업화의 영향과 발사체 예산 대신 유인 우주비행 분야의 예산이 
높게 편성된 것에 기인하는 것으로 추정된다. 또한 프랑스 등 유럽 국가의 

주) 국가별 평균 예산 = 발사체 예산 / 참여 국가 수
자료: Euroconsult (2022) Government Space Programs

2022년

2013년

증감율

구분

74억 달러

81억 달러

-9%

전 세계 

발사체 분야 예산

2억 달러

3억 달러

-31%

국가별 평균 예산

33개국

25개국

32%

참여 국가 수


background image

   

한국항공우주연구원

II. 2022년 정부 우주개발 

예산 동향

발사체 예산 비중이 높은 것은 Ariane 6 등 신규 유럽 발사체 개발에 기인
한 것으로 판단되며, 자국 발사체 역량을 향상시키려 하는 한국, 인도 등 
국가 또한 발사체 예산 비중이 높게 편성되어 있는 것으로 나타난다.

<그림 10> 주요국의 발사체 분야 우주개발 예산 비교(2022)

주) 유럽 국가의 경우 ESA, EUMETSAT 분담금 포함
자료: Euroconsult (2022) Government Space Programs

 < 우주개발 상위 20개국 발사체 분야 예산 >           (단위: 백만 달러)

36

0

206

58

510

0

262

29

0

10

798

58

1,326

86

337

12

1,145

0

2,024

146

영국

이탈리아

인도

독일

EU

러시아 프랑스

일본

중국

미국

UAE 아르헨티나 사우디아라비아 스위스

터키

벨기에 스페인

호주

캐나다

한국

 기술

  기술 분야 예산에는 새로운 기술을 시험하거나, 운영기반이 아닌 기술 개
발 목적의 위성 개발 등이 포함된다. 전 세계 기술 분야 예산은 2013년 41
억 달러에서 2022년 82억 달러로 약 100% 증가하였으며, 참여 국가의 
수 또한 2013년 46개국에서 2022년 58개국으로 증가하였다. 국가별 평
균 예산 또한 2013년 0.9억 달러에서 2022년 1.4억 달러로 59% 증가하
였다. 기술 분야의 예산의 증가는 러시아, 터키 등 일부 국가를 제외하고 미
국, 중국, 일본 등 주요 우주개발 국가들의 기술 분야 예산이 크게 증가한 
것에 기인한다.


background image

우주개발 동향과 전망 VOL.2

II.  2022년 정부 우주개발 

예산 동향

  우주개발 상위 20개국의 기술 분야 예산을 비교하면 다음과 같다. 기술 
예산의 규모 측면에서 미국, 독일, 중국 등이 주요국이나 기술 분야 예산이 
차지하는 비중은 국가마다 차이가 있는 것으로 나타난다. 독일, 벨기에, 스
위스 등 유럽 국가와 인도, 사우디 아라비아 등의 국가들은 정부 우주개발 
예산 규모 대비 기술 분야 예산 비중이 10% 이상인 편인 반면, 미국, 중국, 
일본, 러시아, 영국, 한국 등 국가들은 기술 분야 예산 비중이 10% 미만으
로 낮은 편이다. 

<표 7> 기술 분야 정부 우주개발 예산 동향 및 참여 국가 수 변화

주) 국가별 평균 예산 = 기술 예산 / 참여 국가 수
자료: Euroconsult (2022) Government Space Programs

2022년

2013년

증감율

구분

82억 달러

41억 달러

100%

전 세계 

기술 분야 예산

1.4억 달러

0.9억 달러

59%

국가별 평균 예산

58개국

46개국

26%

참여 국가 수

<그림 11> 주요국의 기술 분야 우주개발 예산 비교(2022)

주) 유럽 국가의 경우 ESA, EUMETSAT 분담금 포함
자료: Euroconsult (2022) Government Space Programs

 < 우주개발 상위 20개국 기술 분야 예산 >           (단위: 백만 달러)

86

10

264

7

316

29

612

47

305

24

234

72

561

68

328

36

855

53

3,817

51

영국

이탈리아

인도

독일

EU

러시아 프랑스

일본

중국

미국

UAE 아르헨티나 사우디아라비아 스위스

터키

벨기에 스페인

호주

캐나다

한국


background image

   

한국항공우주연구원

II. 2022년 정부 우주개발 

예산 동향

 위성통신

  위성 통신 분야 예산에는 음성, 데이터, 인터넷, TV 및 라디오 방송 등의 
통신 서비스를 위한 위성 시스템의 개발 등이 포함된다. 이 분야에 투자하
고 있는 국가의 수는 2013년 52개국에서 2022년 62개국으로 증가하였
으나 전 세계 통신 분야 예산과 국가별 평균 예산은 모두 감소하였다. 전 
세계 통신 분야 예산이 감소한 것은 2013년 전 세계 통신 예산의 30%와 
26%를 차지하고 있던 미국과 러시아의 위성통신 분야 예산이 24%와 7%
로 크게 감소한 것에 기인한다. 중국, 일본, 프랑스, 독일, 인도 등 국가의 
위성통신  분야 예산이 2013년 대비 크게 증가하였으나, 이를 상쇄하지는 
못하였다. 그 외 참여 국가의 수 증가로 국가별 평균 예산 또한 2013년 1.4
억 달러에서 2022년 1.1억 달러로 감소하였다.

<표 8> 위성통신 분야 정부 우주개발 예산 동향 및 참여 국가 수 변화

  위성통신 분야 예산의 규모 측면에서 미국, 중국, 영국, 프랑스 등이 주요 
투자국이다. 각국의 우주개발 예산에서 위성통신 분야 예산이 차지하는 비
중과 투자 규모는 전반적으로 높은 편이며 다소 편차가 크게 나타나지만 
각국 정부의 전체 우주개발 예산 규모에는 대체로 반비례 하는 경향이 있
는 것으로 나타난다. 위성통신 분야는 민간과 국방부문 모두 적극적으로 
투자하고 있는 분야이며, 각국의 위성통신 분야의 개발 단계, 민간 위성통
신 부문 상업화, 국방 통신 분야에 대한 투자 규모 등에 따라 정부 우주개
발 예산에서 위성통신 분야가 차지하는 비중에 차이가 나타나는 것으로 
판단된다. 

주) 국가별 평균 예산 = 통신 예산 / 참여 국가 수
자료: Euroconsult (2022) Government Space Programs

2022년

2013년

증감율

구분

70억 달러

72억 달러

-3%

전 세계 

발사체 분야 예산

1.1억 달러

1.4억 달러

-18%

국가별 평균 예산

62개국

52개국

19%

참여 국가 수


background image

우주개발 동향과 전망 VOL.2

II.  2022년 정부 우주개발 

예산 동향

  미국의 경우 위성통신 분야의 예산 규모는 가장 크지만 전체 정부 우주개
발 예산에서 차지하는 비중은 3%밖에 되지 않는 것으로 나타난다. UAE, 
사우디아라비아, 터키, 영국, 호주, 아르헨티나, 프랑스, 캐나다 등의 국가는 
위성통신 분야 예산의 비중이 20%이상으로 매우 높은 편이며, 이탈리아, 
독일, 벨기에, 일본, 한국 등의 국가는 위성통신 분야의 예산 비중이 10% 
미만으로 낮은 편에 속한다.

<그림 12> 주요국의 통신 분야 우주개발 예산 비교(2022)

주) 유럽 국가의 경우 ESA, EUMETSAT 분담금 포함
자료: Euroconsult (2022) Government Space Programs

 < 우주개발 상위 20개국 기술 분야 예산 >           (단위: 백만 달러)

363

98

158

53

267

94

209

36

33

109

509

26

839

46

328

139

1,201 

107

1,707

33

영국

이탈리아

인도

독일

EU

러시아 프랑스

일본

중국

미국

UAE 아르헨티나 사우디아라비아 스위스

터키

벨기에 스페인

호주

캐나다

한국

 내비게이션

  전 세계 내비게이션 분야 예산 규모는 2013년 43억 달러에서 2022년 
59억 달러로 증가하였으며, 내비게이션 분야에 투자하고 있는 국가의 수
는 2013년 17개국에서 2022년 18개국으로 증가하였다. 국가별 평균 예
산 또한 2013년 2.5억 달러에서 2022년 3.3억 달러로 약 29% 정도 증가
하였다. 내비게이션 분야의 예산 규모가 증가한 것은 러시아의 내비게이션 
분야 예산은 2013년 대비 크게 감소하였으나, 주요국인 미국, 중국, 일본, 
EU 등 국가의 예산이 더 크게 증가한 것에 기인한다.


background image

   

한국항공우주연구원

II. 2022년 정부 우주개발 

예산 동향

  다음 <그림 13>과 같이 내비게이션 분야의 주요국은 미국, EU, 중국, 일
본, 러시아 등으로 나타난다. 그 중 미국, 중국, EU, 러시아 등 국가의 경우 
GPS 시스템에 주로 투자하고 있으며, 북미 및 유럽 국가를 제외한 일본, 호
주, 인도, 한국 등 국가의 경우 RNSS 시스템을 개발하고 있다. 특히 유럽 
국가들의 경우 주로 EU를 통해 내비게이션 분야에 투자하고 있으며 이와 
관련한 예산 비중이 EU의 전체 우주개발 예산의 52% 수준으로 매우 높게 
나타난다. 그밖에 호주를 제외한 나머지 국가들의 경우 내비게이션 분야에 
대한 예산 비중이 10% 미만으로 높지 않은 것으로 나타난다. 

<표 9> 내비게이션 분야 정부 우주개발 예산 동향 및 참여 국가 수 변화

주) 국가별 평균 예산 = 내비게이션 예산 / 참여 국가 수
자료: Euroconsult (2022) Government Space Programs

2022년

2013년

증감율

구분

59억 달러

43억 달러

37%

전 세계 

내비게이션 분야 예산

3.3억 달러

2.5억 달러

29%

국가별 평균 예산

18개국

17개국

6%

참여 국가 수

<그림 13> 주요국의 내비게이션 분야 우주개발 예산 비교(2022)

주) 유럽 국가의 경우 ESA, EUMETSAT 분담금 포함
자료: Euroconsult (2022) Government Space Programs

 < 우주개발 상위 20개국 내비게이션 분야 예산 >           (단위: 백만 달러)

22

0

5

0

57

0

10

1

1,353

0

327

1

53

2

487

69

994 

25

2,380

72

영국

이탈리아

인도

독일

EU

러시아 프랑스

일본

중국

미국

UAE 아르헨티나 사우디아라비아 스위스

터키

벨기에 스페인

호주

캐나다

한국


background image

우주개발 동향과 전망 VOL.2

II.  2022년 정부 우주개발 

예산 동향

8)  조기경보 분야 예산은 

현재 미국만 해당됨

 우주안보 및 조기경보 

8)

  전 세계 우주안보 분야 예산은 2013년 22억 달러에서 2022년 95억 달
러로 3배 이상 증가하였으며 참여하는 국가의 수 또한 2013년 12개국에
서 2022년 24개국으로 2배 증가하였다. 국가별 평균 예산 또한 2013년 2
억 달러에서 2022년 4억 달러로 2배 이상 증가하여, 우주안보 및 조기경
보 분야는 전 세계 우주분야 예산 중 가장 급격하게 성장하고 있는 분야라
고 할 수 있다. 특히 미국은 유일하게 조기경보 분야 예산이 편성되어 있는 
국가이며, 일본 또한 우주안보 분야 예산이 전체 우주개발 예산의 약20%
를 차지하고 있는 주요 투자국이다. 이러한 우주안보 분야 예산 동향은 세
계적인 지정학적 긴장 고조와 우주군 창설 등 최근의 우주 군사화(Space 
Militarization) 트렌드를 반영하고 있다고 볼 수 있다.

  안보 분야 및 조기경보 분야는 예산 규모 측면에서 미국, 일본, 중국, 러시
아 등이 주요국이며 주로 국방 부문의 정부 우주개발 예산에 해당된다. 미
국, 일본, 호주 등의 국가는 우주안보 분야 예산이 정부 우주개발 예산에서 
차지하는 비중이 10% 이상으로 높은 편에 속하며 인도, 독일, 한국, 스페
인 등의 국가는 아직 정부 우주개발 예산 중 우주안보 예산이 차지하는 비
중이 1% 미만으로 매우 낮은 편이다.

<표 10> 우주안보 및 조기경보 분야 정부 우주개발 예산 동향 및 참여 국가 수 변화

주) 국가별 평균 예산 = 우주안보 예산 / 참여 국가 수
자료: Euroconsult (2022) Government Space Programs

2022년

2013년

증감율

구분

95억 달러

22억 달러

333%

전 세계 

발사체 분야 예산

4억 달러

2억 달러

116%

국가별 평균 예산

24개국

12개국

100%

참여 국가 수


background image

   

한국항공우주연구원

II. 2022년 정부 우주개발 

예산 동향

<그림 14> 주요국의 우주안보 및 조기경보 분야 우주개발 예산 비교(2022)

주) 유럽 국가의 경우 ESA, EUMETSAT 분담금 포함
자료: Euroconsult (2022) Government Space Programs

 < 우주개발 상위 20개국 우주안보 및 조기경보 분야 예산 >           (단위: 백만 달러)

52

0

15

0

7

0

8

3

34

0

285

20

48

1

965

52

900

8

7,060

5

영국

이탈리아

인도

독일

EU

러시아 프랑스

일본

중국

미국

UAE 아르헨티나 사우디아라비아 스위스

터키

벨기에 스페인

호주

캐나다

한국

4. 정부 우주개발 예산과 우주산업

  이러한 각국 정부의 우주개발 예산은 전 세계 우주산업의 중요한 부분을 차
지하고 있다. 다음 <그림 15>는 2022년 전 세계 우주산업의 주요 고객 구분
을 나타낸 것이다. 2022년 전 세계 우주 시장은 약 4,240억 달러 규모이며, 
주요 고객은 크게 상업고객과 민간 및 국방 정부고객으로 구분된다. 민간 및 
국방 정부고객을 대상으로 하는 대부분의 우주산업은 약 1,030억 달러 규모
의 전 세계 각국의 정부 우주개발 예산에 기인한 것이다. 


background image

우주개발 동향과 전망 VOL.2

II.  2022년 정부 우주개발 

예산 동향

출처: Euroconsult (2022) Government Space Programs.
         Euroconsult (2022) Space Economy Report

<그림 15>  전 세계 정부 우주개발 예산과 우주산업 비교(2022)

정부 우주개발 예산

우주산업 규모

· 전체: $103B
  - 민간: $55B
  - 국방: $48B

· 전체: $424B
  - 상업고객: $362B
  - 민간정부: $31B
  - 국방정부: $31B

특히 우주기기제작 분야 우주산업의 약 70% 정도가 민간 및 국방 정부고객
을 대상으로 하고 있으며, 우주활용 분야에서도 상업고객은 주로 위성방송통
신 분야와 위성항법(내비게이션)분야의 위성 활용 서비스 또는 지상 단말기 
등에 집중되어 있으며, 그밖에 다양한 목적의 위성 운영 및 데이터 활용과 같
은 우주산업에서는 여전히 정부고객의 역할이 중요하다. 각국 정부는 우주개
발 예산 중 일부를 산업체와 협력하여 새로운 우주기술을 개발하고 여러 우주 
분야의 제품 및 서비스를 조달하는데 사용함으로써, 우주산업에서 매우 중요
한 역할을 하고 있다. 국내 우주산업 또한 이와 유사한 형태의 산업구조를 가
지고 있으며, 제4차 우주개발 진흥 기본계획에 따라 본격적인 우주 산업화를 
추진함에 있어서 정부의 우주개발 예산이 중요한 역할을 하게 될 것으로 예상
된다.


background image

   

한국항공우주연구원

III. 정부의 민간용 우주개발 

프로그램 동향

9)  Euroconsult (2022) 

Government Space 
Programs

III. 정부의 민간용 우주개발 프로그램 동향 

9)

  여기서는 주요 분야별 주요국들의 민간용 우주개발 프로그램 동향을 살펴본
다. 현재 우주개발을 주도하고 있는 미국, 중국, 러시아, 일본, 인도 등의 국가
와 ESA 등 기구가 수행하고 있는 주요 프로그램들을 간단히 정리하였다. 

  앞서 살펴본 각국의 분야별 우주개발 예산이 어떤 프로그램들에 사용되고 
있는지에 대한 전반적인 분위기를 전달하기 위함이며, 더욱 자세한 내용은 각
국의 우주 기관 홈페이지 또는 유로컨설트 등의 보고서들을 참고하면 좋을 것
이다.

   1. 유인 우주비행

 미국

  유인 우주비행은 2022년 102억 달러, 2023년 109억 달러의 총 예산
으로 여전히 가장 큰 민간 우주개발 예산을 차지하고 있다. 이 수치는 유
인 심우주 임무와 저궤도 유인 우주비행을 포함한다. 특히, 아르테미스 프
로그램을 통해 요약된 미국의 유인 탐사 임무 계획은 궁극적으로 화성 탐
사 임무를 위해 달 표면으로 유인 탐사선을 발사하는 것이다. 즉 2021년 
NASA는 아르테미스 III 임무를 통해 2025년까지 유인 달 착륙 임무를 할 
것임을, 아르테미스 IV 임무로 2026년까지 4명의 우주비행사로 구성된 승
무원을 Lunar Gateway로 보낸 후, 2028년 달 표면에 지속적으로 지낼 수 
있도록 할 계획임을 발표했다. 

  아르테미스 프로그램은 기존의 아폴로 프로그램처럼 정부가 소유하고 운
영하는 하드웨어에만 의존하기보다는 상업 및 국제적 파트너에 크게 의존
하고 있다는 점에 큰 차이가 있다. HLS (Human Landing System)의 경
우, 아르테미스 III 달 착륙 임무를 위해 SpaceX와 29억 달러 규모의 개발 
계약을 체결하였으며, 달 표면과 저궤도에서의 유인 탐사를 위한 NASA
의 차세대 우주복도 상업적 파트너로부터 제공받고 있다. 특히, 2022년 
Exploration Extravehicular Activity Services (xEVAS) 계약을 두고 


background image

우주개발 동향과 전망 VOL.2

III.  정부의 민간용 우주개발 

프로그램 동향

Axiom Space와 Col ins Aerospace가 우주복의 개발, 시연 및 제공을 위
해 최대 35억 달러의 상금을 놓고 경쟁할 업체로 선정되었다.

  달 궤도 전초기지인 Lunar Gateway는 2024년 말에 예비 모듈을 발사
할 예정이며, 10년이 지나기 전에 전체 조립을 완료할 것으로 계획되어 있
다. Lunar Gateway는 달 궤도에서 통신 서비스, 실험실 시설, 거주지 및 
기타 지상과 연결된 요소들을 위한 물류 허브를 제공하기 위한 장소가 될 
것이다. 

  더하여 민간 부문의 역량을 활용하여 우주인을 국제우주정거장으로 수
송하기 위해 고안된 상업 승무원 프로그램(Commercial Crew Program; 
CCP)는 현재 5번째 임무를 수행 중이며, 2023년에 6번째 및 7번째 임무
가 계획되어 있다. 또한, 국제우주정거장으로 화물을 운송하는 상업용 재
보급 서비스(Commercial Resupply Services; CRS) 계약은 2012년부터 
2022년까지 40건 이상이 체결되어 인도되었으며, 매년 2~3건씩 계속 체
결되고 있다.

  그 외 현재 예상되는 국제우주정거장 프로그램 종료일인 2030년까지 국
제우주정거장 하드웨어의 대부분이 20~30년 동안 궤도에 머물 예정이기
에, NASA는 2022년에 정거장을 탈궤도화 할 우주선에 대한 업계 제안을 
위한 제안요청서를 발표하기도 했다.

<그림 16> 미국의 유인 우주비행 프로그램

자료: NASA 홈페이지

Gateway

HLS

CRS


background image

   

한국항공우주연구원

III. 정부의 민간용 우주개발 

프로그램 동향

10) https://global.jaxa.

 중국

  현재 중국이 수행 중인 가장 큰 규모의 유인 우주비행 임무는 2021년 중
반에 Tianhe-1 핵심 모듈에 성공적으로 발사된 중국 우주정거장(Chinese 
Space Station; CSS)이며, 이 중 두 개의 보조 실험실 모듈인 Wentian 및 
Mengtian은 2022년에 성공적으로 발사되었다. 본 우주정거장의 첫 해외 
방문자로 가능성이 가장 높은 국가는 러시아, 파키스탄 또는 ESA가 될 것
으로 예상되며, 2022년 3월, 중국 유인 우주 프로그램의 수석 설계자는 
CSS가 상업적 활동에 개방될 것이라고 발표했다.

  이 외 중국은 2033년에 화성에 최초의 유인 탐사선을 보낼 계획을 발표
했다.

 일본

  일본은 국제우주정거장을 2024년까지 연장 운영하기 위해 파트너십을 
갱신하였으며, 현재 7명의 현역 우주비행사를 고용하고 있는 JAXA는 새
로운 우주비행사 채용을 진행하여 2023년 최종 합격자인 두 명의 예비 우
주비행사를 발탁하였으며, 이들의 이름은 SUWA Makoto 및 YONEDA 
Ayu10)이다. 이 둘은 2025년부터 미국이 주도하는 아르테미스 프로그램의 
일환으로 달 착륙 활동에 참여하게 되며, 주어진 근무 주기 동안 국제우주
정거장에서 장기 근무할 예정이다.

  또한 일본은 Lunar Gateway의 국제 거주 모듈에 필요한 기능을 제공할 
예정이며, 여기에는 Gateway 물류 재보급에 사용할 수 있도록 화물 우주
선 HTV-X를 업그레이드하는 것도 포함된다.

 러시아

   러시아의  유인  우주비행  예산은  전체의  20%인  251억  루블(약  3억 
4,900만 달러)로 추산되며, 예산 제약과 우크라이나 침략 중임에도 불구

jp/projects/iss_human/
astro/#:~:text=On%20
the%20ISS%2C%20
he%20performed%20
a%20variety%20
of,in%20the%20
fal %20of%20
2022%20and%20
2023%2C%20
respectively


background image

우주개발 동향과 전망 VOL.2

III.  정부의 민간용 우주개발 

프로그램 동향

하고 러시아는 국제우주정거장 운영을 보장하기 위해 계속 노력하고 있
다. 2021년 7월 다목적 실험실인 Nauka (또는 MLM)를, 11월에는 Prichal 
notal 모듈을 발사하였다.   

 하지만, 지속적인 지원에 대한 불확실성과 국제우주정거장의 노후 장비
에  따른  위험으로  인해  러시아는  러시아  궤도  주둔소(Russian  Orbital 
Service Station; ROSS)에 대한 작업을 시작하였으며, 이에 대한 프로젝
트의 타당성은 여전히 불확실한 상황이다.

   러시아는 또한 NASA의 상업용 우주인(Commercial Crew) 프로그램
이 완료될 때까지 Soyuz 발사체를 통해 국제우주정거장으로 수송하는 핵
심 역할을 보장하였다. 2006년부터 2020년까지 NASA는 총 40억 달러
에 달하는 비용을 들여 Soyuz의 좌석 71개를 사들였으며, 2020년 말, 첫 
번째 SpaceX의 Crew Dragon 임무가 성공하면서 국제우주정거장으로의 
우주인 수송의 Soyuz에 대한 의존이 끝났다고 해석도 나오고 있다. 2022
년 9월, 미국 우주비행사가 15년 만에 처음으로 우주인 교체의 일환으로 
Soyuz를 타고 국제우주정거장으로 날아가 SpaceX Dragon 좌석으로 교
환한 사례도 있었다.

    러시아는  Soyuz를  Oryol로  교체하는  과정에  있으며,  2024년에 
Angara-A5P의 첫 번째 무인 비행이, 2025년에는 유인 시험 비행이 예정
되어 있다. 해당 발사체는 러시아의 달 착륙 계획의 핵심 요소이지만, 예산 
삭감으로 인해 달 임무를 위해 설계할 우주선에 대한 원래 계획은 폐기되
었으며 지구 근방의 우주로만 다시 초점을 두게 되었다.

 ESA

  ESA는 2019년 Terra Novae를 통해 유인 LEO 프로그램(Humans in 
LEO program)에 대한 자금을 지원하였으며, 2021년 7월에는 길이 11m인 
유럽형 로봇 팔(European Robotic Arm; ERA)을 국제우주정거장으로 보
내 러시아의 Nauka 모듈에 부착하는데 성공하였다.


background image

   

한국항공우주연구원

III. 정부의 민간용 우주개발 

프로그램 동향

  또한 NASA의 차세대 우주선인 Orion에 유럽 서비스 모듈(European 
Service Module; ESM)을 공급하여 저궤도를 넘어 유인 수송을 위한 투
자를 하고 있다. 이를 위해 ESA는 2021년 Airbus DS와 ESM-4~6의 생산
을 위한 6억 5천만 유로 규모의 계약을 체결하였다. 이와 관련하여 ESA는 
미국과 국제우주정거장에 대한 접근 및 미래의 아르테미스 임무를 위해 하
드웨어를 교환하는 합의를 지속하고 있다.

  유럽은 이미 Gateway 참여를 통해 Orion 임무의 3개 좌석을 확보하였
으며, 2021년 1월 Thales Alenia Space는 Gateway의 ESPRIT 모듈 구축
을 위해 2억 9,600만 유로 상당의 계약을 체결하고, ESA, NASA, CSA, 
JAXA가 협력하는 I-HAB 모듈을 담당하고 있다.

  ESA는 현재 2021년 11월 중간 장관 협의회에서 회원국들의 정치적 승인
을 받은 유인 유럽 우주 운송 시스템 개발을 고려 중이다.

 인도

   인도의  유인  우주비행  프로그램으로는  2018년  모디  총리가  발표한 
Gaganyaan이 있으며, 본 프로그램을 지원하기 위한 예산이 크게 증가하
여 2022년에는 INR 150억에까지 도달하였다. 유인 우주비행은 전통적으
로 인도의 우선순위가 아니었지만, ISRO는 소 10년 동안, 이와 관련된 필
수 기술을 개발해 왔다. Gaganyaan 임무에는 국가 독립 75주년을 기념하
는 2022년에 3명의 우주비행사를 저궤도에 보내는 것이었지만, 전체 프로
그램 일정이 변경됨에 따라 첫 번째 무인 시험 비행(G1)이 2023년 10월에 

<그림 17> ESA의 유인 우주비행 프로그램

자료: ESA 홈페이지

ERA

ESM

I-HAB


background image

우주개발 동향과 전망 VOL.2

III.  정부의 민간용 우주개발 

프로그램 동향

발사될 예정이며, 이어서 두 번째 무인 시험(G2)도 이어질 예정이다. 유인 
임무(H1)는 이르면 2024년에 발사될 예정이며, 인도가 이를 성공한다면 
독자적인 유인 우주비행 역량을 가진 세계 4번째 국가가 될 전망이다.

    본  프로그램은  우주인  모듈(Crew  Module;  CM)  시스템,  우주인  탈
출 시스템(Crew Escape System; CES), 환경 제어 및 생명 지원 시스템
(Environmental Control and Life Support System; ECLSS)라는 세 가
지 핵심 기술을 들 수 있다. 특히 승무원 탈출 시스템은 작업이 완료되었으
며, 2021년 ISRO는 GSLV Mk III 우주선 개발에 이어 Vikas 엔진의 세 번
째 장기 열 시험 및 시스템 데모 모듈(System Demonstration Module; 
SDM)의 첫 번째 열 시험을 성공적으로 수행하였다.

    또한  인도는 Roscosmos의  자회사인  Glavcosmos와의  협약에  따라 
Gagarin Research & Test Cosmonaut Training Center (GCTC)의 러시
아 우주인 훈련 시설을 활용하여 러시아에서 우주비행사를 훈련하고 있다. 
본 협약에는 우주비행사 선발, 지원, 신체검사, 우주 훈련 분야가 협력 사
항으로 포함되어 있으며, 2022년에는 인도 훈련 시설이 벵갈루루에서 운
영되기 시작하였고, 이에 더해 ISRO는 CNES와의 유인 우주비행에 관한 
공동 실무 그룹으로 우주 의학에 대한 협력도 강화 중이다.

<표 11> 전 세계 우주인 배출현황

자료: https://aerospace.csis.org/data/international-astronaut-database/

ㅇ 국가별 우주인 배출현황: 약 40개국 570명                                              ('22.7.5. 기준)

347

1

2

1

124

1

2

1

11

1

2

1

11

1

2

1

11

1

1

1

10

1

1

1

10

1

1

1

7

1

1

1

3

1

1

1

2

1

1

1

미국

러시아

일본

중국

독일

캐나다 프랑스 이탈리아

영국

네덜란드

쿠바

덴마크 시리아

이란

베트남 슬로바키아 멕시코

한국

몽골

스페인

불가리아 헝가리

벨기에 카자흐스탄 남아프리카 UAE

스웨덴 이스라엘 사우디아라비아 체코슬로바키아

브라질 스위스

페루 우크라이나 폴란드

인도

루마니아 오스트리아 아프가니스탄 말레이시아


background image

   

한국항공우주연구원

35

III. 정부의 민간용 우주개발 

프로그램 동향

   2. 우주과학 및 탐사

 미국

  미국의 우주과학 및 탐사에 대한 NASA의 지출은 2022년에 57억 달러
로 추산되었으며 2023년에도 상당히 안정적으로 유지될 것으로 예상된
다. 이러한 예산으로 미국은 로봇 달 탐사를 포함한 행성 과학 분야를 중
심으로 우주과학 및 탐사 프로그램을 수행하고 있다. 미국의 로봇 탐사 
임무 중 하이라이트인 화성 표본 회수 임무는 2028년에 발사되어 2030
년대에 화성 암석 및 regolith 표본을 지구로 회수하기 위해 표본을 저장
하는 Perseverance Rover, 표본을 수집하는 ESA의 Fetch Rover, 화성 
궤도로 발사하는 NASA의 Mars Ascent Vehicle 및 지구에 착륙하여 귀
환하는 ESA의 Earth Return Orbiter를 활용할 것으로 예상된다.

  2021년 착륙한 Perseverance Rover는 우주생물학 및 표본 수집 역
할 외에도 다른 행성에서 최초로 동력 비행을 수행하여 향후 조사를 위
한 장소를 정찰한 헬리콥터인 Ingenuity를 보냈다. 또한 NASA는 2011
년 Curiosity rover 및 2018년 InSight lander를 발사하였고 두 탐사
선 모두 현재도 연장된 임무 단계에서 운영되고 있으며, 세 대의 궤도선
(Odyssey (2001), Mars Reconnaissance Orbiter (2005), MAVEN 
(2013))이  연장  임무를  수행  중이다.  뿐만  아니라  NASA는  2024년
에  운영될  것으로  예상되는  JAXA의  화성  탐사선(Martian  Moons 
eXploration; MMX)에도 기여하고 있다.

    우주비행사의 달  표면  귀환을  지원하기  위해 달에 대한 일련의  로봇 
임무도  시작되었으며  그중의  하나가  달  발견  및  탐사  프로그램(Lunar 
Discovery and Exploration Program; LDEP)이다. 본 프로그램은 상업
적 파트너십, 달 정찰 궤도선(Lunar Reconnaissance Orbiter; LRO) 및 
향후 유인 탐사 임무를 구체화할 달 탐사를 지원할 다양한 탑재체를 조율
하기 위해 2019년에 시작되었다. 상업용 달 탑재체 서비스(Commercial 
Lunar Payload Services; CLPS) 프로그램은 이미 달 남극에서 자원을 


background image

우주개발 동향과 전망 VOL.2

36

III.  정부의 민간용 우주개발 

프로그램 동향

III. 정부의 민간용 우주개발 

프로그램 동향

탐사하는 극지 탐사 로버(Volatiles Investigating Polar Exploration 
Rover; VIPER)를 달 남극으로 운반하는 계약을 포함해 총 4건의 계약을 
체결하였다.  

  심우주 임무로는 2034년까지 토성의 달인 Titan에 도착하여 프리바
이오틱스  화학  공정에  관한  연구를  수행할  것으로  예상되는  Europa 
Clipper 임무와 rotorcraft인 Dragonfly가 있다. 2021년 10월에 발사된 
Lucy 미션은 2030년대까지 트로이 소행성을 연구할 예정이며, Psyche 
궤도선은 2023년에 발사되어 소행성대의 시조 소행성을 연구할 예정이
다. OSIRIS-REx는 2023년에 소행성 베누에서 자료를 가지고 지구로 돌
아올 것으로 기대되며, 향후 10년간의 행성 과학 프로젝트는 2023년 행
성 과학 및 우주생물학 10년 조사에서 검토될 예정이다.

  우주의 역사를 관찰하고 연구하여 획기적인 천문학 및 천체물리학 연구
를 가능하게 하는 대형 전략 과학 임무인 제임스 웹 우주 망원경(James 
Webb  Space  Telescope;  JWST)이  2021년 12월에 발사되어  성공적
으로 작동을 시작하였다. 그 후속작인 낸시 그레이스 로마 우주 망원경
(Nancy  Grace Roman  Space  Telescope)은 2027년에 발사될  예정
이며,  이전  모델인  허블  우주망원경은  여전히  운영  중이다.  반면,  적외
선 천문  관측을  위한  성층권 천문대(Stratospheric Observatory  for 
Infrared Astronomy; SOFIA) 공중 망원경은 다른 주요 임무에 비해 투
자 대비 과학적 수익이 낮다는 판단하에 지원이 줄어들면서 폐기될 예정
이다.

  마지막으로 2018년에 발사된 파커 태양 탐사선(Parker Solar Probe)은 
태양의 외부 코로나에 대한 데이터를 계속 수집하고 있으며, 다른 헬리오
피직스 조사도 지원하고 있다. 성간 매핑 및 가속도 탐사선(Interstel ar 
Mapping and Acceleration Probe; IMAP)은 에너지 입자와 태양풍을 
측정하기 위해 2025년 발사를 목표로 하고 있다.


background image

   

한국항공우주연구원

37

III.  정부의 민간용 우주개발 

프로그램 동향

III. 정부의 민간용 우주개발 

프로그램 동향

<그림 18> 미국의 우주과학 및 탐사 프로그램

자료: NASA 홈페이지

CLPS

Perseverance

InSight

JWST

 중국

  2022년 한 해 동안 중국의 우주과학 및 탐사 프로그램은 중장기적인 야
망이 크게 증가하여 향후 중국의 우주과학 및 탐사 예산의 대부분은 달 
탐사에 투입될 예정이고, 여기에는 Chang’e-6, 7, 8호뿐만 아니라 새로 발
표한 ILRS도 포함된다. 중국은 세 개의 Chang’e 임무 외에도 2030년대 
초중반까지 최소 5개의 대형 무인 ILRS 임무를 수행할 예정이라고 발표하
였다.

    화성  탐사와  관련하여  중국의  두  번째이자  첫  번째  독자  탐사선인 
Tianwen-1호는 2021년 초에 발사되었으며, 2021년 9월에는 2030년 이
전에 진행될 것으로 예상되는 중국 화성 표본 회수 임무를 공식적으로 승
인하였다. 또한, 2021년 9월에는 2020년 중반으로 예정된 Zenghe 소행
성 표본 회수 임무, 2030년으로 예정된 Gan De 목성계 및 행성 플라이바
이 임무 및 성간 헬리오스피어 탐사선 1, 2호를 포함한 심우주 임무도 승
인하였다.

  중국의 주요 천문학 임무로는 2024년으로 예정된 허블 망원경과 동일한 
해상도와 300배의 시야의 성능을 가진 Xuntian Space Telescope가 같
은 여러 망원경 임무를 소유하고 개발하고 있다.


background image

우주개발 동향과 전망 VOL.2

38

III.  정부의 민간용 우주개발 

프로그램 동향

III. 정부의 민간용 우주개발 

프로그램 동향

 일본

  일본의 우주과학 및 탐사 예산은 2022년에 460억 엔에 달했으며, 특
히 2023년에는 달 탐사 스마트 착륙선(Smart Lander for Investigating 
Moon;  SLIM)  및  X-선  이미징  및  분광학  임무(X-Ray  Imaging  and 
Spectroscopy Mission; XRISM), 2024년에는 미국이 주도하는 Lunar 
Gateway와 화성 달 탐사(Martian Moons eXploration; MMX) 등 발사가 
임박한 여러 복잡한 심우주 임무에 임하고 있다. 일본은 또한 인도의 ISRO
와 국제협력의 틀 안에서 물 탐사를 위한 달 남극 탐사 임무를 계획하고 있
으며, 이 임무의 일환으로 개발되는 탐사 로버는 2025년경 JAXA의 H3 로
켓에 실려 발사될 예정이다. 이러한 프로그램을 통해 일본은 우주 개척을 
촉진할 계획이다.

  또한 Hayabusa-2가 표본을 채취한 후 2020년 12월에 지구로 회수하였
으며, 소행성 1998 KY26으로의 확장된 임무를 2031년을 목표로 JAXA가 
수행하고 있다. 본 임무는 NASA의 OSIRIS-Rex 임무와 유사하며 2020년 
소행성 Bennu로부터 표본을 채취하여 2023년 귀환할 예정이다. NASA와 
JAXA는 각자가 채취한 표본을 연구하고 비교할 수 있도록 각 임무의 표본
을 공유하는 계약을 체결하였다.

 ESA

  2021년 11월, ESA는 우주 탐사에 대한 유럽의 자율성과 리더십을 강화하
기 위한 Terra Novae 2030+ 전략 로드맵을 발표하여 세 곳의 탐사 목적지
에 대한 유럽 활동을 추진하였다. 이는 독자적으로 또는 국제협력의 맥락에
서 자율적인 달 착륙 능력을 제공하여 2030년 이전에 최초의 유럽 우주인
을 달 표면에 착륙시키는 점 및 장기적인 화성 로봇 탐사 비전을 구현하여 
향후 10년 안에 유럽인 최초의 화성 탐사라는 목표를 달성하기 위한 기반 
마련 등이 포함되어 있다.

   ExoMars는 탐사 프로그램의  첫 번째 임무이며, 2016년  Trace Gas 


background image

   

한국항공우주연구원

39

III.  정부의 민간용 우주개발 

프로그램 동향

III. 정부의 민간용 우주개발 

프로그램 동향

Orbiter 이후 러시아와 함께 2022년에 로버와 지상 플랫폼을 발사할 예정
이었으나 러시아의 우크라이나 침공으로 인해 지연되고 있다. ESA는 또한 
Earth Return Orbiter에 자금을 지원하고 표본 채취 로버를 연구하는 등 
NASA의 화성 표본 회수 임무에도 기여하고 있다.

  달 탐사의 경우 유럽 달 착륙선(European lunar lander; EL3)을 설계하
고 있으며, 달 탐사 임무를 위한 통신 및 내비게이션 서비스를 제공하기 위
해 Moonlight initiative에 따라 상업 프로젝트를 지원하고 있다. ESA는 
2024년에 발사될 SSTL의 Lunar Pathfinder 위성의 주요 고객이 될 것이
며, 운송 및 탐사를 위한 상업적 파트너십을 구축하기 위한 파일럿 단계에 
참여할 업체로 ispace EU 및 ArianeGroup을 선정하였다.

  그 외에도 천문학 부분인 Euclid, Plato, Athena, JWST 임무에 대한 기여 
및 행성 연구인 JUICE, Ariel, EnVision을 시작으로 혜성 플라이바이, 레이
저 간섭계(LISA)등의 임무를 포함하는 “Cosmic Vision 2015-2025”를 통
해 다른 프로그램도 시행하고 있다. “Voyage 2050”은 2035년에서 2050
년에 걸친 대규모 임무에 대한 전략으로 2021년 6월에 언급되었으며, 본 프
로그램은 거대 태양계 행성의 위성, 온대 외계 행성 또는 은하계 생태계, 초
기 우주의 새로운 물리적 탐사선에 초점을 맞추고 있다.

<그림 19> ESA의 우주과학 및 탐사 프로그램

자료: ESA 홈페이지

ERA

ESM

I-HAB


background image

우주개발 동향과 전망 VOL.2

40

III.  정부의 민간용 우주개발 

프로그램 동향

III. 정부의 민간용 우주개발 

프로그램 동향

 인도

  인도의 우주과학 및 탐사 예산은 2022년에 170억 루피에 달할 정도
로 크게 성장하고 있으며, 이에 맞춰 ISRO는 대기과학, 천문학 및 행성 
탐사  분야의  혁신적인  연구  프로젝트에  적극적으로  참여하고  있다.  인
도는 2008년 달 탐사선 Chandrayaan-1, 2014년 Mars Orbiter, 2019
년 착륙선이 달 표면에 연착륙하는 데 실패한 Chandrayaan-2를 포함
하여 가장 최근인 2023년 7월에 발사된 달 남극 지역의 착륙에 성공한 
Chandrayaan-3등의 임무를 수행한 바 있다.

  또한 ISRO는 JAXA와 협력하여 달 남극의 로봇 탐사 임무(LUPEX)를 
계획하고 있다. 2023년에 인도 최초의 우주 기반 태양 연구 전용 임무인 
Aditya-L1이 발사될 예정이며, 다양한 X-선 광원의 방출 메커니즘을 연구
하기 위한 XPoSat (X-ray Polarimeter Satel ite)도 동년도에 발사될 예정
이다.

    ISRO는  금성을  대상으로  탐사하는  여러  제안에  대한  타당성  연구
를  수행  중이며,  당초  2023년에  발사될  예정이었던  금성  탐사선인 
Shukrayaan은 2024년으로 연기되었다. 이 탐사선은 NASA의 1989년 
Magel an orbiter보다 4배 더 강력한 SAR 탑재체 및 지상 투과 레이더로 
금성 표면 지도를 그릴 예정이다.

  화성에 궤도선을 보내는 두 번째 MOM 임무인 Mangalyaan-2가 발표되
었으며 2024년경 발사될 예정이다. 마지막으로, 인도는 약 400km 저궤
도에 20톤 규모의 독자 우주정거장을 배치할 계획을 발표하였으며, 이 정
거장에는 3명의 우주비행사가 15일에서 20일 동안 거주할 수 있을 예정으
로 Gaganyaan 임무의 후속 임무로 5~7년 뒤에 배치될 계획이다.


background image

   

한국항공우주연구원

41

III.  정부의 민간용 우주개발 

프로그램 동향

III. 정부의 민간용 우주개발 

프로그램 동향

   3. 지구관측 및 기상

 미국

  민간 우주 지구관측 프로그램은 예산이 계속해서 증가하는 추세이며, 이
러한 지속적인 성장은 바이든 행정부가 지구에 대한 NASA의 임무를 우선
시하고 있음을 보여주고 있다. 2021년 NASA는 지구환경을 더 잘 이해하고, 
농업 프로세스를 개선하며, 재난 완화 노력을 강화하고, 기후 변화와 관련
된 문제를 해결하는 데 초점을 맞춘 일련의 임무인 새로운 지구 시스템 관
측소(Earth System Observatory; ESO) 설립을 발표했다. 그 외에도 2023
년에 발사 예정인 PACE (Plankton, Aerosol, Cloud, ocean Ecosystem) 
프로그램과 CLARREO (Climate Absolute Radiance and Refractivity 
Observatory) Pathfinder 임무와 같은 기존 프로그램도 지속적으로 구축
하는 데 중점을 두고 있다.

  NOAA의 기상 프로그램으로는 국가 환경 위성, 데이터 및 정보 서비스
(National Environmental Satel ite, Data, and Information Service; 
NESDIS),  정지궤도  운영  환경  위성(Geostationary  Operational 
Environmental Satel ite; GOES), 공동 극지 위성 시스템(Joint Polar 
Satel ite System; JPSS) 등이 있으며, NASA, EUMETSAT 및 CNES가 
Jason 시리즈를 공동 개발하고 있다.

<그림 20> 미국의 지구관측 및 기상 프로그램

자료: NASA 및 NOAA 홈페이지

PACE

GOES-T

CLARREO

JPSS-1


background image

우주개발 동향과 전망 VOL.2

42

III.  정부의 민간용 우주개발 

프로그램 동향

III. 정부의 민간용 우주개발 

프로그램 동향

 중국

  중국의 민간 지구관측 프로그램은 최근 10년간 급격히 성장하여 2010
년대부터  2020년까지  Gaofen,  Gaojing,  Ziyuan(또는  CBERS)  및 
Yaogan을 포함한 수십 개의 지구관측 위성을 발사하였다. 특히 지난 12
개월 동안 중국은 SAR 관련 R&D를 눈에 띄게 늘리는 등 보다 포괄적인 
지구관측 역량개발을 강조하고 있다.

  작년에 이어 중국 정부 기관(중국과학원 등)에서 상업적으로 분사한 기
관이 지구관측을 발표하는 사례가 늘고 있으며, 지구관측은 당분간 상업
적 참여에 가장 개방적이기에 정부가 지구관측에 대한 기록적인 추가 투
자를 할 가능성은 낮을 것으로 예상된다.

  예를 들어 중국과학원(Chinese Academy of Sciences; CAS)에서 나
온  중국의  상업용  지구관측  회사인  CGSTL은 2025년까지  140기에서 
300기의 지구관측 위성을 발사하여 위성을 두 배로 늘린다는 계획을 발
표하였다.

 일본

  자연재해가 잦은 일본에게 지구관측은 특히 중요한 분야이다. 2014년 
ALOS-2(Advanced Optical Satel ite and Advanced SAR Satel ite)를 
발사한 JAXA는 현재 차세대 지구관측 위성 시리즈를 개발 중이며, ALOS-
3 및 ALOS-4는 각각 2023년과 2024년에 일본의 H-3 발사체에 탑재되
어 발사될 예정이다. ALOS-3 광학 위성은 3톤 무게의 0.8m 해상도의 위
성으로, 이를 통해 위성이 취득한 데이터는 재해 예방 및 대비 활동, 정밀 
지리 공간 정보의 유지 및 업데이트, 해안 및 육상 환경 모니터링 연구 그
리고 응용 등 다양한 분야에 활용될 예정이다. ALOS-4는 3톤 무게로 자
동식별시스템이나 선박용 수신기를 탑재해 해양 모니터링이 가능하며, 관
측 주기를 2주에 한 번으로 늘려 5배 더 정밀하게 관측할 수 있다고 발표
하였다. 또한, JAXA는 차세대 마이크로 라디오미터인 AMSR3 위성을 개


background image

   

한국항공우주연구원

43

III.  정부의 민간용 우주개발 

프로그램 동향

III. 정부의 민간용 우주개발 

프로그램 동향

 ESA

  ESA의 Living Planet 프로그램은 Earth Explorer 연구 프로그램과 
Earth Watch로 구성된다. Earth Explorer 연구 프로그램은 2009년부
터 5개의 임무를 시작하였으며, 가장 최근의 임무가 2018년에 발사된 
Aeolus로 글로벌 바람 관측(wind profile observation)을 수행하고 있다. 
향후 수행될 임무로는 유럽과 일본이 협력하는 구름 및 에어로졸을 관측
할 EarthCARE, 광합성을 관측할 BIOMASS, 그리고 방사선 이해 및 모니
터링을 관측할 FLEX 등이 있다.

  Earth Watch 임무는 보다 사용자 커뮤니티에 의해 주도되어 더욱 효과
적으로 운영되고 있다. 장기적으로 서비스 제공을 보장한다는 개념이 필수
적이기 때문에 궁극적으로 서비스 연속성을 책임질 수 있는 파트너와 함
께 구현되며, 성층권의 오존 및 기타 미량 가스 농도를 관찰하는 벨기에에
서 개발하고 있는 ALTIUS 위성과 같은 임무를 다루고 있다.

발할 계획이며, 2025년 발사를 목표로 온실가스 및 물 순환을 위한 지구
관측 위성(GOSAT-GW)과 함께 발사할 계획이다.

  일본은 국방 목적의 지구관측 위성에도 힘을 쏟고 있으며, 2022년에
는 국방 우주 총예산의 약 60%를 국방 목적의 지구관측에 투자하고 있
다. 1998년 북한의 탄도 미사일 발사 이후 정보수집위성(Information 
Gathering Satel ite; IGS) 프로그램을 시작하여, 국방 목적뿐만 아니라 
평화 유지 및 재난 구호 작전에도 활용하고 있다. 응답성을 개선하고 데이
터 양을 늘리기 위한 지상 시스템 개발 및 IGS 전체의 성능 향상을 목적으
로 하는 다양화 소형위성 연구 진행 등 국가의 지구관측 역량을 확대하기 
위한 새로운 개발이 진행 중이다. 또한 일본은 각 부처 및 행정 분야에서 
소형 레이더 위성 군집(Smal  Radar Satel ite Constel ations; SAR) 및 
광학 정찰 위성 군집(optical reconnaissance satel ite constel ations) 
활용을 확대하기 위해 정부 차원에서 SAR의 효과와 이점을 시험하고 평
가하는 연구를 시작했다.


background image

우주개발 동향과 전망 VOL.2

44

III.  정부의 민간용 우주개발 

프로그램 동향

III. 정부의 민간용 우주개발 

프로그램 동향

  ESA의 미래지향적 지구관측 프로그램인 Scout은 최대 3천만 유로의 비
용으로 현재 위성의 데이터에 과학적 가치를 추가하는 소형위성을 사용하
여 새로운 개념을 증명하는 것을 목표로 한다. 대기 과정을 연구하기 위해 
CubeSats 군집과 관련된 EPS-MACCS 및 기후 변수를 측정하기 위해 반
사 측정법을 사용하는 HydroGNSS가 포함되어 있으며, Earth Watch의 
일환으로 ESA는 장기 기후 데이터를 수집하는 Copernicus의 Sentinel 
Expansion 임무를 위해 Thales Alenia Space, OHB 및 Airbus DS와 총 
25억 유로 규모의 계약을 체결하였다.

  또한 극지방을 관찰하기 위한 잠재적 위성 군집의 프로토타입인 북극 기
상위성 개발을 Eumetsat과 협력하여 진행할 예정이다.

 EU

  최근 프로그래밍 기간이 종료된 EU의 지구관측 프로그램인 Copernicus
는 6대 핵심 서비스인 육지, 대기, 해양, 기후 변화, 비상, 그리고 안보가 모두 
가동 중이다. Copernicus 위성은 두 개의 임무 그룹으로 나뉘어 6기의 전용 
Copernicus 위성 계열인 Sentinels와 국가, 유럽 또는 국제 조직에서 운영하
는 약 30기의 기여 임무로 분류된다.

  차세대 Copernicus Sentinels는 현재 25억 유로 상당으로 6가지 최우
선 임무를 수행하여 Copernicus 능력을 확장하겠다는 계획이 발표되었다. 
2020년 7월 Thales Alenia Space는 계획된 6가지의 임무 중 3가지를 개
발하기 위해 14억 유로를 받았으며, Airbus DS 및 OHB는 각 6,500만 유
로와 4억 4,500만 유로의 계약을 체결하였다


background image

   

한국항공우주연구원

45

III.  정부의 민간용 우주개발 

프로그램 동향

III. 정부의 민간용 우주개발 

프로그램 동향

<표 12> 2022년 한 해 국가별 위성 발사 현황

※ 참고자료 

운용주체별

정부

정지

궤도

상업

중궤도

국방

저궤도

민간

(대학)

타원

궤도

합계

합계

궤도별

구분

미국

영국

중국

일본

캐나다

스위스

독일

프랑스

핀란드

러시아

룩셈부르크

이스라엘

아르헨티나

대한민국

브라질

이탈리아

스페인

노르웨이

Multinational

싱가포르

남아프리카

인도

칠레

폴란드

이란

체코

네팔

우크라이나

앙골라

말레이시아

이집트

합계

4

-

26

-

-

-

1

-

-

-

-

-

9

1

-

-

-

-

-

-

3

3

-

-

-

1

-

1

1

-

1

42

1,817

114

95

2

4

2

4

1

7

10

7

9

9

4

1

1

4

1

5

1

3

3

3

3

2

1

1

1

1

1

1

2,119

1,792

114

52

2

4

2

2

1

7

-

7

8

-

-

-

-

4

-

4

1

-

-

-

3

-

-

-

-

-

1

-

1,013

1,810

114

92

2

4

2

4

1

7

6

4

9

9

4

1

1

4

1

2

1

3

2

3

3

2

1

1

1

1

-

-

2,096

-

-

-

-

-

-

-

-

-

1

-

-

-

-

-

-

-

-

-

-

-

-

-

-

-

-

-

-

-

-

-

1

19

-

16

-

-

-

1

-

-

8

-

-

-

-

-

1

-

1

-

-

-

-

-

-

2

-

-

-

-

-

-

49

7

-

3

-

-

-

-

-

-

-

3

-

-

-

-

-

-

-

3

-

-

1

-

-

-

-

-

-

-

1

1

19

4

-

1

-

-

-

-

-

-

2

-

1

-

3

1

-

-

-

1

-

-

-

3

-

-

-

1

-

-

-

-

15

-

-

-

-

-

-

-

-

-

3

-

-

-

-

-

-

-

-

-

-

-

-

-

-

-

-

-

-

-

-

-

3

1,817

114

95

2

4

2

4

1

7

10

7

9

9

4

1

1

4

1

5

1

3

3

3

3

2

1

1

1

1

1

1

2,119

자료 : Union of Concerned Scientists(UCS) Satellite Database (기준 : 2023년 1월 1일)


background image

우주개발 동향과 전망 VOL.2

46

III.  정부의 민간용 우주개발 

프로그램 동향

III. 정부의 민간용 우주개발 

프로그램 동향

<표 13> 2022년 한 해 분야별 위성 발사 현황

합계

1,817

114

95

2
4
2
4

1

7

10

7

9
9
4

1
1

4

1

5

1

3
3
3
3
2

1
1
1
1
1
1

2,119

기타

7
-

1

-
-
-
-
-
-
-
-
-
-
-
-
-
-
-

1

-
-
-

2

-
-
-
-
-
-
-
-

11

기술

16

4

12

-
-
-

2

-
-

2

-

1

-

2

1

-
-

1
1

-
-
-

1

-
-

1

-
-
-
-
-

44

우주안보

3

-
-
-
-
-
-
-
-

2

-
-
-
-
-
-
-
-
-
-
-
-
-
-
-
-
-
-
-
-
-

5

내비게이션

-
-
-
-
-
-
-
-
-

2

-
-
-
-
-
-
-
-
-
-
-
-
-
-
-
-
-
-
-
-
-

2

우주과학

-
-

2

-
-
-
-
-
-
-
-
-
-
-
-
-
-
-
-
-
-
-
-
-
-
-
-
-
-
-
-

2

지구관측

64

-

69

2

-
-

2

1

7
3

4

-

9
2

-

1

-
-
-

1

3
2

-

3
2

-
-

1

-
-
-

177

통신

1,727

110

11

-

4
2

-
-
-

1

3
8

-
-
-
-

4

-

3

-
-

1

-
-
-
-

1

-

1
1
1

1,878

구분

미국
영국
중국
일본

캐나다
스위스

독일

프랑스
핀란드
러시아

룩셈부르크

이스라엘

아르헨티나

대한민국

브라질

이탈리아

스페인

노르웨이

Multinational

싱가포르

남아프리카

인도
칠레

폴란드

이란
체코
네팔

우크라이나

앙골라

말레이시아

이집트

합계

*  기타에는 지구과학(Earth Science), 플랫폼(Platform), 교육(Educational), 우주관측(Space Observation), 

미확인(Unknown) 등이 포함됨

자료 : Union of Concerned Scientists(UCS) Satellite Database (기준 : 2023년 1월 1일)


background image

   

한국항공우주연구원

47

III.  정부의 민간용 우주개발 

프로그램 동향

III. 정부의 민간용 우주개발 

프로그램 동향

   4. 발사체

 미국

  미국의 EELV (Evolved Expendable Launch Vehicle) 프로그램이라고도 
알려진 NSSL (National Security Space Launch) 프로그램은 주요 국가 보
안 우주선에 대한 발사 수요를 구체적이고 까다로운 기준에 충족하는 소규
모 민간 부문 발사 회사 간의 경쟁 계약으로 발사 역량개발을 발전시키고 
있다.

  2018년 NSSL 1단계 프로그램에서 3곳의 발사체 공급자에게 22억 달러
를 지원하여 제안된 발사 개념을 발전시키도록 하였으며 2020년 NSSL 2
단계에서는 2곳으로 공급자를 선정하여 2022년부터 2027년까지 최대 
34회 발사를 위한 무한 조달/무한 수량(Indefinite delivery/Indefinite 
quantity; ID/IQ) 계약을 체결하였다.

  또한, 우주개발청(Space Development Agency)의 전송 계층(transport 
layer) 3회 발사를 위해 3억 1,400만 달러가 제공되었으며, 그 외 발사체 
응용 프로그램의 다른 요소로는 발사 인프라 구축, 유지 관리 및 운영을 위
한 자금, 전술적 대응 발사를 위해 1억 달러, 더 빠르게 사용 가능한 발사체 
및 소형 우주선 발사를 조달하기 위한 로켓 시스템 발사 프로그램에 4,800
만 달러의 예산이 할당되었다.

 중국

  중국의 발사체 프로그램은 지난 몇 년 동안 새로운 발사체 제품군을 출
시하면서 대대적인 변화를 만들었다. CASC가 2020년까지 34회 발사
를 한 기록은 2021년까지 총 48회 발사 기록으로 수정되었으며 2022년 
Long March-6A (LM-6A) 변형 및 Jielong-3 (JL-3)의 첫 발사를 포함하
여 50회 이상의 발사를 완료할 것으로 예상된다. JL-3은 CALT의 상업 자
회사인 China Rocket이 개발하고 있다는 점에서 주목할 만하며, 발사가 


background image

우주개발 동향과 전망 VOL.2

48

III.  정부의 민간용 우주개발 

프로그램 동향

III. 정부의 민간용 우주개발 

프로그램 동향

성공되었을 경우 중국 최대 규모이자 가장 강력한 고체연료 로켓이 될 것
으로 전망된다. CASC는 2022년 초 기자회견에서 향후 몇 년 동안 특정 
로켓의 용량을 늘릴 계획을 언급하였는데, 여기에는 2022년 2~3회 발사
에서 2023년 5회 이상 발사로 증가할 JL-3 및 2022년 4~5회 발사에서 
2023년 10회 이상 발사로 증가할 Long March-11 (LM-11)도 포함된다.  

  중국은 상업용 발사장에 대한 관심 또한 크다. 20개 이상의 상업 발
사 회사가 설립됨에 따라 고위 정치인과 우주산업 전문가들이 상업 발
사 장소에 대한 지지를 더욱 적극적으로 표명하고 있으며, 중국의 2021년 
Space White Paper에는 향후 5년 동안 “다양한 산업용 발사 요구사항을 
충족하기 위해 상업용 발사대 및 발사장을 건설할 계획”이라고 구체적으
로 명시되어 있다.

  마지막으로 저궤도 거대 위성 군집에 대한 긴급 계획을 포함한 중국의 
다양한 우주 프로그램 관련 야망은 앞으로 국유 로켓에 대한 강력한 수요
로 이어질 것으로 보여진다.

 프랑스

   프랑스는 정부의 민간용 우주개발 예산의 약 40%(11억 6,000만 유로, 이 
중 56%는 ESA를 통해 집행됨)를 발사체 개발에 투자하고 있으며, 초기 발
사 실패로 책임이 ESA로 이전되기 전까지 Ariane program에서 주도적인 
역할을 수행해 왔다. 프랑스는 Guiana Space Centre (GSC)의 고정 비용 중 
3분의 1을 국가 예산으로 조달하고 있으며, ESA 및 산업계와 함께 Ariane-6 
개발을 위한 유럽 자금지원을 주도하고 있다.

  CNES는 비용 절감과 재사용이라는 두 가지 주요 목표를 가지고 차세
대 발사체를 개발하고 있으며, ESA의 미래 발샃체 준비 프로그램(Future 
Launchers Preparatory Programme; FLPP)의 일환으로 2030년까지 유
럽 발사체에 사용될 엔진의 재사용이 가능한 액체 산소(oxygen)/액체 메


background image

   

한국항공우주연구원

49

III.  정부의 민간용 우주개발 

프로그램 동향

III. 정부의 민간용 우주개발 

프로그램 동향

탄(methane) 엔진 Prometheus를 개발하고 있다. 재사용이 가능한 1
단계 demonstrator, Cal isto(Cooperative Action Leading to Launch 
Innovation for Stage Toss-back Operation; CALLISTO)는 ESA의 발사체 
진화 요소(Launcher Evolution Elements; LEE) 프로그램으로 개발되었으
며, 이 프로그램에는 DLR과 JAXA 또한 참여하고 있다.

  CNES는 또한 마이크로 발사체를 개발하는 스타트업의 재사용 기술과 혁
신에 관심이 있어 France 2030 프로그램으로 기회 제공 및 보조금 지원을 
하고 있다. 함께 미래의 유럽 소형 발사체를 위해 Kourou에 있는 오래된 발
사대를 개조하고 있다.  

 일본

  일본의 발사체 프로그램은 모든 국내 기관의 임무를 효율적으로 수행하
고 상업 시장에서 경쟁력을 갖추는 것을 주된 목표로 두고 있다. 미쓰비시 
중공업(Mitsubishi Heavy Industry; MHI)은 최대 6톤의 정지궤도 발사
체 H-2A와 16.5톤의 저궤도 발사체 H-2B를 운영하고 있다. 역량을 확장
하고 비용을 절감하기 위해 MHI와 JAXA는 정지궤도까지 최대 8톤을 발
사할 수 있도록 차세대 발사체 H-3를 개발하고 있다.

  H-3는 글로벌 상업용 발사 시장에서 좀 더 경쟁력을 갖추기 위해 이전 
로켓인 H-2A, H-2B와 비교하여 상당히 비용이 적게 들도록 설계되었다. 
H-3의 첫 발사는 당초 2020년 말로 예정되어 있었으나 주력 엔진과 관련
된 문제로 2023년으로 다시 미뤄졌고, 올해 3월 시험 발사하였지만, 실패
로 끝났다. 그러나 달 탐사선 등을 탑재한 대형 H-2A 로켓은 올해 9월 발
사에 성공하였다.

  일본 정부는 새로운 우선 순위의 일환으로 더 많은 spaceports를 건설
하도록 장려하고 있다. 현재 운영 중인 두 개의 발사장인 Tanegashima 
Space  Center  및  Uchininoura  Space  Center에  이어  2025년까지 


background image

우주개발 동향과 전망 VOL.2

50

III.  정부의 민간용 우주개발 

프로그램 동향

III. 정부의 민간용 우주개발 

프로그램 동향

Hokkaido의 작은 마을에 새로운 발사장 두 곳이 추가될 예정이다. 정부
는 여섯 군데의 민간기업과 협력하여 새로운 발사장의 상업용 발사대를 
건설 중이다.

 ESA

      ESA는  Ariane  5  및  Vega를  개발하여  운용  중이며,  2011년부터 
Roscosmos로부터 구매한 Soyuz 또한 현재 유럽에서 이용할 수 있다. 
2015년부터 개발 중인 Ariane 6과 Vega-C는 2024년 첫 발사가 예상된다. 
Ariane 6의 경우 개발 지연으로 인한 추가 지원금을 포함하여 총 38억 유
로가 넘는 자금이 투입되었다.

  2021년 12월, ESA는 2027년까지 새로운 시장 기회를 포착하기 위하여 
Vega-C의 기능을 확대하는 계약을 Avio와 체결하였다. 2025년으로 예
정된 Vega-E는 현재의 Vega 및 Vega-C의 4단에 사용되는 우크라이나산 
Avum 엔진을 Avio가 제작한 cryogenic LOX/methan 엔진으로 대체할 
예정이다.

  ESA는 또한 Space Rider의 궤도 주행 시연을 통해 재사용 발사체의 가능
성을 모색하고 있다. 재사용성은 모터 시연기인 Prometheus 및 발사체 시
연기인 Themis와 함께 향후 유럽에서의 경쟁력 있는 우주 접근이 가능하
게 하기 위한 핵심 준비 단계로 간주되고 있다. 

  ESA는 초소형 발사체에 초점을 맞춘 민간 주도 및 자금을 지원하는 우
주 수송 서비스에 대한 제안을 지원하고 있다. 이에 대한 일환으로 2020
년 11월 ESA는 Commercial Space Transportation Service and Support 
program을 통하여 독일의 발사체 스타트업 3곳과 R&D 계약을 체결하였
다. ESA는 또한 Guiana Space Centre를 다른 시설로 보완하기 위해 새로
운 발사장을 평가하고 있으며, 특히 CNES와 함께 파리 지역에 유럽 우주 
운송 허브를 설립하는 방안을 검토 중이다.


background image

   

한국항공우주연구원

51

III.  정부의 민간용 우주개발 

프로그램 동향

III. 정부의 민간용 우주개발 

프로그램 동향

 인도

  인도의 우주 운송 시스템은 2022년 예산이 378억 루피 (약 5억 1천만 
달러)에 달하는 인도 최대의 민간 우주 지출 분야이며, 이미 자체 개발 
발사체를 통하여 위성 발사 능력의 자립을 달성하였다. 여기에는 PSLV 
(Polar Satel ite Launch Vehicle), GSLV (Geosynchronous Satel ite 
Launch Vehicle) Mark II, GSLV Mark III 및 곧 출시될 소형 위성 발사
체(Small Satellite Launch Vehicle; SSLV)가 포함된다. 특히 PSLV는 
신뢰성과 비용 효율성으로 인도의 위성뿐만 아니라 전 세계적으로도 선
호하는 발사체가 되었으며, PSLV 발사체만 보아도 34개국에서 345개
의 외국 위성을 발사하여 약 2억 7,900만 달러의 수익을 올렸다. 그러나 
SSLV의 첫 발사는 로켓의 kick stage에서 오작동으로 인해 2022년 8월
에 실패하였다.

  인도는 또한 유인 우주비행 프로그램 등 다양한 요구사항을 지원하기 
위한 대형 발사체, 재사용 발사체, semi-cryogenic 엔진 등을 개발하고 
있다. 인도의 대형 발사체인 GSLV Mk III은 유인 우주비행 등급에 충족되
도록 재설계하고 있으며, 인도의 달 탐사선인 Chandrayaan-3은 올해 7
월 발사에 성공하였다. 또한 ISRO는 재진입을 위해 비행기와 동일한 원리
를 사용하는 재사용 발사체(Reusable Launch Vehicle; RLV) 시스템도 
개발하고 있다.

  ISRO는 이 분야에서 국내 민간 산업을 촉진하기 위해 노력하고 있으며, 
발사 서브 시스템/시스템 개발 및 시험을 위한 ISRO의 시설과 전문 지식
에 대한 접근 권한을 발사체 스타트업인 Agnikul과 Skyroot에 부여하였
다. 이러한 노력은 우주발사체 시험 및 인증을 위해 민간 부문에 기술 전
문 지식을 제공하려는 ISRO의 의지를 보여주고 있다.


background image

우주개발 동향과 전망 VOL.2

52

III.  정부의 민간용 우주개발 

프로그램 동향

III. 정부의 민간용 우주개발 

프로그램 동향

   5. 내비게이션(위성항법)

 미국

  미국의 위성항법 활동을 위한 국가 우주 예산은 2022년에 비해 2023
년에는 5% 감소한 약 22억 5천만 달러이다. 현재 Global Positioning 
System (GPS)은 31기의 위성과 여러 기의 예비 위성으로 구성되며 그중의 
가장 오래된 위성은 1997년에 발사되었다. 위성군을 현대화하기 위해 10개
의 GPS Block III (GPS III) 위성 군집이 진행 중이다. 첫 번째 위성은 2018
년에 발사되었으며 이후 대략 1년에 한 번씩 발사하는 중으로 최종 위성인 
10번째 위성은 2026년까지 발사될 예정이다.

    고급  암호화,  향상된  전파  방해  방지,  다른  GNSS  시스템과의  향상
된 상호운용성이라는 특징을 가진 22기의 GPS 후속(GPS IIIF) 위성이 
2026년부터 2030년대 중반까지 발사될 것으로 계획되어 있다. 이 위
성  군집은  차세대  작전  통제  시스템(Next  Generation  Operational 
Control  System)  및  군용  GPS  사용자  장비(Military  GPS  User 
Equipment; MGUE) 프로그램으로 알려진 현대화된 지상 및 사용자 부
문에 의해 지원된다.

 EU

    EU의  GNSS  시스템인  Galileo는  고정밀  PNT  (Positioning , 
Navigation and Timing) 서비스를 제공하며 유럽의 전략적 자율성에 
기여하고 있다. 2014년부터 2020년까지 Galileo와 EGNOS는 68억 유
로의  자금지원을  약속받았으며  24기의  위성과  다양한  지역에  분산된 
글로벌  지상  인프라로  구성되어  있다.  Galileo  시스템은  현재  전  세계 
20억 명의 사용자와 기기에 내비게이션 신호를 제공하고 있다.

  GPS와 완벽하게 상호 운용되고 있는 Galileo는 2016년부터 운영됐으
며, 다른 모든 GNSS보다 뛰어난 위치 및 시각 성능(GPS의 경우 정확도


background image

   

한국항공우주연구원

53

III.  정부의 민간용 우주개발 

프로그램 동향

III. 정부의 민간용 우주개발 

프로그램 동향

가 3m인 것에 비교하였을 때 Galileo의 정확도는 1m 미만 내)을 제공한
다. 현재 사용 가능한 상태의 위성은 24기가 발사되었으며, 같은 배치의 
10기의 위성이 추가로 조립, 인수 및 발사 준비 중이다.

  현재 2세대 Galileo (Galileo Second Generation; G2G)를 개발 중이
며, 첫 번째 2세대 위성의 조달이 가속화되어 2024년까지 첫 위성을 발
사할 예정이다. 2021년 1월, European Commission은 Thales Alenia 
Space 및 Airbus D&S에 각 6기의 위성에 대해 14억 유로에 달하는 두 
건의 계약을 체결하였다. 새로운 위성은 디지털 구성이 가능한 안테나, 
위성 간 링크, 새로운 원자시계 기술, 완전 전기 추진 시스템을 갖추고 
있어 Galileo의 정확도 및 신호의 견고성 그리고 복원력을 향상할 예정
이다. 2022년 7월, 총 5천만 유로에 달하는 11곳의 지상관제 부문 조달 
또한 발표되었다.

    위성  기반  증강  시스템(Satellite-Based  Augmentation  System; 
SBAS)인  EGNOS는  GPS와  같은  유럽  내  기본  GNSS  신호의  정확도
를  개선하고  있다.  EGNOS  시스템은  3기의  정지궤도  위성과  40개의 
Monitoring Stations 및 4곳의 Mission Control Centers로 구성되어 
있다. EGNOS 개발은 European Commission 및 EUROCONTROL과
의 합의에 따라 ESA가 관리하고 있으며, 2009년에 EGNOS가 가동되
면서 소유권이 EC로 이전되었고, 2014년부터 GSA (현 EUSPA)가 프로
그램 관리자로 활동하고 있다.

    차세대  EGNOS  버전  3은  2025년경에  이루어질  예정이며,  새로운 
EGNOS GEO transponder인 GEO-4가 버전 3으로 전환된다면 여러 
위성군의 다양한 주파수를 기반으로 새로운 서비스를 도입하고 사이버 
공격에 대한 보안이 강화될 것이다. 초기 서비스 성능 검토는 2022년 5
월에 완료되었으며, 2020년 11월에는 Galileo 및 EGNOS 신호가 ICAO 
항공 표준에 승인받아 항공에서 Galileo 신호 또한 사용할 수 있게 되었
다.


background image

우주개발 동향과 전망 VOL.2

54

III.  정부의 민간용 우주개발 

프로그램 동향

III. 정부의 민간용 우주개발 

프로그램 동향

 ESA

  EU가 자금을 지원하고 소유하고 있는 유럽의 GNSS 시스템인 Galileo와 
EGNOS는 EU의 전반적인 책임하에 있지만, 시스템의 설계, 개발 및 사용은 
NAVISP와 EGEP를 통해 위성항법 관련 활동을 수행하는 ESA에 맡겨져 있
다. NAVISP는 혁신적인 기술 및 서비스를 개발하여 유럽의 GNSS 산업 기회
를 활용하고, EGEP evolution 프로그램은 유럽의 GNSS 인프라의 미래 진화
를 지원하는 것을 목표로 하고 있다.

  2세대 Galileo (G2) 개발을 가속화하기로 한 European Commission의 결정
에 따라 ESA는 2024년 말까지 발사할 12기의 위성을 설계 및 제작하기 위하
여 Thales Alenia Space (이탈리아) 및 Airbus DS (독일)와 총 14억 유로에 달
하는 계약을 체결하였다.

 일본

  일본의 위성항법 예산은 2022년에 약 520억 엔으로 2021년보다 11% 
이상 감소했지만, 지역 항법 시스템(RNSS)인 준천정위성시스템(Quasi-
Zenith Satel ite System; QZSS)과 그 응용 프로그램의 개발을 추진하
기 위한 지출은 여전히 높다. 15년간 시스템 개발, 발사 및 운영에 1,173억 
엔(약 12억 달러)의 예산이 책정된 이 시스템은 2010년에 첫 번째 위성
(QZS-1)이 발사되었고, 2017년 10월에 4번째 위성이 발사되었다.

  일본 정부는 2023년 이후 이 시스템을 7기의 위성으로 확대하여 전
체  위성군을  지역  위성  기반  증강  시스템(SBAS)으로  구축해  미국의 
GPS를  보완하는  역할을  하겠다는  계획을  발표하였다.  2021년  10월 
Tanegashima  Space  Center에서  H-IIA  발사체에  탑재되어  발사된 
QZS-1R은 2022년 3월부터 서비스를 시작했다.

  이후 2024년부터 발사 예정인 3기의 위성(QZS-5, 6, 7)으로 QZSS가 
보완될 예정이며, 2024년 이후에는 주요 개발 활동이 끝나기 때문에 위


background image

   

한국항공우주연구원

55

III.  정부의 민간용 우주개발 

프로그램 동향

III. 정부의 민간용 우주개발 

프로그램 동향

성항법 예산이 크게 감소할 것으로 보여진다.

 중국

  2020년에 3세대 BeiDou 위성 군집을 완성한 중국은 점점 더 정교해
지는 시스템으로 인해 위성을 계속해서 대체하고 있다. 3세대 BeiDou는 
2018년과 2019년에 발사된 20기 이상의 위성을 시작으로 총 30기로 구
성되어 있으며, 이 위성군은 중궤도(MEO)에 24기, 정지궤도(GEO)에 3기, 
경사 정지궤도(IGEO)에 3기로 분포되어 있다. 이를 통해 전 세계를 커버하
여 위치 정보 외에 단문 메시지 서비스도 제공하고 있다. 4세대 BeiDou는 
2030년대 초중반에 완성될 것으로 예상된다.

  중국은 국제협력을 통하여 BeiDou 장비의 보급률을 높이고 있다. 예를 
들어, 2021년에는 제1차 중국-아프리카 BeiDou 개발 포럼 및 제4차 중
국-중동 BeiDou 개발 포럼을 포함하여 중국이 주최한 여러 BeiDou 개발 
컨퍼런스를 들 수 있다. BeiDou의 핵심 동기 부여 요소는 국방 목적이며, 
이에 따라 위성항법 예산 지출의 대부분은 국방 기관에 귀속된다.

 러시아

  러시아의 국방부 위성항법 예산은 72억 루블(약 1억 1,100만 달러)로 추
정된다. GLONASS는 1980년대에 군사 시스템으로 개발되었지만 1999
년  대통령령에  따라  이중  용도  애플리케이션  시스템으로  전환되었다. 
GLONASS 체계의 핵심은 7년 수명으로 설계된 2세대 GLONASS-M 위
성으로 구성되어 있지만, 2020년부터 차세대 GLONASS-K 위성이 발
사되어 이용되기  시작했다. 이  위성은  뛰어난  정확도, 다중  경로  간섭, 
10년의 수명, GPS 및 Galileo 시스템과의 향상된 상호운용성을 제공한
다. 11기의 위성으로 구성된 위성군은 사용자에게 5개의 내비게이션 신
호를  제공하고  있으며,  정확도를  1m에서  0.3~0.5m로  향상하는  개선
된 GLONASS-K2 시리즈로 점진적으로 대체될 예정이다. 2023년부터 


background image

우주개발 동향과 전망 VOL.2

56

2032년까지 10년간 HEO에 발사할 6기의 VKK 모델을 포함하여 43기의 
GLONASS-M, -K 및 –K2 위성이 발사될 예정이다.

 호주

  호주는 2022년에 위성항법 분야에 약 9,500만 호주달러(미화 6,500
만  달러)를  투자하였으며,  2019년  호주와  뉴질랜드는  2년간의  SBAS 
testbed를 완료하였고, 미국, 유럽, 러시아, 중국에서 운영 중인 GNSS 시
스템의 성능보다 향상된 정확도 10cm인 SBAS 시스템을 2023년까지 운
영하겠다고 발표하였다. 이는 남반구 최초의 SBAS가 될 것이며 남반구 위
치보정 증강 네트워크(SouthPAN)라고 불린다. 2022년 9월, Geoscience 
Austrailia는 Lockheed Martin과 계약을 맺고 2028년에 완전히 가동될 
SouthPAN을 구축하기로 하였다. 현재 Geoscience는 SouthPAN 지상국 
부지를 찾고 있는 중이다.

III.  정부의 민간용 우주개발 

프로그램 동향


background image

   

한국항공우주연구원

57

IV. 국제협력을 통한 우주개발 

  각국의 정부 우주개발 프로그램들은 다양한 국제협력을 통해 수행된다. 특
히 우주개발 선진국들의 경우 단독으로 수행하기 어려운 대규모의 고난도 
우주개발 임무를 수행하기 위해 국제협력이 자주 활용되며, 신흥국들의 경
우 자국 우주 인프라 구축 및 우주개발 역량을 확대하기 위해 교육훈련 등
을 포함한 다양한 형태의 국제협력이 이루어지고 있다. 각 정부 간의 협력뿐
만 아니라 UNOOSA(유엔우주사무국)를 포함한 여러 국제기구를 통한 국제
협력 또한 다양하게 진행되고 있으며, 이러한 프로그램 및 활동으로 최근 주
목 받는 우주활동에 대한 국제적인 가이드라인 혹은 규제의 방향성도 정하
고 있다. 작년의 ‘우주개발 동향과 전망’에서 미국의 Artemis Program을 포
함한 몇 가지 주요 국제협력 프로그램 및 다양한 국제협력 사례들에 대한 개
요와 각국의 협력 내용을 중심으로 살펴보았기에, 올해는 우주활동과 관련
된 다양한 국제기구에 대한 소개 및 활동을 살펴보고자 한다.

   1. 글로벌 국제기구의 활동

  United Nations Committee on the Peaceful Uses of Outer 

Space (UNCOPUOS)

  유엔우주공간평화이용위원회(UNCOPUOS)는 유엔우주사무국(United 
Nations Office for Outer Space Affairs; UNOOSA)에서 매년 행하는 위
원회이다.

  우선, 유엔우주사무국이란, 우주공간에서 평화로운 국제협력을 장려하고 
쉽게 할 수 있게 하도록 만들어졌으며, 우주 탐사의 법적 틀을 만들고 강화
하는 일을 하며 개발도상국의 지속 가능한 사회경제학적 개발을 위한 우주 
과학기술 이용을 장려한다. 본 사무국은 1958년 UNCOPUOS를 보조하기 
위해 설립되었다.

  이에 맞춰 1959년 유엔 총회에서 UNCOPUOS는 평화, 안보, 개발 등 인류 
전체의 이익을 위한 우주 탐사 및 이용을 관리하기 위해 설립되었다. 본 위

IV. 국제협력을 통한 우주

개발


background image

우주개발 동향과 전망 VOL.2

58

IV.  국제협력을 통한 우주

개발

IV. 국제협력을 통한 우주

개발

원회는 우주 공간의 평화적 이용을 위한 국제협력을 검토하고 유엔이 수행
할 수 있는 우주 관련 활동을 연구하며, 우주 연구 프로그램을 장려하고 우
주 탐사로 인해 발생하는 법적 문제를 연구하는 임무를 맡고 있다.

  본 위원회는 우주 조약을 포함한 5가지의 조약 및 5가지 원칙·선언을 만
드는 데  중요한  역할을  했다.  우주 탐사를  위한  국제  협력과  글로벌  개
발 목표를 달성하기 위한 우주기술 응용 프로그램의 사용은 매년 위원회
에서 논의되며, 매년 2월경 과학기술소위원회(Scientific and Technical 
Subcommittee) 및 4월경 법률소위원회(Legal Subcommittee), 그리고 6
월경 UNCOPUOS가 오스트리아 비엔나에서 열린다.

  우주기술의 급속한 발전으로 인해 우주 의제는 끊임없이 진화하고 있으
며, 상기 조약 및 원칙만으로는 모든 우주활동을 규율하기가 어려워졌기 때
문에, 본 위원회는 이러한 발전 및 상황을 모니터링하고 논의할 수 있는 글
로벌 차원의 고유한 플랫폼을 제공하고 있다. 특히, 본 위원회와 두 소위원
회의 전체 임무는 우주를 규율하는 국제법 체제를 강화하여 우주공간의 평
화적 이용에 대한 국제협력을 확대하기 위한 여건을 개선하는 것이다. 전반
적으로 모든 수준의 우주활동에서 국제협력의 일관성과 시너지를 높이는 것
을 목표로 하고 있다. 주요 논의 주제로는 평화적 목적의 우주공간 유지, 궤
도에서의 안전한 운영, 우주 쓰레기, 우주 날씨, 소행성의 위협, 우주공간에
서의 안전한 원자력 사용, 기후 변화, 우주법 및 국가 우주 법규가 포함된다.

<표 14> 5 조약 및 5 원칙·선언

달과 기타 천체를 포함한 외기권의 탐색과 이

용에 있어서의 국가활동을 규율하는 원칙에 

관한 조약

(Treaty on Principles Governing the 

Activities of States in the Exploration and 

Use of Outer Space, including the Moon 

and Other Celestial Bodies)

국가의 우주공간 탐사 이용 활동을 규율하는 

법률 원칙 선언

(Declaration of Legal Principles Governing 

the Activities of States in the Exploration 

and Use of Outer Space)

5 조약

5 원칙·선언


background image

   

한국항공우주연구원

59

IV.  국제협력을 통한 우주

개발

IV. 국제협력을 통한 우주

개발

우주비행사의 구조, 우주비행사의 귀환 및 외

기권에 발사된 물체의 회수에 관한 협정

(Agreement on the Rescue of 

Astronauts, the Return of Astronauts 

and Return of Objects Launched into 

Outer Space)

우주물체에 의하여 발생한 손해에 대한 국제

책임에 관한 협약

(Convention on International Liability 

for Damage Caused by Space Objects)

외기권에 발사된 물체의 등록에 관한 협약

(Convention on Registration of Objects 

Launched into Outer Space)

달과 기타천체에 있어서 국가활동을 규율하

는 협정

(Agreement Governing the Activities of 

States on the Moon and Other Celestial 

Bodies)

개발도상국의 필요를 특히 고려하는 모든 국

가의 이익을 위한 우주공간 탐사 및 이용에 

있어서 국제협력에 관한 선언

(Declaration on International 

Cooperation in the Exploration and 

Use of Outer Space for the Benefit 

and in the Interest of All States, Taking 

into Particular Account the Needs of 

Developing Countries)

TV 국제직접방송을 위한 국가의 인공위성 사

용을 규율하는 원칙

(Principles Governing the Use by States of 

Artificial Earth Satellites for International 

Direct Television Broadcasting)

외기권에서의 지구 원격탐사 관련 원칙

(Principles Relating to Remote Sensing of 

the Earth from Outer Space)

외기권에서 핵동력원 사용에 관한 UN 원칙

(Principles Relevant to the Use of Nuclear 

Power Sources in Outer Space)

 UN International Committee on GNSS (UN ICG) 

12)

  유엔  위성항법시스템  국제위원회(UN International  Committee  on 
Global Navigation Satel ite Systems; UN ICG)는 위성항법시스템의 구
축·운용 및 활용 증가에 따른 위성항법 분야 국제협력의 필요성 증대에 따
라 2005년 유엔 총회 결의안을 통해 설립되었다. 회원국은 총 13국이며, 
위성항법시스템 또는 위성 기반 보강시스템을 보유하거나 개발 중인 회원
으로 대한민국을 포함하여 미국, 러시아, 중국, EU, 인도, 일본, 말레이시
아, 호주, 뉴질랜드 및 UAE 등이 있다. 준회원 및 참관기구로 UNOOSA, 국
제전기통신연합(ITU), 그리고 아태우주협력기구(APSCO) 등 21개 기구가 
참여하고 있다.

12)  United Nations 

Office for Outer 
Space Affairs 홈페이지


background image

우주개발 동향과 전망 VOL.2

60

IV.  국제협력을 통한 우주

개발

IV. 국제협력을 통한 우주

개발

<표 15> UN ICG 회원국 구분 및 현황

현재 및 미래 핵심 시스템 공급국

(Current and future core system 

providers)

현재 및 미래 우주기반 지역/보강 시스템 공

급국

(Current and future space-based 

regional or augmentation system 

providers)

GNSS 활용 프로그램을 보유한 UN 회원국

(States Members of the United 

Nations with an active programme in 

implementing or promoting a wide 

range of GNSS services and applications)

중국(BDS), 유럽연합(Galileo), 러시아 연방

(GLONASS), 미국(GPS)

유럽우주국(EGNOS), 인도(NavIC, GAGAN), 

일본(MSAS, QZSS), 나이지리아(NigComsat-1 

SBAS), 러시아 연방(SDCM), 미국(WAAS)

호주, 이탈리아, 말레이시아, 뉴질랜드, 대한민

국, UAE

구분

해당 국가(시스템명)

위성항법서비스 간 상호운영 및 호환성을 증진하고 개발도상국의 위성활
용 서비스 활용 역량 강화를 지원하기 위한 위원회로 ICG 회원 간의 협력
을 통한 GNSS 서비스 이용자들의 이익 증대, GNSS 상호운용 및 호환성 
극대화를 위한 GNSS 핵심 시스템 및 보강시스템 제공자들 간의 조정, 개
발도상국의 사회기반시설로서의 GNSS 서비스 지원 및 활용 촉진 장려, 
그리고 GNSS 관련 ICG 회원국 및 ITU/ICAO/IMO 등 정부 간 기구와의 
정보교류가 주목적이다.

  매년 하반기에 연례 회의가 개최되며, 주요 주제는 정책, 위성항법서비스 
활용 분야 촉진, 위성항법 보강시스템의 호환성 및 상호운용성 보장 등이 
포함된다.


background image

   

한국항공우주연구원

61

IV.  국제협력을 통한 우주

개발

IV. 국제협력을 통한 우주

개발

  유엔  재난  관리 및 긴급 대응을  위한  우주 기반  정보  플랫폼

(UN Platform for Space-based Information for Disaster 
Management and Emergency Response; UN-SPIDER) 

13)

  UN-SPIDER는 2006년 UNOOSA 산하에 설립되었다. 본 플랫폼은 개발
도상국이 재난 관리 및 재난 위험 감소에 필수적인 전문 기술에 대한 제한된 
접근성을 해결하기 위한 솔루션을 개발하고 있다. 특히, 지구관측을 위한 원
격 감지, 위성 기반 통신 및 글로벌 내비게이션 위성 시스템은 보다 효과적인 
재난 위험 관리 및 비상 대응에 기여할 수 있기에, 개발도상국이 예방, 대비, 
조기 경보, 대응 및 재건을 포함한 재난 관리 주기의 모든 단계에서 모든 유
형의 우주 기반 정보를 활용할 수 있도록 지원하는 것이 주요 임무이다.

  본 플랫폼은 우주기술 사용에 대한 지식 공유와 제도 강화를 통해 재난위
험을 줄이거나 재난 대응 작업을 지원하는 조치를 개선하기 위해 만들어졌
다. 상세히는 위성 데이터 및 정보 제공자와 정책 입안자, 재난 위험 관리자 
또는 긴급 대응자 등 다양한 데이터 사용자 그룹 간의 협력을 촉진한다. 이
는 모든 이해관계자와 피해 인구 간에 재난위험 또는 재난 영향에 대한 정보
가 더 잘 전달되는 환경을 만들기 위함이다.

  또한, UN-SPIDER는 국제 파트너 네트워크와 협력하여 개발도상국이 우
주기술에 접근하고 사용할 수 있는 역량을 구축하는 데 도움을 주고 있다. 
UN-SPIDER의 지식 포털은 관련 정보, 링크 및 자원을 제공하는 허브이며, 
맞춤형 기술 자문 지원을 통해 국가의 개별 잠재력을 평가하고 구체적인 권
장 사항을 제시하며 정부 직원을 위한 전문 교육 과정을 실시하고 있다.

 지구관측그룹(Group on Earth Observation; GEO) 

14)

  지구관측그룹(GEO)은 지구관측의 접근성과 활용도를 높이기 위해 2005
년에 설립되었다. 현재 114개의 회원국이 참여하고 있으며, 대한민국은 창
설 회원국으로 2018년부터 아시아-오세아니아 지역 지구관측그룹의 공동
의장국으로 활동하고 있다.

13)  United Nations 

Office for Outer 
Space Affairs 홈페이지

14)  https://www.

earthobservations.
org/


background image

우주개발 동향과 전망 VOL.2

62

IV.  국제협력을 통한 우주

개발

IV. 국제협력을 통한 우주

개발

  GEO는 자발적인 구조이며, 유엔과 같은 법인성을 갖지 않고, 참여나 활동
에 관해 구속력 있는 것은 아니다. GEO의 절차와 규칙은 최소한이며, 각 참
여국 및 기관의 기존 활동을 GEO의 작업으로 등록함으로써 국제적으로 다
른 유사한 활동과 상호 연계를 하고, 세계적인 참여로 발전시킨다. 더불어 
데이터 공유 촉진, 사용자 또는 이용 확장, 사회적 이익 분야에 대한 기여를 
신속하게 할 수 있다.

  GEO의 거버넌스 구조는 매년 열리는 GEO의 주요 의사결정 기관인 총회, 
GEO를 안내하는 집행위원회, GEO 작업 프로그램(GWP)을 안내하는 GEO 
프로그램 위원회로 구성된다. 스위스 제네바에 본부를 둔 GEO 사무국은 
GEO 의사결정 기관의 결정을 집행하고 GEO 커뮤니티의 업무를 지원한다. 
GEO 총회는 2005년부터 매년 회의를 열고 있다.

  아시아 지역에서는 일본, 중국, 한국, 호주가 선발되었으며, 유럽 지역에서
는 EC, 이탈리아, 에스토니아, 아프리카 지역에서는 남아프리카와 가봉, 미
국 지역에서는 미국, 아르헨티나, 콜롬비아, 독립 국가 공동체(CIS)에서는 러
시아로 총 13개 국가로 구성되어 있다. 실행 위원회는 연간 약 3회 회의를 개
최하며, GEO의 진척 및 운영 방식을 조정한다. 공동의장으로서, 실행 위원 
국가 중에서 중국, EC, 미국, 남아프리카의 4개 국가가 순환으로 의장 임무
를 수행한다. GEO 전체로서는 연 1회, 보통 11월에 각 국가·각 기관의 대표를 
모아 본회의(Plenary)가 개최되며, 10년 실행 계획의 진척 확인을 한다. 또
한, 3년에 1회 정도 장관급 회의를 개최하여, 장관의 합의 사항을 반영한 선
언문을 채택하고 있다.

  지구 관측을 통해 수집된 데이터는 많은 분야에서 연구조사, 정책 입안, 의
사결정 등에 활용되며, 이를 통해 지속 가능한 지구를 만드는 것을 목적으
로 하고 있다. GEO는 데이터의 개방적, 통합적, 상시 공유를 촉진하여 많은 
분야에서 연구조사, 정책 입안, 의사결정, 시행 조치를 뒷받침합니다. GEO 
커뮤니티는 3가지의 글로벌 우선 활동 아젠다(지속 가능 발전을 위한 UN 
2030 아젠다, 파리 기후협약, 재난 재해 위험 경감을 위한 센다이 프레임워
크)에 초점을 둔다.


background image

   

한국항공우주연구원

63

IV.  국제협력을 통한 우주

개발

IV. 국제협력을 통한 우주

개발

    GEO에서는  5가지의  워킹그룹이  있다.  여기에는  역량  개발  워킹그룹
(Capacity Development WG), 기후 변화 워킹그룹(The Chimate Change 
WG), 재난위험 경감 워킹그룹(The Disaster Risk Reduction WG), 데이터 
워킹그룹(The Data WG), 그리고 회복력 있는 도시와 인간 거주지 워킹그룹
(Resilient Cities and Human Settlement WG)가 포함된다.

<표 16> GEO 워킹그룹 리스트

역량 개발 워킹그룹

(Capacity 

Development WG

기후 변화 워킹그룹

(The Climate Change 

WG)

재난위험 경감 워킹그

(The Disaster Risk 

Reduction WG)

회복력 있는 도시와 인

간 거주지 워킹그룹

(Resilient Cities and 

Human Settlement 

WG)

데이터 워킹그룹

(The Data WG)

역량 개발에 대한 GEO의 노력을 촉진하고, 공동 창조의 원칙을 촉진하며, 다양
한 수준의 개입에서 역량 개발 활동의 설계, 개발, 실행 및 평가에 대한 개념적 
지원 제공

지구관측 활용 발전 관련 포괄적인 GEO 기후 변화 대응 전략 개발 및 실행으
로 기후 적응 및 완화를 지원. 기후 변화에 관한 파리 협정과 관련된 조치 포함. 
기후 변화와 관련된 GEO 작업 프로그램 활동의 조정 및 활용을 개선하고, 유
엔기후변화협약(UNFCCC) 및 기후 변화에 관한 정부 간 협의체(IPCC) 내에서 
각국의 행동을 지원하며, 기후 영역에서 GEO의 파트너와의 협력을 강화하는 
것이 임무임

지구관측 활용을 발전시켜 GEO 내에서 일관성 있고 교차적인 접근법을 개발하
고 실행하여 국가 재난위험 경감 및 복원력을 지원. 유엔 재난위험경감사무국
(UNDRR)의 2015-2030 재난위험경감 센다이 체제와 같은 관련 글로벌 정책 
체제에 대한 인식을 증진하는 한편, UNDRR의 주요 GEO 연락 담당자 역할을 
수행

지구관측의 활용을 발전시켜 GEO 내에서 일관되고 교차적인 접근 방식을 개발
하고 구현하여 인간 거주지, 도시, 국가의 도시 회복력과 지속 가능한 도시화 노
력을 지원. 다자간 협정 조항과 관련된 노력이 포함되며, 현재 유엔 차원에서 체
제 역할을 하는 신도시 의제를 강조하고 목표로 삼고 있음

지구관측 사용에 영향을 미치는 데이터 정책, 데이터 라이선스 및 데이터 거버
넌스 문제를 해결하기 위해 GEO 커뮤니티 및 외부 이해관계자들과 협력하여 
의사결정을 위한 지구관측 활용 개선

워킹그룹명

내용

자료: https:/ earthobservations.org/geo_wp_23_25.php

  GEO 플래그십은 GEO가 장려하고자 하는 글로벌, 국가 및 지역 의사결
정에 대한 영향력과 지원의 모범을 보여 주는 이니셔티브이다. 이는 국제
기구, 협약, 협정 또는 기타 기관이 정한 정책 의무에 따라 신뢰할 수 있고 
지속적으로 서비스를 개발하여 시행하고 있으며, 이를 통해 GEO 플래그
십은 다른 GEO 업무 프로그램 활동의 모델과 가이드 역할을 하고 있다.


background image

우주개발 동향과 전망 VOL.2

64

IV.  국제협력을 통한 우주

개발

IV. 국제협력을 통한 우주

개발

 한편, GEO 이니셔티브는 정의된 영역 내에서 연구 커뮤니티의 혁신적인 결
과와 프로토타입(prototype)을 지구관측 기반 제품 및 서비스로 전환하여 
다양한 사용자를 지원하고 있다. 나아가 이해관계자 커뮤니티를 구축하여 필
요와 격차를 파악하고 관련 커뮤니티와 함께 역량을 개발하여 개발 중인 제
품과 서비스의 가치를 극대화할 수 있도록 협력하는 임무를 수행한다.

  그 외, GEO 파일럿 이니셔티브(Pilot Initiatives)라고 불리우는 카테고리도 
있다. 이는 이전의 “커뮤니티 활동(Community Activity)”으로 불리우던 카테
고리이며, GEO 이니셔티브 지위로 발전할 의사가 있어야 하고 합리적인 기간 
내에 GEO 이니셔티브 지위로 바뀌어야 한다. 즉, GEO 파일럿 이니셔티브는 
GEO 이니셔티브가 될 수 있는 새로운 활동을 위한 진입점 역할을 하고 있다.

  현재 “GEO 작업 프로그램 2023-2025”의 핵심 활동은 총 5가지의 플래그
십 및 19가지의 이니셔티브, 그리고 22가지의 파일럿 이니셔티브로 구성되
어 있다.

   2. 지역적 국제기구 또는 그 밖의 국제기구

  아태우주기관포럼(Asian-Pacific  Regional  Space  Agency 

Federation; APRSAF)

    APRSAF는  1992년  아시아-태평양  국제우주연회의(Asia-Pacific 
International Year Conference)에서 선언문이 채택된 이후 일본 주도로 운영
되는 다자협의체이다. 1993 제1차 APRSAF를 일본이 개최한 이후, 일본 교육
문화체육과학기술부(MEXT), 일본항공우주탐사국(JAXA) 및 주최국 기관과 
함께 공동으로 매년 개최되고 있다. 아태지역 우주 기관 및 국제기구 대표 간
의 정보교류, 그리고 네트워크 구축, 우주기술 협력 방안을 모색하는 자리로 
우주 기관, 정부 기구, 국제기구, 산업체, 대학, 연구원 등 40개 이상의 아시아 
국가 및 지역과 미국, 유럽 또한 참여 중이다. 특히 우주 협력 강화, 국제 협의
체 활동을 통한 우주 외교 수행 및 우주 정책 소개를 목적으로 주요국 및 신흥
우주국의 정부 참여가 확대되는 추세다.


background image

   

한국항공우주연구원

65

IV.  국제협력을 통한 우주

개발

IV. 국제협력을 통한 우주

개발

 한국은 제9차 APRSAF를 대전에서 주최한 바 있으며, 올해 제29차 APRSAF
는 인도네시아 자카르타에서 개최되었다.

  5개의 분과(Working Group)로 구성되어 있으며, 사회적이익을 위한 위성
활용분과(Satel ite Applications for Social Benefit WG; SAWG), 우주역량
강화분과(Enhancement of Space Capability WG; SCWG), 모든 WG를 위
한 우주교육분과(Space Education for All WG; SE4AWG), 우주개척분과
(Space Frontier WG; SFWG), 우주정책 및 법분과(Space Policy and Law 
WG; SPLWG)가 있다. 또한 아태지역 우주산업의 발전을 목적으로 현황 및 
이슈를 논의하는 Space Industrial Workshop (SIWS)도 같은 곳에서 이루어
진다.

  APSCO (Asia-Pacific Space Cooperation Organization) 

15)

  2008년에 출범하여 중국 베이징에 본사를 둔 정부 간 기구로 아시아 태평양 
지역의 신흥국을 위한 우주 분야 협력 메커니즘을 제공한다. 우주과학, 우주
기술 및 우주 애플리케이션 분야의 자원 공유를 통해 회원국들의 역량 구축을 
촉진하는 다자간 협력을 촉진하고 있다.

<표 17> APSCO 회원국 및 주요 협력 내용

회원국
서명국

옵저버 국가

방글라데시, 중국, 이란, 몽골, 파키스탄, 페루, 태국, 터키
인도네시아
멕시코

구분

국가명

ㅇ 데이터 공유 네트워크
  -  2012년 회원국 간 무료 데이터 공유를 위한 데이터 공유 서비스 플랫폼(DSSP: Data Sharing 

Service Platform)을 시작하였으며, 자원은 중국, 이란, 파키스탄, 페루, 태국, 터키에서 제공됨. 기
상위성 데이터도 사용할 수 있음

ㅇ 우주 세그먼트 네트워크 및 지상 시스템의 상호 연결
  -  APSCO 공동 SMMS (Small Multi-Mission Satellites) Constellation은 중국에서 제공하는 3기의 

궤도상의 원격 감시 위성과 모든 회원국이 공동을 개발할 8기의 위성으로 구성됨. 참가국의 모든 
지상국을 연결하여 시스템의 효율성과 이점을 증가시킬 예정임

15)  http://www.

apsco.int/html/
comp1/content/


background image

우주개발 동향과 전망 VOL.2

66

IV.  국제협력을 통한 우주

개발

IV. 국제협력을 통한 우주

개발

ㅇ 데이터 공유 네트워크
  -  2012년 회원국 간 무료 데이터 공유를 위한 데이터 공유 서비스 플랫폼(DSSP: Data Sharing 

Service Platform)을 시작하였으며, 자원은 중국, 이란, 파키스탄, 페루, 태국, 터키에서 제공됨. 기
상위성 데이터도 사용할 수 있음

ㅇ 우주 세그먼트 네트워크 및 지상 시스템의 상호 연결
  -  APSCO 공동 SMMS (Small Multi-Mission Satellites) Constellation은 중국에서 제공하는 3기의 

궤도상의 원격 감시 위성과 모든 회원국이 공동을 개발할 8기의 위성으로 구성됨. 참가국의 모든 
지상국을 연결하여 시스템의 효율성과 이점을 증가시킬 예정임

ㅇ 지상 기반 우주 물체 관측(APOSOS) 네트워크
  -  우주 물체 탐지, 추적 및 식별 역량 구축을 위한 지상 기반 우주 관측 시스템 네트워크를 통해 관

측 주기 및 관점 강화를 달성함. 이란, 파키스탄, 페루에 망원경 3대를 설치했으며, 데이터 공유 및 
공동 관측 운영을 위한 데이터 센터를 구축함. 다음 단계인 관측 노드 확장으로 시스템이 완성될 
예정임

ㅇ 재난 모니터링 네트워크
  -  아시아 태평양 지역의 재난 관리 및 구조 역량을 향상시키기 위해 가뭄, 홍수 및 산사태에 대한 원

격 감시 데이터 애플리케이션, 비상 사용을 위한 GNSS, 지상 전리층 사운딩 기반 지진 예측 및 전
자기 위성에 관한 연구를 공동으로 수행함. Charter-similar Mechanism을 통한 재난 관리 프레
임워크를 개발하고 있음

ㅇ 우주 응용 네트워크
  -  원격 의료, 국제 GNSS 모니터링 및 평가 서비스와 같은 우주 인프라를 공유하기 위한 여러 가지 

네트워크를 시작함. 우주기술을 강화하기 위해 위성 센서의 방사 측정 보정, 전파 전달 연구를 위
한 전리층 모형화, Ka-Band 강우 감쇠에 대한 대기 효과 등 다양한 연구를 수행하고 있음

ㅇ 교육 및 훈련 센터/네트워크
  -  APSCO는 모든 회원국에 교육 및 훈련 센터/네트워크를 위임했으며, 이 네트워크는 온라인 교육 

프로그램과 지식 교환을 지원함

 EUMETSAT 

16)

 1986년 설립된 독립적인 정부 간 유럽 위성 운영기관(30개 회원국)으로 
날씨, 기후, 환경 감시를 목적으로 Copernicus, Meteosat, Metop, Jason 
(CNES, NOSS 및 NASA와 협력), Sentinel 등의 임무를 수행하고 있다. 회
원국은 데이터 및 서비스에 대한 완전한 액세스 권한을 가지며 조직의 최
고 의사결정 기구인 이사회에서 대표된다.

16)  https://www.

eumetsat.int/


background image

   

한국항공우주연구원

67

IV.  국제협력을 통한 우주

개발

IV. 국제협력을 통한 우주

개발

<표 18> EUMETSAT 회원국 현황

회원국(30)

오스트리아(1993), 벨기에(1986), 불가리아(2014), 크로아티아(2006), 
체코  공화국(2010),  덴마크(1986),  에스토니아(2013),  핀란드(1986), 
프랑스(1986),  독일(1986),  그리스(1988),  헝가리(2008),  아이슬란드
(2014),  아일랜드(1986),  이탈리아(1986),  라트비아(2009),  리투아니
아(2013), 룩셈부르크(2002), 네덜란드(1986), 노르웨이(1986), 폴란드
(2009), 포르투갈(1989),  루마니아(2010),  슬로바키아 공화국(2006), 
슬로베니아(2008),  스페인(1986),  스웨덴(1986),  스위스(1986),  터키
(1986), 영국(1986)

구분

국가명

  정지궤도 위성인 Meteosat-9, -10, -11을 유럽과 아프리카에서, Meteosat-8
을 인도양에서 운영하고 있다. 미국 NOAA와 공유하는 초기 합동 극지 시스템
(IJPS)의 일부인 2기의 Metop 극궤도 위성을 운용하고 있다. 미국과의 공동 해
수면 모니터링 Jason 임무(Jason-3, Jason-CS/Sentinel-6)의 파트너이기도 하
다.

  EUMETSAT은 유럽연합의 위임을 받아 Sentinel 임무의 해양, 대기 및 기후 데
이터와 제품을 전 세계에 배포하는 역할을 담당하며, 유럽, 중국, 인도, 일본, 한
국, 미국 등 국가의 지구관측 위성 운영사들과 협력 관계를 구축하고 있다.

  ESA PECS (Plan for European Cooperation States) 프로그램

17)18)

  ESA는 ESA 회원이 아닌 유럽연합 회원국과의 공식 협력 관계를 구축하기 
위해 다양한 유형의 협력(일반 협력 계약, 유럽 협력 국가(ECS) 및 준회원)을 
규정하고 있으며 PECS는 준회원국(AM: Associated Member State)으로 
ESA에 가입하고 추후 검토를 거쳐 정회원으로 가입하려는 국가들을 위해 설
계되었다.

  11개 유럽 국가가 PECS 헌장에 서명했으며, 그중 5개 국가(에스토니아, 체코 
공화국, 헝가리, 루마니아, 폴란드)는 이후 정회원으로 승격되었고, 2개 국가

17)  https://www.esa.

int/About_Us/Plan_
for_European_
Cooperating_
States/General_

18)  https://www.esa.

int/About_Us/
Corporate_news/
Member_States_
Cooperating_States


background image

우주개발 동향과 전망 VOL.2

68

(슬로베니아, 라트비아)는 준회원(AM), 4개 국가(불가리아, 키프로스, 리투아
니아, 슬로바키아)는 PECS에 속해 있다.

  후보 국가는 유럽 국가이면서 ESA와의 Framework Agreement에 서명한 
상태여야 하며, 해당국이 ESA에 보다 완전히 참여하기를 원하는 경우 ECS 
Agreement를 작성해야 한다. ECS Agreement는 해당 국가가 ESA 조달 및 
활동에 참여할 수 있도록 하며, ESA와 관련 국가가 공동으로 합의한 5개년 
계획인 PECS Charter에 의해 1년 이내에 보완되어야 한다.

  PECS에 따라 해당 국가는 ESA에 연간 140만 유로(이를 늘릴 수 있는 옵션
을 포함함)를 기여하고, 그 대부분은 ESA EMITS에 공표되는 Competitive 
Cal s for Outline Proposals의 일환으로 산업계에 대한 계약의 형태로 해당 
국가에 반환된다(각 cal 은 ESA와 국가 대표로 구성된 TF가 ESA 전문 검토
자의 의견을 바탕으로 TEB에서 제안을 평가하고, 활동 유형과 각 cal 에 대한 
자금 한도를 결정함).

  각각의 참여에 대해서는 공동으로 합의되는 PECS를 위한 5개년 계획에 정
의되어야 하며 이 제3자 자금지원 계획은 국가 우주 역량을 향상시키고 ESA
와 ECS가 구체적인 활동을 함께 시작할 수 있도록 하는 것을 목표로 한다. 
PECS 위원회는 계획의 실행을 모니터링하고 통제한다. PECS 헌장에 따라 5
년 동안 국가는 ESA에 대한 지식수준을 높이고 우주산업을 발전시켜 미래에 
계약을 체결할 가능성을 높일 수 있다. 5년 후에는 해당 국가의 산업 진행 상
황을 평가하고 ESA와 해당 국가에서 준회원이 되는 것을 결정한다.

IV.  국제협력을 통한 우주

개발


background image

   

한국항공우주연구원

69

V. 결론 및 시사점 

  지금까지 전 세계 우주개발 동향과 전망에 대해 살펴보았다. 우주개발에 
참여하는 국가의 수는 꾸준히 증가하고 있으나 여전히 우주개발은 소수의 
우주개발 선진국들이 주도하고 있다. 이 과정에서 미국과 러시아의 우주개
발 경쟁은 지속적으로 약화된 반면, 최근에는 미국과 중국을 비롯한 일본, 
프랑스 등 주요 국가들의 우주개발 경쟁이 더욱 심화되고 있는 것으로 나
타난다. 우주개발 선진국들을 중심으로 민간부문에서는 유인 우주비행 분
야, 우주과학 및 탐사, 지구관측 분야의 성장이 두드러지게 나타났으며, 국
방부문에서는 우주안보 및 조기경보 분야의 성장이 두드러지게 나타났다. 
이러한 성장이 전 세계 우주개발 예산의 흐름을 주도하고 있으며, 우주개
발 분야마다 주요 국가들의 우주개발 예산은 다르게 나타난다.

  유인우주비행 분야의 경우 아직 소수의 국가들만 투자하고 있으며, 미국
과 중국 등 국가들의 경쟁이 매우 치열한 상황이다. 우주과학 및 탐사 분야
의 경우 규모면에서는 미국과 중국의 예산이 높게 나타나지만, 유럽 국가들
의 경우 ESA의 우주탐사 프로그램과 관련하여 각국의 정부 우주개발 예산
에서 우주과학 및 탐사 분야의 예산이 차지하는 비중이 높은 편이다. 지구
관측 분야의 경우 참여국가의 수가 가장 많은 분야로 예산의 규모 측면에
서는 미국이 가장 높게 나타나지만 전체 우주개발 예산에서 차지하는 비중
이 4% 수준으로 낮은 반면, 그 외 대부분의 국가들에서 각국의 우주개발 
예산에서 차지하는 비중이 10%~48%로 높은 분야이다. 우주안보 및 조기
경보 분야는 주로 국방부문을 통해 투자되며 최근 가장 급격히 성장하고 
있는 분야로 미국, 일본, 중국, 러시아, 호주 등이 주된 투자국이다. 이러한 
정부 우주개발 예산은 전 세계 우주산업의 중요한 고객으로서 중요한 역할
을 하게 된다.

  한편 우주공간에서의 평화적이고 지속 가능한 활동 및 개발을 할 수 있게 
하기 위하여 선진국뿐만 아니라 개발도상국까지 참여하는 다양한 국제기
구를 통한 국제협력이 강조되고 있다. UNOOSA를 시작으로 각 우주활동 
부문에 집중된 전 세계적 기구뿐만 아니라 유럽, 아시아 태평앙 등으로 나

V. 결론 및 시사점


background image

우주개발 동향과 전망 VOL.2

70

V. 결론 및 시사점

V. 결론 및 시사점

누어진 지역적 성격이 강조된 기구도 늘어나고 있다. 특히 STM과 같은 우주
공간에서의 활동은 더 이상 한 국가만의 힘으로는 불가능해졌기에 이러한 
국제기구를 통한 협업이 활용되고 있으며, 아직 우주공간 이용을 위한 인프
라가 구축되지 않은 개발도상국은 이러한 국제기구를 통하여 평화적 도움
을 받고 있다.

  지금까지 살펴본 각국의 우주개발 예산 및 주요 프로그램, 국제협력 등의 
동향을 바탕으로 다음과 같은 정책적 시사점을 정리할 수 있다.  
  첫째, 우주개발 선진국들과 비교하여 한국의 우주개발 예산은 지구관측, 
발사체, 내비게이션 분야에 주로 집중되고 있는 반면, 그 외 유인우주비행, 
우주과학 및 탐사, 우주안보 및 조기경보 등의 주요 분야에서는 아직까지 
다소 경쟁력이 부족한 것으로 나타나고 있다. 특히 유인우주비행과 우주안
보 및 조기경보 분야는 우주개발 선진국들이 현재 집중적으로 투자하고 있
는 분야로 해당 분야에 대한 관심을 높히고 장기적인 관점에서 점진적으로 
접근해야 할 필요성이 있다.  

  둘째, 우크라이나 전쟁 등으로 지정학적인 긴장이 심화되고, 국방부문에
서 우주 인프라의 중요성이 강조되면서 우주안보 및 조기경보 분야에 대한 
예산의 확대가 빠르게 진행되고 있으며 이러한 변화에 대응해야 할 필요성
이 있다. 최근 미국, 중국, 일본, 러시아 등 주요 국가들의 경우 국방부문 우
주개발 예산 비중이 점점 높아지는 상황이며, 한국 또한 국방부문의 우주개
발 예산 비중이 높아질 전망으로 국내외 우주분야에서 국방부문의 영향이 
점점 더 커질 것으로 예상된다.

  셋째, 각국의 상황과 조건에 따라 매우 다양한 방식의 국제협력이 수행되고 
있으며 이를 위한 여러 국제기구가 생겨나고 있으므로, 한국 또한 국제협력에 
있어서 보다 전략적인 접근이 필요할 것이다. 아직까지 우주개발 선진국들과
의 국제협력은 주로 우주탐사 분야와 같은 과학연구를 통해 추진되고 있으며, 
개발도상국들의 경우 해외조달이나 기술이전, 또는 국제기구를 통한 협업이 
활용되고 있다. 또한 우주위험관리와 같이 전 세계적인 협력이 필요한 분야에
서는 상업적 접근과 같은 다양한 방식의 국제협력이 시도되고 있다.


background image

   

한국항공우주연구원

71

V. 결론 및 시사점

V. 결론 및 시사점

  마지막으로 각국 정부의 우주개발 예산은 우주산업의 성장과도 밀접한 관
련이 있으며, 우주기술이 성숙된 국가일수록 상업적 주체의 역량을 활용하
기 위한 다양한 정책들이 발전하고 있다. 한국 또한 최근 우주기술이 성숙기
에 도달하기 시작하였으며 국내의 우주 스타트업들이 하나둘씩 상장기업으
로 성장하는 등 산업체의 역량이 매우 빠르게 발전하고 있다. 따라서 앞으
로는 이러한 국내 우주 산업체의 역량을 활용하기 위한 여러 정책들의 도입
과 발전이 점점 더 중요해질 것이다.  


background image

우주개발 동향과 전망 VOL.2

72

참고문헌

Euroconsult. (2022). Government Space Programs.
Euroconsult. (2022). Space Economy Report.
Euroconsult. (2022). Satel ites to be built and launched by 2031.
관계부처 합동. (2022) 제4차 우주개발진흥 기본계획.
Union of Concerned Scientists. (2023). "UCS Satel ite Database", https://www.ucsu-
sa.org/resources/satel ite-database (accessed November 27, 2023).
Aerospace Security. (2022). “International Astronaut Database”, https://aerospace.
csis.org/data/international-astronaut-database/ (accessed November 27, 2023).
APSCO 홈페이지 http://www.apsco.int/
ASI 홈페이지 https://www.asi.it/en/
CNES 홈페이지 https://cnes.fr/en
CSA 홈페이지 https://www.asc-csa.gc.ca/eng/
DLR 홈페이지 https://www.dlr.de/EN/Home/home_node.html
ESA 홈페이지https://www.esa.int/
EUMETSAT 홈페이지 https://www.eumetsat.int/
ISRO 홈페이지 https://www.isro.gov.in/
JAXA 홈페이지 https://global.jaxa.jp/
NASA 홈페이지 https://www.nasa.gov/
NOAA NESDIS 홈페이지 https://www.nesdis.noaa.gov/
GEO 홈페이지 https://www.earthobservations.org/
UNOOSA 홈페이지 https://www.unoosa.org/


background image

   

한국항공우주연구원

73

작성: 한국항공우주연구원 정책팀       백기태 선임 연구원
                                                          윤나영 선임 연구원


background image

발행인  이상률
발행처  한국항공우주연구원 정책팀
발행년월  2023. 11
주소  대전광역시 유성구 과학로 169-84
전화  042)870-3655

※ 본 연구내용은 연구자 개인의 견해이며, 한국항공우주연구원의 공식적인 견해가 아님을 밝힙니다.

우주개발 동향과 전망 Vol.2


background image