PDF문서[붙임2] 세부과제 과제제안요구서(RFP)_적외선 검출기.pdf

닫기

background image

-  1  -

별첨  2

  과제제안요구서

(스페이스파이오니어사업  세부과제)

“  2차원  다채널  적외선검출기  ”


background image

-  2  -

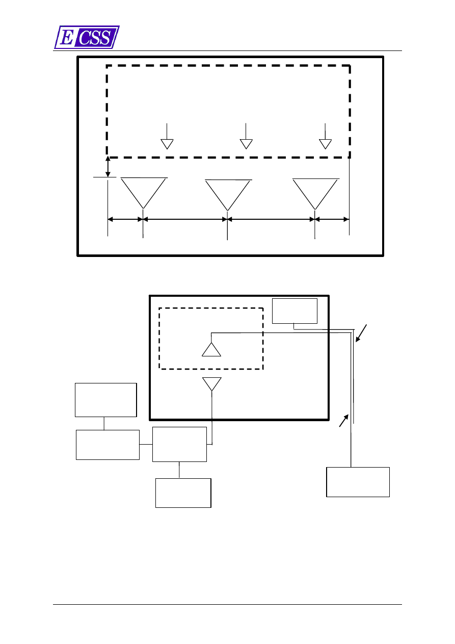
2차원 다채널 적외선 검출기

□ 추진배경

  ᄋ  제3차  우주개발  진흥  기본계획(`18.2.)에  근거하여,  차세대정지궤도위성  개발사업이  `23년  ~ 

`28년간  추진될  계획이며,  조기경보위성이  `40년까지  3기  발사  계획임

      -  해양관측위성(해색  &  해수온)이나  조기경보와  같은  지구관측  위성에서,  가시광  영역에서  감지할 

수  없는  적외선(중파장/장파장  적외선)  영역  관측이  중요함

      -  정지궤도위성의  기상탑재체를  통한  기상  정보  분석에서도  다채널의  적외선  영상  획득은  중요한  정보

로  활용됨 

      -  적외선센서는  관측을  위해  반드시  필요한  부품으로,  심우주  탐사를  위해서는  고감도  /  대면적  적

외선  센서  개발이  요구됨

      -  현재  국내  저궤도위성의  적외선  검출기는  1차원/단채널(중파장)  적외선  검출기로,  해외로부터  검

출기를  구매하여  탑재(현재  국내  위성에  탑재된  적외선  검출기는  1차원/단채널(중파장)의  검출

기로,  Step-staring  관측  방식의  임무를  수행하는  정지궤도위성에는  탑재하여  운용이  불가능함)

  ᄋ  국내  적외선센서  개발은  대부분  국방/산업용에  한정되어,  본격적으로  우주에서  지구관측에  필요

한  성능을  구현하기  위해  적외선  센서  스펙  향상이  필요함

  ᄋ  광학위성의  관측스펙트럼이  넓어짐에  따라,  중파장/장파장  적외선  검출기의  탑재가  필수적임

      -  기존  저궤도위성에  탑재된  3~5μm  중파장  적외선  영역뿐만  아니라,  열  영상  획득에  효과적인 

8~12μm  장파장  적외선  영역의  관측이  중요함

  ᄋ  2차원  형태의  다채널  적외선  검출기의  개발을  통해  적외선  영상의  품질을  향상시키고  저궤도/정지궤도에 

탑재가  가능할  것으로  기대됨

과제제안요구서(RFP)

연구과제명

2차원 다채널 적외선 검출기

1. 연구목표

  ᄋ  지구관측위성용  2차원  다채널  QM급  적외선  검출기  개발목표  및  내용

    -  정지궤도/저궤도  지구관측위성에  적합한  다채널  적외선  검출기  개발

구분

현재수준

2차원  다채널  중적외선 

검출기

2차원  다채널  원적외선 

검출기

정성 

목표

2차 원  

다 채 널 

적외선  검출기

단채널  중적외선 

검출기  기술  확보

위성탑재를  위한  중적외선 

감지용  검출기  QM  개발

위성탑재를  위한  원적외선 

감지용  검출기  QM  개발

정량 

목표

TRL단계

4(중적외선)/ 

2~3(원적외선)

최종  6

최종  6

EMI/EMC

-

MIL-STD-461F

MIL-STD-461F


background image

-  3  -

NETD : Noise Equivalent Temperature Difference

ESCC  9020

-

F2/F3

F2/F3

반응파장대역

-

3-5.2㎛  [TBD]

10-12.5㎛  [TBD]

배열수/픽셀피치

-

2048  x  2048/10㎛  [TBD]

1024  x  1024/20㎛  [TBD]

선형도

-

+/-  5%

+/-  5%

최소분해가능온도차 

(NETD)

-

≤  25mK(@80K)[TBD]

≤  35mK(@65K)[TBD]

2. 연구내용 및 연구성과

■  세부기술  개발  내용

ᄋ  1차년도
-  2차원  다채널  중적외선  검출기  기본  설계
-  2차원  다채널  중적외선  검출기  부품레벨/공정  인증시험  준비
-  2차원  다채널  원적외선  검출기  개념  설계
 
ᄋ  2차년도
-  2차원  다채널  중적외선  검출기/구동전자부  EM  개발
-  2차원  다채널  중적외선  검출기  부품레벨/공정  인증시험
-  2차원  다채널  원적외선  검출기/구동전자부  기본설계(DM개발)
 
ᄋ  3차년도
-  2차원  다채널  중적외선  검출기/구동전자부  QM  개발
-  2차원  다채널  원적외선  검출기/구동전자부  설계  검증 
-  2차원  다채널  원적외선  검출기  부품레벨/공정  인증시험  준비
 
ᄋ  4차년도
-  2차원  다채널  중적외선  검출기/구동전자부  우주환경  인증시험
-  2차원  다채널  원적외선  검출기/구동전자부  EM  개발 
-  2차원  다채널  원적외선  검출기  부품레벨/공정  인증시험
 
ᄋ  5차년도
-  2차원  다채널  원적외선  검출기/구동전자부  QM  개발 
 
ᄋ  6차년도
-  2차원  다채널  원적외선  검출기/구동전자부  우주환경  인증시험 
-  QM  이후  체계연계를  고려한  FM급  계획(안)  수립
 
■  시험검증  방법

ᄋ  QM의  경우  한국항공우주연구원의  우주환경시험실  활용*
-  우주  인증을  위한  충격,  진동,  열진공  시험,  전자파  환경시험  등을  수행
-  정지궤도/저궤도  위성의  우주환경  규격에  대한  검증  수행

*  QM의  경우  한국항공우주연구원의  우주환경시험실  활용을  우선  권고하나  연구일정  준수  등을  고

려  시  주관  개발  기관의  제안도  가능함

ᄋ  IDDCA  QM의  방사선  환경시험은  국내/외  가속기  시험시설  활용
-  개발된  검출기에  대한  방사선  환경시험  수행
-  유럽우주국의  ECSS-9020의  방사선  환경  규격에  대한  검증  수행


background image

-  4  -

ᄋ  검출기  QM의  우주  인증  시험
-  개발된  검출기에  대하여  유럽우주국의  ECSS-9020  시험  규격에  대한  검증  수행
 
■  최종성과물  및  활용  방안 

최종성과물

목표  체계

성과활용방안

지구관측위성  탑재용  중적외선
검출기,  원적외선  검출기  인증 
모델(QM)  개발  및  인증

[최초  적용  체계]
‘29년  발사예정인  우주과학검증위성
’29년  발사예정인  차세대  정지궤도위
성에  탑재(해양환경)
[이후  적용  체계]
후속  조기경보위성(~`32년)  (미정)  탑재
확보된  기술을  반영하여  차세대중형
위성(~`34년)  (미정)에  탑재

지구  관측을  위한  광학위성의  주요 
핵심부품으로  전자광학탑재체에  적

3. 특기사항

  -  전기지상지원장비(EGSE)  및  기계지상지원장비(MGSE)  포함됨

  -  적외선검출기는  냉각기와  냉각기구동전자부를  포함한  적외선초점면  유닛을  의미함.  (*냉각기와  냉각구

동부는  해외  구매품  적용  가능)

4. 연구기간 및 연구비

ㅇ 

(연구기간) ’21.9.~’26.12(6년)

ㅇ 

(연구비) 160억원(중소기업 기관부담금 기준 40억원 포함)

연도

2021

2022

2023

2024

2025

2026

합계

정부  지원금

8.11

19.36

36.74

36.85

13.04

5.90

120

민간  부담금

2.70

6.45

12.25

12.29

4.35

1.96

40

합계

10.81

25.81

48.99

49.14

17.39

7.86

160

                                                                                                                (단위:  억원)

        ※  연구기간  및  연구비는  정부  예산사정  및  사업추진  방향  등에  의해  변동•조정될  수  있음


background image

별첨  2-1

제안 요청서

스페이스파이오니어사업 세부과제

2차원 다채널 적외선검출기

2021. 07.

스페이스파이오니어사업단


background image

-  2  -

<제목 차례>

제 1 장. 개요 ·

·

·

·

·

·

·

·

·

·

·

·

·

·

·

·

·

·

·

·

·

·

·

·

·

·

·

·

·

·

·

·

·

·

·

·

·

·

·

·

·

·

·

·

·

·

·

·

·

·

·

·

·

·

·

·

·

·

·

·

·

·

·

·

·

·

·

·

·

·

·

·

·

·

·

·

·

·

·

·

·

·

·

·

·

·

·

·

·

·

·

·

·

·

·

·

·

·

·

·

·

·

·

·

·

·

·

·

·

·

·

·

·

·

·

·

·

·

·

·

·

·

3

제 1 절. 제안요청서의 구조 ·

·

·

·

·

·

·

·

·

·

·

·

·

·

·

·

·

·

·

·

·

·

·

·

·

·

·

·

·

·

·

·

·

·

·

·

·

·

·

·

·

·

·

·

·

·

·

·

·

·

·

·

·

·

·

·

·

·

·

·

·

·

·

·

·

·

·

·

·

·

·

·

·

·

·

·

·

·

·

·

·

·

·

·

·

·

·

·

·

3

제 2 절. 본 사업의 목표 ·

·

·

·

·

·

·

·

·

·

·

·

·

·

·

·

·

·

·

·

·

·

·

·

·

·

·

·

·

·

·

·

·

·

·

·

·

·

·

·

·

·

·

·

·

·

·

·

·

·

·

·

·

·

·

·

·

·

·

·

·

·

·

·

·

·

·

·

·

·

·

·

·

·

·

·

·

·

·

·

·

·

·

·

·

·

·

·

·

·

·

·

·

·

·

3

제 3 절. 주요 용어 및 약자 ·

·

·

·

·

·

·

·

·

·

·

·

·

·

·

·

·

·

·

·

·

·

·

·

·

·

·

·

·

·

·

·

·

·

·

·

·

·

·

·

·

·

·

·

·

·

·

·

·

·

·

·

·

·

·

·

·

·

·

·

·

·

·

·

·

·

·

·

·

·

·

·

·

·

·

·

·

·

·

·

·

·

·

·

·

·

·

·

·

4

제 2 장. 과제계획서 제출 요령 ·

·

·

·

·

·

·

·

·

·

·

·

·

·

·

·

·

·

·

·

·

·

·

·

·

·

·

·

·

·

·

·

·

·

·

·

·

·

·

·

·

·

·

·

·

·

·

·

·

·

·

·

·

·

·

·

·

·

·

·

·

·

·

·

·

·

·

·

·

·

·

·

·

·

·

·

·

·

·

·

·

·

·

·

·

·

·

·

·

·

5

제 1 절. 작성 과제계획서 양식 ·

·

·

·

·

·

·

·

·

·

·

·

·

·

·

·

·

·

·

·

·

·

·

·

·

·

·

·

·

·

·

·

·

·

·

·

·

·

·

·

·

·

·

·

·

·

·

·

·

·

·

·

·

·

·

·

·

·

·

·

·

·

·

·

·

·

·

·

·

·

·

·

·

·

·

·

·

·

·

·

·

·

·

5

제 2 절. 과제계획서 작성 목차 ·

·

·

·

·

·

·

·

·

·

·

·

·

·

·

·

·

·

·

·

·

·

·

·

·

·

·

·

·

·

·

·

·

·

·

·

·

·

·

·

·

·

·

·

·

·

·

·

·

·

·

·

·

·

·

·

·

·

·

·

·

·

·

·

·

·

·

·

·

·

·

·

·

·

·

·

·

·

·

·

·

·

·

5

제 3 절. 과제계획서 평가 지표 (안) ·

·

·

·

·

·

·

·

·

·

·

·

·

·

·

·

·

·

·

·

·

·

·

·

·

·

·

·

·

·

·

·

·

·

·

·

·

·

·

·

·

·

·

·

·

·

·

·

·

·

·

·

·

·

·

·

·

·

·

·

·

·

·

·

·

·

·

·

·

·

·

·

·

·

·

7

제 3 장. 기술적 요구사항 ·

·

·

·

·

·

·

·

·

·

·

·

·

·

·

·

·

·

·

·

·

·

·

·

·

·

·

·

·

·

·

·

·

·

·

·

·

·

·

·

·

·

·

·

·

·

·

·

·

·

·

·

·

·

·

·

·

·

·

·

·

·

·

·

·

·

·

·

·

·

·

·

·

·

·

·

·

·

·

·

·

·

·

·

·

·

·

·

·

·

·

·

·

·

·

·

·

·

·

·

8

제 1 절. 요구조건 ·

·

·

·

·

·

·

·

·

·

·

·

·

·

·

·

·

·

·

·

·

·

·

·

·

·

·

·

·

·

·

·

·

·

·

·

·

·

·

·

·

·

·

·

·

·

·

·

·

·

·

·

·

·

·

·

·

·

·

·

·

·

·

·

·

·

·

·

·

·

·

·

·

·

·

·

·

·

·

·

·

·

·

·

·

·

·

·

·

·

·

·

·

·

·

·

·

·

·

·

·

·

·

·

·

·

·

8

제 2 절. 요구사항 ·

·

·

·

·

·

·

·

·

·

·

·

·

·

·

·

·

·

·

·

·

·

·

·

·

·

·

·

·

·

·

·

·

·

·

·

·

·

·

·

·

·

·

·

·

·

·

·

·

·

·

·

·

·

·

·

·

·

·

·

·

·

·

·

·

·

·

·

·

·

·

·

·

·

·

·

·

·

·

·

·

·

·

·

·

·

·

·

·

·

·

·

·

·

·

·

·

·

·

·

·

·

·

·

·

·

·

8

제 3 절. 납품항목 목록 ·

·

·

·

·

·

·

·

·

·

·

·

·

·

·

·

·

·

·

·

·

·

·

·

·

·

·

·

·

·

·

·

·

·

·

·

·

·

·

·

·

·

·

·

·

·

·

·

·

·

·

·

·

·

·

·

·

·

·

·

·

·

·

·

·

·

·

·

·

·

·

·

·

·

·

·

·

·

·

·

·

·

·

·

·

·

·

·

·

·

·

·

·

·

·

11

제 4 절. 진도점검회의 ·

·

·

·

·

·

·

·

·

·

·

·

·

·

·

·

·

·

·

·

·

·

·

·

·

·

·

·

·

·

·

·

·

·

·

·

·

·

·

·

·

·

·

·

·

·

·

·

·

·

·

·

·

·

·

·

·

·

·

·

·

·

·

·

·

·

·

·

·

·

·

·

·

·

·

·

·

·

·

·

·

·

·

·

·

·

·

·

·

·

·

·

·

·

·

·

·

16

제 4 장. 기타 특수조건 ·

·

·

·

·

·

·

·

·

·

·

·

·

·

·

·

·

·

·

·

·

·

·

·

·

·

·

·

·

·

·

·

·

·

·

·

·

·

·

·

·

·

·

·

·

·

·

·

·

·

·

·

·

·

·

·

·

·

·

·

·

·

·

·

·

·

·

·

·

·

·

·

·

·

·

·

·

·

·

·

·

·

·

·

·

·

·

·

·

·

·

·

·

·

·

·

·

·

·

·

·

·

17

제 1 절. 연구개발수행기관의 책임 및 의무사항 ·

·

·

·

·

·

·

·

·

·

·

·

·

·

·

·

·

·

·

·

·

·

·

·

·

·

·

·

·

·

·

·

·

·

·

·

·

·

·

·

·

·

·

·

·

·

·

·

·

·

·

17

제 2 절. 개발품목 시험 ·

·

·

·

·

·

·

·

·

·

·

·

·

·

·

·

·

·

·

·

·

·

·

·

·

·

·

·

·

·

·

·

·

·

·

·

·

·

·

·

·

·

·

·

·

·

·

·

·

·

·

·

·

·

·

·

·

·

·

·

·

·

·

·

·

·

·

·

·

·

·

·

·

·

·

·

·

·

·

·

·

·

·

·

·

·

·

·

·

·

·

·

·

·

·

17

제 3 절. 제품보증 ·

·

·

·

·

·

·

·

·

·

·

·

·

·

·

·

·

·

·

·

·

·

·

·

·

·

·

·

·

·

·

·

·

·

·

·

·

·

·

·

·

·

·

·

·

·

·

·

·

·

·

·

·

·

·

·

·

·

·

·

·

·

·

·

·

·

·

·

·

·

·

·

·

·

·

·

·

·

·

·

·

·

·

·

·

·

·

·

·

·

·

·

·

·

·

·

·

·

·

·

·

·

·

·

·

17

제 4 절. 진도관리 ·

·

·

·

·

·

·

·

·

·

·

·

·

·

·

·

·

·

·

·

·

·

·

·

·

·

·

·

·

·

·

·

·

·

·

·

·

·

·

·

·

·

·

·

·

·

·

·

·

·

·

·

·

·

·

·

·

·

·

·

·

·

·

·

·

·

·

·

·

·

·

·

·

·

·

·

·

·

·

·

·

·

·

·

·

·

·

·

·

·

·

·

·

·

·

·

·

·

·

·

·

·

·

·

·

18

제 5 절. 도면관리 ·

·

·

·

·

·

·

·

·

·

·

·

·

·

·

·

·

·

·

·

·

·

·

·

·

·

·

·

·

·

·

·

·

·

·

·

·

·

·

·

·

·

·

·

·

·

·

·

·

·

·

·

·

·

·

·

·

·

·

·

·

·

·

·

·

·

·

·

·

·

·

·

·

·

·

·

·

·

·

·

·

·

·

·

·

·

·

·

·

·

·

·

·

·

·

·

·

·

·

·

·

·

·

·

·

18

제 6 절. 사업단(체계연계지원팀 등)의 기술관리 수용 ·

·

·

·

·

·

·

·

·

·

·

·

·

·

·

·

·

·

·

·

·

·

·

·

·

·

·

·

·

·

·

·

·

·

·

·

·

·

·

·

·

18

제 7 절. 해외 수출면허 규정 ·

·

·

·

·

·

·

·

·

·

·

·

·

·

·

·

·

·

·

·

·

·

·

·

·

·

·

·

·

·

·

·

·

·

·

·

·

·

·

·

·

·

·

·

·

·

·

·

·

·

·

·

·

·

·

·

·

·

·

·

·

·

·

·

·

·

·

·

·

·

·

·

·

·

·

·

·

·

·

·

·

·

·

·

·

19

제 8 절. 붙임 ·

·

·

·

·

·

·

·

·

·

·

·

·

·

·

·

·

·

·

·

·

·

·

·

·

·

·

·

·

·

·

·

·

·

·

·

·

·

·

·

·

·

·

·

·

·

·

·

·

·

·

·

·

·

·

·

·

·

·

·

·

·

·

·

·

·

·

·

·

·

·

·

·

·

·

·

·

·

·

·

·

·

·

·

·

·

·

·

·

·

·

·

·

·

·

·

·

·

·

·

·

·

·

·

·

·

·

·

·

·

·

·

·

19

      붙임#1 보안유지 서약서  ·

·

·

·

·

·

·

·

·

·

·

·

·

·

·

·

·

·

·

·

·

·

·

·

·

·

·

·

·

·

·

·

·

·

·

·

·

·

·

·

·

·

·

·

·

·

·

·

·

·

·

·

·

·

·

·

·

·

·

·

·

·

·

·

·

·

·

·

·

·

·

·

·

·

·

·

·

·

·

·

·

·

·

·

·

·

20

      붙임#2 2차원 다채널 적외선검출기 규격서 ·

·

·

·

·

·

·

·

·

·

·

·

·

·

·

·

·

·

·

·

·

·

·

·

·

·

·

·

·

·

·

·

·

·

·

·

·

·

·

·

·

·

·

·

·

·

·

·

·

·

·

·

·

·

21

      붙임#3 품질인증 요구규격 ·

·

·

·

·

·

·

·

·

·

·

·

·

·

·

·

·

·

·

·

·

·

·

·

·

·

·

·

·

·

·

·

·

·

·

·

·

·

·

·

·

·

·

·

·

·

·

·

·

·

·

·

·

·

·

·

·

·

·

·

·

·

·

·

·

·

·

·

·

·

·

·

·

·

·

·

·

·

·

·

·

·

·

·

22

      붙임#4 EMC 시험규격 ·

·

·

·

·

·

·

·

·

·

·

·

·

·

·

·

·

·

·

·

·

·

·

·

·

·

·

·

·

·

·

·

·

·

·

·

·

·

·

·

·

·

·

·

·

·

·

·

·

·

·

·

·

·

·

·

·

·

·

·

·

·

·

·

·

·

·

·

·

·

·

·

·

·

·

·

·

·

·

·

·

·

·

·

·

·

·

·

·

·

·

·

23


background image

-  3  -

제 1 장. 개요

본  제안요청서는  공모를  통하여‘2차원  다채널  적외선검출기’개발을  수행할 

업체를 선정할 목적으로 작성한다.

제 1 절. 제안요청서의 구조

가. 본 제안요청서는 제 2 장 ‘과제계획서 제출 요령’ 제 3 장 ‘기술적 요구사

항’, 제 4 장 ‘기타 특수조건’과 특수조건 등에서 요구하는 붙임의 양식 등

을 포함하며, 제 2 장에서는 제안서 제출요령 및 사업관리 등 방안 등을, 제 3 

장과 제 4 장에서는 참여업체가 수행해야 할 업무 및 조건 등을 정의한다. 

제 2 절. 본 사업의 목표

가. 연구의 목표

‘2차원 다채널 적외선검출기’개발

* Cooler & CDE는 국외개발품 적용 가능

나. 최종 성과물 및 활용 체계

구분

2차원  다채널  중적외선  검출기

2차원  다채널  원적외선  검출기

비고

모델

EM  &  QM

EM  &  QM

(설계검증용  DM  포함)

2차원  다채널  검출

기  FEE,  Cooler  & 

CDE,  EGSE  포함

개발목표

위성탑재를  위한  중적외선 

감지용  검출기  개발

위성탑재를  위한  원적외선 

감지용  검출기  개발

반응파장대역

3-5.2㎛  [TBD]

10-12.5㎛  [TBD]

배열수/픽셀피치

2048  x  2048/10㎛  [TBD]

1024  x  1024/20㎛  [TBD]

선형도

+/-  5%

+/-  5%

최소분해가능 

온도차  (NETD)

≤  25mK(@80K)[TBD]

≤  35mK(@65K)[TBD]

최종성과물

목표  체계

성과활용방안

지구관측위성  탑재용 
중적외선검출기,  원적
외선  검출기  인증  모델
(QM)  개발  및  인증

[최초  적용  체계]
‘29년  발사예정인  우주과학검증위성
’29년  발사예정인  차세대  정지궤도위성
에  탑재(해양환경)
[이후  적용  체계]
후속  조기경보위성(~`32년)  (미정)  탑재
확보된  기술을  반영하여  차세대중형위성
(~`34년)  (미정)에  탑재

지구관측을  위한  광학위성의  주요  핵
심부품으로  전자광학탑재체에  적용


background image

-  4  -

제 3 절. 주요 용어 및 약자

◯ 기술자료 : 메모, 서신, 영상 및 음성 기록물, 사진, 설계, 컴퓨터 S/W, 

              공정(절차)서 및 계약서 등 일체의 자료 및 정보

◯ KARI

Korea Aerospace Research Institute

◯ EOS

Electro-Optical Subsystem

◯ COC

Certificate of Conformity

◯ DR

Design Review

◯ ICD

Interface Control Drawing 또는 Document

◯ MRR

Manufacturing Readiness Review

◯ NCR

Non Conformance Record

◯ KIP

Key Inspection Point

◯ MIP

Mandatory Inspection Point

◯ SCD

Source Control Drawing

◯ TBD

To Be Determined

◯ TBR

To Be Resolved

◯ TBC

To Be Confirmed

◯ TRR

Test Readiness Review

◯ PTR

Post Test Review

◯ S/C Bus

Spacecraft Bus

◯ EDC  

Effective Date of Contract 

◯ ECO 

Engineering Change Order

◯ KO 

Kick Off Meeting

◯ SRR

System Requirement Review

◯ SDR

System Design Review

◯ PDR 

Preliminary Design Review

◯ CDR 

Critical Design Review

◯ MRR 

Manufacturing Readiness Review

◯ PTR 

RCT K10 Post-Test Review


background image

-  5  -

제 2 장. 과제계획서 제출 요령

제 1 절. 작성 과제계획서 양식

붙임의 ‘2021년 국책연구본부 신규 계획서 양식’에 작성하되, 참여기업은 

사업의 추진 구조에 따라 각각 총괄, 세부, 위탁, 단위 과제계획서를 제출하

여야 한다.

<참고> 컨소시엄 구성 시

총괄 계획서 

(공통격벽 추진제 탱크 개발)

세부 

1

세부 

2

위탁 

1

기관 

A

기관 

B

기관 

C

<참고> 단독 기업/기관 제안 시

단위계획서 

(공통격벽 추진제 탱크 개발)

위탁 

1

위탁 

2

위탁 

3

기관 

A

기관 

B

기관 

C

제 2 절. 과제계획서 작성 목차

과제계획서는  2021년  국책연구본부  신규  계획서  양식을  기준으로  하여  아

래에서 명시한 각각의 세부 항목은 모두 포함하여야 한다.

1. 연구개발과제의 필요성
2. 연구개발과제의 목표 및 평가 기준, 설정 근거
3. 연구개발과제의 내용, 추진체계 및 일정

1) 연구개발과제의 내용

- 총괄과제 개발 대상 설계 및 세부 개발안

(요구조건에 대한 Compliance Matrix 포함)

- 검증계획
- 업무 범위 (RFP 제3장 제3절의 납품목록 포함)


background image

-  6  -

- 제작, 조립 및 시험 계획
- 공정 및 품질관리 방안

2) 연구개발과제의 추진체계

- 사업관리 방안
- 사업실패 대응계획 (Back-up Plan)
- 품질인증 체계
- 우주급 부품 (구성품) 조달계획 (구매관리)
- 중점관리품목 및 위험요소 관리 방안
- 자체개발분야 기술의 세부개발안
- 하청생산 및 위탁 연구 계획 (필요시)

3) 추진 일정 (아래 일정 포함)

- SRR (System Requirement Review)
- SDR (System Design Review)

- PDR (Preliminary Design Review)
- CDR (Critical Design Review)
- MRR (Manufacturing Readiness Review)
- EM PTR(Post-Test Review)
- QM PTR(Post-Test Review)

4. 연구개발성과의 활용방안 및 기대효과

1) 연구개발성과의 활용방안
2) 연구개발성과의 기대효과

5. 연구수행역량 (연구개발기관 현황 및 역량 포함)
6. 연구개발비 사용에 관한 계획
7. 연구개발 안전 및 보안조치 이행계획
8. 연구개발성과의 사업화 전략 및 계획


background image

-  7  -

제 3 절. 과제계획서 평가 지표 (안)

평가항목

평가 주안점

배점

연구계획

(30)

연구주제안내서(RFP)와의 부합성

10

연구목표의 명확성 및 달성 가능성(타당성)

10

연구내용 및 추진체계의 합리성 (컨소시엄 구성 적절성 확인 포함)

10

체계연계성

(30)

체계연계를 위한 중점기술개발 방안 및 구체성

∘체계연계를  위한  성능  만족  개발방안의  구체성  등

15

체계연계를 위한 계획의 구체성

∘체계연계에  대한  리스크  식별  및  대응방안이  우수한가?

15

연구역량

(20)

참여기관 실적의 우수성,  적합성 및 수행능력 평가

10

참여기관의 재무 건정성 및 신뢰성

5

참여연구원 구성의 적절성

5

결과활용

(20)

연구결과 활용가능성 및 파급효과

10

연구결과의 실용성 및 적용방안의 구체성

10

100


background image

-  8  -

제 3 장. 기술적 요구사항

제 1 절. 요구조건

본  제안  요청서의 붙임#2와  붙임#5의 요구조건에  근거하여  설계, 세부  개발안

과 Compliance Matrix와 Verification Matrix를 작성한다. 

붙임#2“2차원 다채널 적외선검출기 규격서 (SPPO-SP-302-000_Multi-band IRFPU 

Specification_Rev00.docx)”

붙임#3“품질인증 요구규격 (General Unit Product Assurance Requirements)”

제 2 절. 요구사항

가. 성능 요구조건

붙임#2“2차원 다채널 적외선검출기 규격서 (SPPO-SP-302-000_Multi-band IRFPU 

Specification_Rev00.docx)”참조

나. 개발요구사항

붙임#2“2차원 다채널 적외선검출기 규격서 (SPPO-SP-302-000_Multi-band IRFPU 

Specification_Rev00.docx)”참조


background image

-  9  -

다. 연차별 목표 및 평가지표 (예시)

□ 연차별 목표

12

2차원  다채널  적외선  검
출기
(’21년  ~  ’26년)

1차년도

2차원  다채널  중적외선  검출기  기본  설계
2차원  다채널  중적외선  검출기  부품레벨/공정  인증시험  준비
2차원  다채널  원적외선  검출기  개념  설계

2차년도

2차원  다채널  중적외선  검출기/구동전자부  EM  개발
2차원  다채널  중적외선  검출기  부품레벨/공정  인증시험
2차원  다채널 원적외선  검출기/구동전자부  기본설계(DM개발)

3차년도

2차원  다채널  중적외선  검출기/구동전자부  QM  개발
2차원  다채널  원적외선  검출기/구동전자부  설계  검증 
2차원  다채널  원적외선  검출기  부품레벨/공정  인증시험  준비 

4차년도

2차원  다채널 중적외선  검출기/구동전자부  우주환경  인증시험
2차원  다채널  원적외선  검출기/구동전자부  EM  개발 
2차원  다채널  원적외선  검출기  부품레벨/공정  인증시험

5차년도

2차원  다채널  원적외선  검출기/구동전자부  QM  개발

6차년도

2차원  다채널 원적외선 검출기/구동전자부 우주환경 인증시험
QM  이후  체계연계를  고려한  FM급  계획(안)  수립 

□ 연차별 평가지표

평가항목

가중치

(%)

연차

연차별  목표  (조건/환경)

12.  2차원  다채널  적외선  검출기(’21년  ~  ’26년)

(정성) 
2차원  다채널 
중적외선  검출기 
QM급  모델  개발

20

1차년도

(2021년)

2차원  다채널  중적외선  검출기  기본  설계
(요구사항  도출/광학성능  분석/초점면어레이  및  리드아웃 
집적회로  기본설계)
2차원  다채널  중적외선  검출기  부품레벨/공정  인증시험  준비

2차년도

(2022년)

2차원  다채널  중적외선  검출기  공학모델  개발
(중적외선  검출기,  냉각기(구동부),  구동전자부,  듀어  패키기 
개발)

3차년도

(2023년)

2차원  다채널  중적외선  검출기  인증모델  개발
(중적외선  검출기,  냉각기(구동부),  구동전자부,  듀어  패키기 
개발)

4차년도

(2024년)

2차원  다채널  중적외선  검출기  우주환경  인증시험 
(우주방사선/충격/진동/열진공/전자파  환경시험  수행)

5차년도

(2025년)

“당해년도  계획없음”

6차년도

(2026년)

“당해년도  계획없음”

(정량) 
2차원 

다채널 

중적외선검출기 
초점면배열,  파
장대역  및  NETD

30

1차년도

(2021년)

“당해년도  계획없음”

2차년도

(2022년)

중적외선  검출기  공학모델에  대한  기능/성능시험  수행 
(초점면배열,  파장대역  및  선형도,  NETD  확인,  방사선
조사에  따른  성능  변화  )
중적외선  검출기  부품레벨/공정  인증시험


background image

-  10  -

 

평가항목

가중치

(%)

연차

연차별  목표  (조건/환경)

3차년도

(2023년)

중적외선  검출기  인증모델에  대한  기능/성능시험  수행 
(초점면배열,  파장대역  및  선형도  확인)

4차년도

(2024년)

중적외선  검출기  인증모델의  우주환경  인증시험에  의한 
기능/성능변화  확인  (초점면배열,  파장대역,  선형도, 
NETD  변화)

5차년도

(2025년)

“당해년도  계획없음”

6차년도

(2026년)

“당해년도  계획없음”

(정성)
2차원 

다채널 

원적외선검출기 
QM급  모델  개발

20

1차년도

(2021년)

2차원  다채널  원적외선검출기  개념설계

(적외선검출기  시스템  개념설계  및  요구사항  도출)

2차년도

(2022년)

2차원  다채널  원적외선검출기  기본설계(DM  개발)

(광학성능  분석/초점면어레이  및  리드아웃  집적회로  기본설계)

3차년도

(2023년)

2차원  다채널  원적외선검출기  설계검증

(원적외선검출기,  냉각기(구동부),  구동전자부,  듀어  패키기 
개발)
2차원  다채널  원적외선  검출기  부품레벨/공정  인증시험  준비 

4차년도

(2024년)

2차원  다채널  원적외선검출기  공학모델  개발

(원적외선검출기,  냉각기(구동부),  구동전자부,  듀어  패키기 
개발)

5차년도

(2025년)

2차원  다채널  원적외선검출기  인증모델  개발

(원적외선검출기,  냉각기(구동부),  구동전자부,  듀어  패키기 
개발)

6차년도

(2026년)

2차원  다채널  적외선  검출기  우주환경  인증시험 
(우주방사선/충격/진동/열진공/전자파  환경시험  수행)

(정량) 
2차원 

다채널 

원적외선검출기 
초점면배열,  파
장대역  및  NETD

30

1차년도

(2021년)

“당해년도  계획없음”

2차년도

(2022년)

“당해년도  계획없음”

3차년도

(2023년)

원적외선  검출기  개발모델의  기능/성능시험  수행  (초점
면배열,  파장대역  및  선형도,  NETD  확인)

4차년도

(2024년)

원적외선  검출기  공학모델에  대한  기능/성능시험  수행 
(초점면배열,  파장대역  및  선형도  확인,  방사선조사에 
따른  성능  변화  )
원적외선  검출기  부품레벨/공정  인증시험

5차년도

(2025년)

원적외선  검출기  인증모델에  대한  기능/성능시험  수행 
(초점면배열,  파장대역  및  선형도  확인)

6차년도

(2026년)

원적외선  검출기  인증모델의  우주환경  인증시험에  의한 
기능/성능변화  확인  (초점면배열,  파장대역  및  선형도 
변화)

소계

100


background image

-  11  -

□ 평가항목의 설정 근거

평가항목

목표  설정근거 

(정성) 
2차원 

다채널 

광 대 역 ( 중 - 장
적외선)  감지용 
적외선  검출기 
QM  개발

광학위성의  관측스펙트럼이  넓어짐에  따라,  중적외선  뿐만  아니라  열  영상  획
득에  효과적인  장파장  적외선  검출기의  탑재는  필수이며,  다채널  광대역  감지
용  적외선  검출기  QM개발은  중파장  및  장파장  적외선  검출기  칩  개발뿐만  아
니라  우주환경  하에서의  적외선  검출기  구동을  위한  듀어,  냉각기,  구동전자
부  등을  개발하는  것이  핵심임.

(정량) 
적 외 선 검 출 기 
파장대역 

및 

선형도

3~5μm  중파장  적외선  영역과  열  영상  획득에  효과적인  10~12μm  장파
장  적외선  대역의  다채널  검출기로  2048  X  2048  pixel[TBD]크기의 
25mK  이상의  최소분해가능온도차와  1024  X  1024  pixel[TBD]크기의 
35mK  이상의  최소분해가능온도차를  갖는  검출기는  위성의  임무를  수행하
기  위한  필수적인  기술임.

라. 시험검증방안

ᄋ  QM의  경우  한국항공우주연구원의  우주환경시험실  활용*
-  우주  인증을  위한  충격,  진동,  열진공  시험,  전자파  환경시험  등을  수행
-  정지궤도/저궤도  위성의  우주환경  규격에  대한  검증  수행
ᄋ  IDDCA  QM의  방사선  환경시험은  국내/외  가속기  시험시설  활용
-  개발된  검출기에  대한  방사선  환경시험  수행
-  유럽우주국의  ECSS-9020의  방사선  환경  규격에  대한  검증  수행
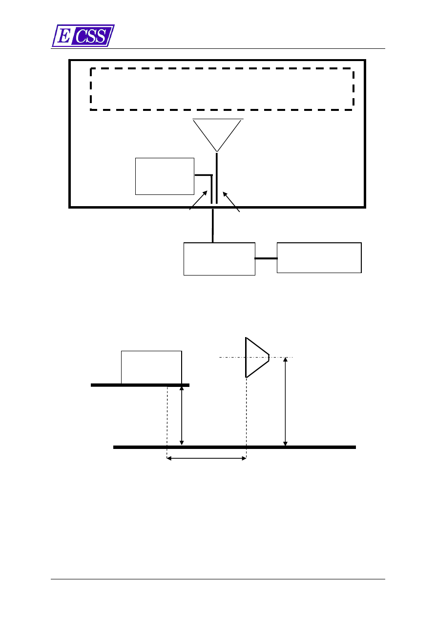
ᄋ  검출기  QM의  우주  인증  시험
-  개발된  검출기에  대하여  유럽우주국의  ECSS-9020  시험  규격에  대한  검증  수행

*  QM의  경우  한국항공우주연구원의  우주환경시험실  활용을  우선  권고하나  연구일정  준수  등을 

고려  시  주관  개발  기관의  제안도  가능함

제 3 절. 납품항목 목록

가. 납품문서 목록

※ D: Draft, P: Preliminary, F: Final for documents,

A: Approval, R: Review, I: Investigation for acceptance criteria.

※ 단, 계약업체는 설계 및 제작 기간 중에 필요시 항우연 요청에 따라 수시

로 문서(최종 문서가 아니어도 됨)를 제공해야 함.

문서번호

문서 제목

제출기일

Program Management

SPPO-XXX-PN-01

Development Management Plan

P-EDC+1M, R-As required

SPPO-XXX-PN-02

Monthly Schedule Reports

Monthly

SPPO-XXX-PN-03

Monthly Progress Reports

Monthly


background image

-  12  -

문서번호

문서 제목

제출기일

Program Assurance

SPPO-XXX-PA-01

Product Assurance Plan

F-EDC+2M

SPPO-XXX-PA-02

XXXPU Verification Plan

P-SRR, R-As revised, F-CDR

SPPO-XXX-PA-03

Manufacturing Flow Diagram

P-SRR, R-As revised, F-CDR

SPPO-XXX-PA-04

Reliability Prediction Report

P-SDR, R-As revised, F-CDR

SPPO-XXX-PA-05

Part Identification List

P-SDR, R-As revised, F-CDR

SPPO-XXX-PA-06

Part Approval Document

As generated

SPPO-XXX-PA-07

Wafer Lot Acceptance Report

PSR

SPPO-XXX-PA-08

Special In-process Controls Report

PSR

SPPO-XXX-PA-09

Photo Identification Report

PSR

SPPO-XXX-PA-10

Screening & Qualification Report

PSR

SPPO-XXX-PA-11

Acceptance Test Report

TRB, PSR

SPPO-XXX-PA-12

Verification Report

PSR

SPPO-XXX-PA-13

End Item Data Package

PSR

SPPO-XXX-PA-14

Assurance Status Report

P-SDR, R-As revised, F-CDR

SPPO-XXX-PA-15

Verification Specification

P-SDR, R-As revised, F-CDR

SPPO-XXX-PA-16

Fabrication and Assembly Flow Plan

P-SDR, R-As revised, F-CDR

SPPO-XXX-PA-17

Inspection and Test Record

P-SDR, R-As revised, F-CDR

SPPO-XXX-PA-18

Limited Life Item List

P-SDR, R-As revised, F-CDR

SPPO-XXX-PA-19

Reliability Prediction

P-SDR, R-As revised, F-CDR

SPPO-XXX-PA-20

FMECA

P-SDR, R-As revised, F-CDR

SPPO-XXX-PA-21

Critical Item List

P-SDR, R-As revised, F-CDR

SPPO-XXX-PA-22

Part Stress Analysis

P-SDR, R-As revised, F-CDR

SPPO-XXX-PA-23

Worst case Analysis

P-SDR, R-As revised, F-CDR

SPPO-XXX-PA-24

Parameter Trend Analysis

P-SDR, R-As revised, F-CDR

SPPO-XXX-PA-25

Justification for Derating Rules

P-SDR, R-As revised, F-CDR

SPPO-XXX-PA-26

Materials Identification List

P-SDR, R-As revised, F-CDR

SPPO-XXX-PA-27

Process List

P-SDR, R-As revised, F-CDR

SPPO-XXX-PA-28

MUA with the following documents;

- Material and/or process 

specifications

- Evaluation plan and/or report

P-SDR, R-As revised, F-CDR

SPPO-XXX-PA-29

Contamination Control Plan

P-SDR, R-As revised, F-CDR

SPPO-XXX-PA-30

Contamination Analysis Plan

P-SDR, R-As revised, F-CDR

SPPO-XXX-PA-31

Contamination Budget Report

P-SDR, R-As revised, F-CDR

SPPO-XXX-PA-32

EEE Part Plan

P-SDR, R-As revised, F-CDR

SPPO-XXX-PA-33

Part Identification List

P-SDR, R-As revised, F-CDR

SPPO-XXX-PA-34

PAD

P-SDR, R-As revised, F-CDR

SPPO-XXX-PA-35

Part Specification

P-SDR, R-As revised, F-CDR

SPPO-XXX-PA-36

DPA Procedure and Report

P-SDR, R-As revised, F-CDR

SPPO-XXX-PA-37

Radiation Assessment Report

P-SDR, R-As revised, F-CDR

SPPO-XXX-PA-38

Part Evaluation Plan and Report

P-SDR, R-As revised, F-CDR

SPPO-XXX-PA-39

User’s Manual

P-SDR, R-As revised, F-CDR

SPPO-XXX-PA-40

Safety Assessment Report

P-SDR, R-As revised, F-CDR

SPPO-XXX-PA-41

M&P Plan

P-SDR, R-As revised, F-CDR

SPPO-XXX-PA-42

M&P Identification List

P-SDR, R-As revised, F-CDR

SPPO-XXX-PA-43

RFA

P-SDR, R-As revised, F-CDR

SPPO-XXX-PA-44

M&P Specification

P-SDR, R-As revised, F-CDR


background image

-  13  -

문서번호

문서 제목

제출기일

SPPO-XXX-PA-45

M&P Evaluation Plan and Report

P-SDR, R-As revised, F-CDR

SPPO-XXX-PA-46

Software Assurance Plan

P-SDR, R-As revised, F-CDR

SPPO-XXX-PA-47

Software List

P-SDR, R-As revised, F-CDR

SPPO-XXX-PA-48

Budget Analysis of Resource

P-SDR, R-As revised, F-CDR

SPPO-XXX-PA-49

Software Test Plan and Report

P-SDR, R-As revised, F-CDR

SPPO-XXX-PA-50

Software Maintenance Plan

P-SDR, R-As revised, F-CDR

System Engineering

SPPO-XXX-SE-01

XXXPU Specification

P-SRR, R-As revised, F-CDR

SPPO-XXX-SE-02

Design Review Data Package

Kick-off

1. SRR (System Requirement Review)

2. SDR (System Design Review)

3. PDR (Preliminary Design Review)

4. CDR (Critical Design Review)

5. TRR (Test Readiness Review)

6. TRB (Test Review Board)

7. EM PSR (Pre-shipment Review)

8. QM PSR (Pre-shipment Review)

9. FM PSR (Pre-shipment Review)

Design Review

SPPO-XXX-SE-03

Design Review Report

After Design Review

SPPO-XXX-SE-04

Performance Analysis Report

P-SDR, R-As revised, F-CDR

SPPO-XXX-SE-05

Structure Analysis Report

P-SDR, R-As revised, F-CDR

SPPO-XXX-SE-06

Thermal Analysis Report

P-SDR, R-As revised, F-CDR

SPPO-XXX-SE-07

Radiation Analysis Report

P-SDR, R-As revised, F-CDR

SPPO-XXX-SE-08

Timing Simulation Report

P-SDR, R-As revised, F-CDR

SPPO-XXX-SE-09

Infrared Detector Design Description

P-SDR, R-As revised, F-CDR

SPPO-XXX-SE-10

XXX Design Description

P-SDR, R-As revised, F-CDR

SPPO-XXX-SE-11

Electrical Interface Control Document

P-SDR, R-As revised, F-CDR

SPPO-XXX-SE-12

Mechanical Interface Control 

Document

P-SDR, R-As revised, F-CDR

SPPO-XXX-SE-13

Thermal Interface Control Document

P-SDR, R-As revised, F-CDR

SPPO-XXX-SE-14

Drawing Tree

P-SDR, R-As revised, F-CDR

SPPO-XXX-SE-15

Mechanical Engineering Drawing

P-SDR, R-As revised, F-CDR

SPPO-XXX-SE-16

Electrical Engineering Drawing

P-SDR, R-As revised, F-CDR

SPPO-XXX-SE-17

Thermal model and report

P-SDR, R-As revised, F-CDR

SPPO-XXX-SE-18

3D CAD model (STEP file format)

P-SDR, R-As revised, F-CDR

SPPO-XXX-SE-19

Structure FEM model (Nastran format) 

and report

P-SDR, R-As revised, F-CDR

SPPO-XXX-SE-20

XXXPU Cleaning Procedure

P-SDR, R-As revised, F-CDR

SPPO-XXX-SE-21

Geometrical Measurement Report

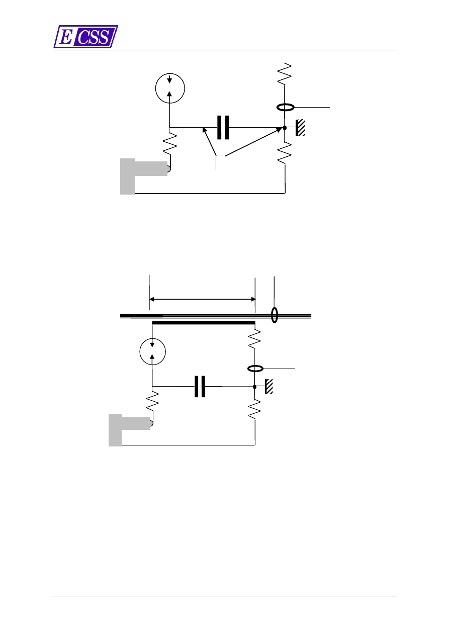
10. Mechanical and optical references

11. Flatness

12. Die alignment

13. Pixel location

14. Optical distance between image 

plane and window

P-TRB, F-PSR

SPPO-XXX-SE-22

Electro-optical Measurement Report

P-TRB, F-PSR


background image

-  14  -

※ 상기 납품문서는 사업단과 세부과제 주관기관의 협의 하에 조정될 수 있음. 

   또한, 작성 및 관리방법에 대해서는 사업단에서 지원/협력할 수 있음.

문서번호

문서 제목

제출기일

SPPO-XXX-SE-23

Electrical Measurement Report

P-TRB, F-PSR

SPPO-XXX-SE-24

Operation Manual

P-SDR, R-As revised, F-CDR

SPPO-XXX-SE-25

Part Identification List

P-SDR, R-As revised, F-CDR

SPPO-XXX-SE-26

PAD with the following documents;

- Part specification

- Evaluation plan and/or report

P-SDR, R-As revised, F-CDR

SPPO-XXX-SE-27

Mass Property Report

P-SDR, R-As revised, F-CDR

SPPO-XXX-SE-28

Power Budget Analysis Report

P-SDR, R-As revised, F-CDR

SPPO-XXX-SE-29

EMI/EMC Analysis Report

P-SDR, R-As revised, F-CDR

SPPO-XXX-SE-30

Design Description for XXXPU 

software

P-SDR, R-As revised, F-CDR

System Handling & Transportation

SPPO-XXX-SH-01

Transportation, Storage Plan and 

Requirement

P-CDR, F-PSR

SPPO-XXX-SH-02

Photos taken at the level of board 

level assembly

F-PSR

 System Test

SPPO-XXX-ST-01

Qualification and Acceptance Test 

Plan

P-SDR, F-CDR

SPPO-XXX-ST-02

Qualification and Acceptance Test 

Procedure

4 weeks before ATP

SPPO-XXX-ST-03

Qualification  and  Acceptance  Test 

Data

(including cal. Curve for analog 

signal)

2 weeks after ATP

SPPO-XXX-ST-04

Qualification and Acceptance Test 

Report

2 weeks after ATP

SPPO-XXX-ST-05

EMI/EMC test procedure

P-CDR, R-as generated

SPPO-XXX-ST-06

EMI/EMC test data

P-CDR, R-as generated

SPPO-XXX-ST-07

Procedure for integration and 

alignment of XXXPU at satellite level

P-SDR, R-As revised, F-CDR

SPPO-XXX-ST-08

On-orbit verification and correction 

Procedure

P-SDR, R-As revised, F-CDR

 System Operation

SPPO-XXX-SO-01

XXX Command and Telemetry 

Handbook

P-SDR, R-As revised, F-CDR

SPPO-XXX-SO-02

Operational Handbook and Manual

(including treatment of ignition 

material)

P-SDR, R-As revised, F-CDR

SPPO-XXX-SO-03

Description of XXXPU Simulator

P-SDR, R-As revised, F-CDR


background image

-  15  -

나. 하드웨어 개발 목록 (일정은 제안서 제출시 변경제안 가능)

□ 2차원 다채널 중적외선 검출기

No

Item

Quantity

Delivery Date

Notes

1

IRFPU EM

1 set

EDC +  months

2

IRFPU QM

1 set

EDC +  months

3

MGSE

1 set

EDC +  months

EDC +  months

4

EGSE

1 set

EDC +  months

EDC +  months

5

Test 

Harnesses

1 set

EDC +  months

For EM & QM

□ 2차원 다채널 원적외선 검출기

No

Item

Quantity

Delivery Date

Notes

1

IRFPU EM

1 set

EDC +  months

2

IRFPU QM

1 set

EDC +  months

3

MGSE

1 set

EDC +  months

EDC +  months

4

EGSE

1 set

EDC +  months

EDC +  months

5

Test 

Harnesses

1 set

EDC +  months

For EM & QM

※ MGSE, EGSE, Test Harness 규격과 개발상세는 협약 후 사업단과 협의하여 결

정함


background image

-  16  -

제 4 절. 진도점검회의

아래의  주요  진도점검회의는  본  사업  연구개발성과의  체계연계를  위해  필수적

으로 판단되는 사항이며, 아래 진도점검회의 외에도 스페이스파이오니어사업단 및 

관련 부처, 연구재단 및 연구개발수행기관의 요구발생 시 수시로 설계 및 개발경

과 관련 회의가 개최되어야 한다.

동시에 연구개발수행기관은 매달 사업단에 연구개발진도 보고서를 제출한다.

□ 주요일정

- SRR (System Requirement Review)

- SDR (System Design Review)

- PDR (Preliminary Design Review)

- CDR (Critical Design Review)

- MRR (Manufacturing Readiness Review)

- EM PTR (Post-test Readiness Review)

- QM PTR (Post-test Readiness Review)

□ 사업 주요일정 (일정은 제안서 제출시 변경제안 가능)

사업기간

사업일정

예정일 (TBD)

비고

2021.9.1.-

2024.12.31

(2차원 다채널 

중적외선검출기)

EDC

TBD

SRR

EDC + 1 months

PDR

EDC + 6 months

CDR

EDC +  months

EM PSR

EDC +  months

QM MRR

EDC +  months

QM TRR

EDC +  months

QM PSR

EDC +  months

2021.9.1.-

2026.12.31

(2차원 다채널 

원적외선검출기)

EDC

TBD

SRR

EDC + 1 months

PDR

EDC + 6 months

CDR

EDC +  months

EM PSR

EDC +  months

QM MRR

EDC +  months

QM TRR

EDC +  months

QM PSR

EDC +  months

※ EDC : Effective Date of Contract, 협약일

※ 항우연이나 업체의 요구발생 시 수시로 설계 및 개발경과 관련 미팅 수행


background image

-  17  -

제 4 장. 기타 특수조건

본 제안요청서의 붙임#2와 본 장에서 언급하는 것에 상충하는 것이 있다면 본 

장의 내용이 우선한다.

제 1 절. 연구개발수행기관의 책임 및 의무사항

- 연구개발수행기관은 주요 제작 공정 및 품목을 사진(연도/월/일 포함) 혹은 동

영상으로 기록하여 유지한다.

제 2 절. 개발품목 시험

-  연구개발수행기관은  본  사업의  과제제안요청서에  언급된  “개발”품목의  검

증시험을 도면에 명기하여 수행해야 한다.

-  단, 검증시험 방법에 이견이 있을 시,  개발수행기관이 제시하는 방법이 당초 

제안요청서에서 요구하는 방법과 차이가 없음을 입증해야 한다.

- 연구개발수행기관은 수용 가능한 경우 사업단에서 요구하는 검증시험을 추가

비용 없이 수행하고, 수행 후 2주일 내에 시험 결과를 사업단에 제출해야 한

다. 요구성능 미달 시, 이에 대한 기술회의를 사업단과 수행한 후 제시된 개

선책에 따라 재시험을 수행해야 한다. 

- 모든 검증시험 경우, 계획서는 사전에 사업단의 승인을 득해야한다. 연구개발

수행기관의 시험 항목 및 방법 변경 시는 사업단과 서면 협의 후 새로운 방

법에 대한 검증이 선행되어야 한다.

- 이러한 검증시험은 연구개발수행기관에 의해 수행되거나 “연구개발수행기관

과 계약을 맺은 전문 시험기관에 의하여 수행될 수 있으며, 이 경우 사업단이 

지정한 검사원이 입회할 수 있다.

- 본 제안요청서에서 요구하는 계획 이외의 환경시험은 협의하여 수행한다.

제 3 절. 제품보증

-  연구개발수행기관은  사업단의  제품보증요구조건(Products  Assurance  Requirements, 

이하  “PAR”)  및  사업단의  승인을  받은  연구개발수행기관의  제품보증계획서

(Product Assurance Program Plan, 이하 “PAPP”)를 준수하여 “개발”된 납품품

목을 납품해야 한다.

- 연구개발수행기관은 “PAR” 및 “PAPP”에 따라 제품보증 활동을 수행해야 


background image

-  18  -

하며, 이에 적합한 조직과 인력을 구성해야 한다. 

- 사업단은 연구개발수행기관 혹은 연구개발수행기관의 외주업체에 대한 제품보증 활

동을 주기적으로 확인 및 감독 할 수 있으며, 필요시 시정 조치를 요구할 수 있다.

-  사업단이  연구개발수행기관  혹은  연구개발수행기관의  외주업체에  대한  품질

확인(MIP: Mandatory Inspection Point 포함)을 실시하는 경우, 연구개발수행기

관은 사업단이 요구하는 모든 필요한 지원을 제공해야 하며, 품질확인에 대한 

승인을 득해야 한다.  

- 연구개발수행기관은 “PAPP”에 따른 전 과정 및 납품품목의 품질에 대한 최

종 책임을 진다.

제 4 절. 진도관리

- 연구개발수행기관은 계약 완료일까지 개발에 대한 진도보고서(일정계획 포함)

를 매월 사업단에게 제출해야 한다.

- 연구개발수행기관은 위 제3장 제4절 진도점검 회의 일정에 따라 진도검검 회

의를 개최해야 한다.

- 연구개발수행기관은 사업단의 요구에 따라 주간, 격주 혹은 월간 단위로“개

발”회의를 진행하고 사업단의 요구에 따라 관련 자료를 제출해야 한다.

-  사업단은 필요하다고 판단되는 시기에 연구개발수행기관에 대한 실사를 실시할 

수 있으며, 실사결과에 따라 필요시에는 연차평가 및 차년도 협약에 반영한다.

제 5 절. 도면관리

-  “연구개발수행기관은  “개발”에  관련된  모든  도면이  제작  시작  전  사업단

의 서면 승인이 완료되도록 지원해야 한다.

-  연구개발수행기관에  의하여  생성되는  도면은  사업단에  의한  “도면작성방

법”,  “도면  작성  및  배포  절차”  및  “도면번호”  등을  따르며,  사업단의 

형상관리  절차에  따라  사업단의  CDMO(Configuration  Data  Management 

Office)에 등록한다.

-  또한, 연구개발수행기관은 “PAPP”에 따른 자체 도면관리 체계를 갖추어야 한다.

제 6 절. 사업단(체계연계지원팀 등)의 기술관리 수용

  - 사업단(체계연계지원팀 등)의 세부 개발 사양 검토 및 요건이 반영되도록 하여야 함

  - 사업단(체계연계지원팀 등)이 지정한 연구진 출입 및 관련 자료, 연구성과물 등의 


background image

-  19  -

열람을 보장하고, 기술관리가 수행될 수 있도록 지원하여야 함

    ※ 연구개발계획서 내 기술관리를 수용할 수 있는 추진 계획을 제시하여야 함

  - 최종 연구성과물의 활용도 제고를 위하여, 후속 체계사업과 관련된 제반사항(시험 

등) 지원 등을 성실히 수행하여야 함

제 7 절. 해외 수출면허 규정

본 사업의 개발품은 해외 수출면허 규정의 제한을 받지 않도록 개발하여야 함. 

개발 특성상 해외 수출면허 부품사용이 불가피할 경우 이후 개발을 위한 대안이

나 대비계획을 제시하여야 함 

제 8 절. 붙임

붙임은 본 제안요청서의 일부로 본다.


background image

-  20  -

붙임#1. 보안유지 서약서

관    련 : 2021년도 스페이스파이오니어사업 세부과제 선정 관련 

     기술문서 습득

과 제 명 : 

                                                      2021년    월   일

수 령 기 관 :

       (인)

수 령 자 : 

(인)

 수령자 및 수령기관(이하 수령인)은 2021 스페이스파이오니어사업의 세

부과제 선정과 관련된 제안요청서에 부속한 기술문서를 수령함에 있어, 본 

기술문서들이 보안 및 재산적 정보로 간주됨을 인정하고 동의합니다. 본 

기술문서의 수령 목적은 오로지 2021 스페이스파이오니어사업의 세부과제

에 선정되기 위함이며, 수령인은 본 기술문서 상의 정보 및 검토과정에서 

습득한 모든 정보와 지식을 자신의 재산적 정보를 보호하는 관리수준과 동

일한 정도로 타인에게 누설되지 않도록 보호하여야 함을 인정하고 동의합

니다. 수령인은 스페이스파이오니어사업단(이하 사업단)의 사전 서면 승인 

없이 기술문서를 상기 관련에서 규정한 목적이외에는 사용할 수 없음을 인

정하고 동의합니다. 본 기술문서 뿐 아니라 이에 기반하여 복사 또는 복제

로 창출된 모든 기술적 정보는 사업단의 소유이며 세부과제 선정 과정 이

후, 사업단의 서면 요청 시점으로부터 30일 이내에 수령인의 선택에 의하

여 즉각 사업단에 반환되거나 파기되어야 하며, 파기의 경우 수령인은 상

기 서면 요청일로부터 30일 이내에 동 요청을 이행하였다는 서면 확인서를 

사업단에 제공하여야 함에 동의합니다. 

보안유지 서약서


background image

-  21  -

붙임#2. 2차원 다채널 적외선검출기 규격서(2D Multi-band 

IRFPU Specification) 

- 별도문서 : SPPO-SP-302-000_Multi-band IRFPU Specification_Rev00.docx 참조

            SPPO-SP-320-001  Space  Pioneer  Program  Environmental  Design 

and Test Requirement Specification(환경시험 규격) 참조

* 상세기술자료는 스페이스파이오니어사업단(한국항공우주연구원 내)에 방문, 보안서약서(붙임#1

참조) 오프라인 제출 이후 직접 수령 가능


background image

-  22  -

붙임3. 품질인증 요구규격 (General Unit Product 

Assurance Requirements)

- 별도문서 : SPPO-D0-800-002 D.00, General Unit PAR.doc


background image

 
 

Distribution  Limitation  (무단복사  배포금지),  KARI  Proprietary  Data  :  The  data  contained  in  this  document,  without  the 
permission of KARI, will not be used or disclosed for any purpose other than Space Pioneer Program. The data subject to 
this restriction is contained on all pages. 

 

Korea Aerospace Research Institute   
Space Pioneer Program Office 
169-84 Gwahak-ro, Yuseong-gu, Daejeon, 34133,   
Republic of KOREA 

 

 

 

 
 

Space Pioneer Program 

Product Assurance Requirements   

for General Unit 

 
  Date: 15 April 2021   

Doc. No: SPPO-D0-800-002 

 

Issue: D.00 

 

Total page: 93

 

 
 

Superseding    N/A 

 
 

 
 
 

 

Prepared By:   
 
 
 

 
 

 

You gwang Kim                          DATE 

 

Product Assurance, Space pioneer program 

 

 

 

Reviewed by: 

 

 

 

 

 

 

 

 

 

 

 

Seo yoon Lee   

 

DATE

 

 

Woo jun Lee   

 

DATE

 

Reliability Engineer   

 

EEE Part Engineer 

 

 

 

 

 

 

 

 

 

Chang-Ho Lee   

 

DATE

 

 

Phil soo Kim   

DATE

 

Contamination Engineer 

 

M&P Engineer 

 

 

 

 

 

 

 

 

 

                                      DATE 

 

                                        DATE 

       

 

   

 

 

 

 

 

 

 

 

 

Approval Signature: 

 

 

 

 

 

 

 

 

 

 

 

Guen Young Park     

DATE

 

 

Sang soon Yong 

 

DATE

 

Head of SMART 

 

Program Manager, Space Pioneer Program 

 

 

 

 
 

Original SPOO Release ____________________ 
 


background image

Space Pioneer 

Program

 

Product Assurance Requirements   

for General Unit 

Doc. No: SPOO-D0-800-002 
Issue: D.00 
Date: 15 April 2021 
Page:  i  of viii

 

 
 
 

 

REVISION / CHANGE RECORD 

 

Issue/ 

Revision 

DOCUMENT 

DATE 

REVISION / CHANGE DESCRIPTION 

PAGES 

AFFECTED 

D.00 
 

15 April 2021  Initial 

All 

 

 

 

 

 

 

 

 

 

 

 

 

 

 

 

 

 

 

 

 

 

 

 

 

 

 

 

 

 

 

 

 

 

 

 

 

 

 

 

 

 

 

 

 

 

 

 

 

 

 

 

 

 
 


background image

Space Pioneer 

Program

 

Product Assurance Requirements   

for General Unit 

Doc. No: SPOO-D0-800-002 
Issue: D.00 
Date: 15 April 2021 
Page:  ii  of viii

 

 
 
 

 

Table of Contents 

 

 

1. 

INTRODUCTION ................................................................................................................... 1 

1.1. 

General ................................................................................................................... 1 

1.1.1. 

과제에서  합의된  요구사항에  대한  적합성  입증(Compliance  Demonstration 

to Consensus Requirements) ......................................................................................... 1 

1.1.2. 

사업단  참여  보장(Access Right) ................................................................... 1 

1.1.3. 

사실  기반  확인(Evidence based Verification) ................................................ 1 

1.1.4. 

적합성점검표(Compliance Summary Table)................................................... 1 

1.1.5. 

프로그램  기술관리  검토회의  (Program Review) - TBD (by  사업단) ........... 2 

1.2. 

약어  및  정의  (Acronyms and Definitions) ............................................................. 2 

 

2. 

APPLICABLE DOCUMENTS ................................................................................................ 6 

2.1. 

US Military and NASA Documents ......................................................................... 6 

2.2. 

ESA Documents ..................................................................................................... 6 

 

3. 

제품보증  관리(Product Assurance Management) ................................................................ 7 

3.1. 

제품보증  계획(PA program planning) .................................................................... 7 

3.1.1. 

제품보증  조직/책임(PA Organization and Responsibilities)........................... 7 

3.1.2. 

PA책임자의  협업(PA Management Interfaces) .............................................. 7 

3.1.3. 

제품보증  이행계획서(PA Plan) ...................................................................... 8 

3.2. 

제품보증계획  이행(PA Plan Implementation) ........................................................ 8 

3.2.1. 

PA  관리(PA management) .............................................................................. 8 

3.2.2. 

PA  진행연황보고(PA Status Reporting) ......................................................... 8 

3.2.3. 

중요관리대상  관리(Critical Items control) ...................................................... 9 

3.2.4. 

문서  작성  및  자료  관리(Documentation and Data control) .......................... 9 

3.2.5. 

품질기록(Quality Records) ............................................................................. 9 

3.2.6. 

형상관리  관련  PA  역할(PA contribution to configuration management) ....... 9 

3.2.7. 

부적합관리(Nonconformance control) .......................................................... 10 

3.3. 

Configuration Control (형상관리) ......................................................................... 10 

 

4. 

PA  기능별  요건(PA Requirements per Disciplines) ............................................................ 10 

4.1. 

Quality Assurance (품질보증) .............................................................................. 10 

4.2. 

Reliability (신뢰성) ................................................................................................ 11 


background image

Space Pioneer 

Program

 

Product Assurance Requirements   

for General Unit 

Doc. No: SPOO-D0-800-002 
Issue: D.00 
Date: 15 April 2021 
Page:  iii  of viii

 

 
 
 

 

4.3. 

Safety (안전성) ..................................................................................................... 11 

4.4. 

Material, Part and Process Control (자재/부품/공정  관리) .................................. 12 

4.5. 

EEE Parts Control (전기전자부품  관리) .............................................................. 12 

4.6. 

Cleanliness and Contamination Control (청정도  및  오염  관리) ......................... 14 

4.7. 

소프트웨어  보증(Software Assurance) ................................................................ 15 

 

 

APPENDIX A.  제품보증  이행계획서  (PAP)의  구성 .................................................................. 16 

A.1  일반사항 ........................................................................................................................ 16 

A.2  구성 ............................................................................................................................... 16 

A.2.1.  일반사항(General) .................................................................................................... 16 

A.2.2.  관련  문서  및  참조문서(Applicable and Reference Documents) ............................. 16 

2.1  관련  문서(Applicable Documents) ......................................................................... 16 

2.2  참조  문서(Reference Documents) ......................................................................... 16 

A.2.3.  제품보증  관리(PA Management) .............................................................................. 16 

A.2.3.1  제품보증  조직/인력  및  업무분장(PA Organization/Personnel and Activities) 16 

A.2.3.2  제품보증  이행(PA Implementation) ................................................................. 17 

A.2.3.3  품질보증(Quality Assurance) ........................................................................... 17 

A.2.3.4  신뢰성(Reliability) ............................................................................................ 17 

A.2.3.5  안전성(Safety) ................................................................................................. 17 

A.2.3.6  전기전자부품(EEE Parts) ................................................................................ 17 

A.2.3.7  소재  및  공정(Materials and Process, M&P) ................................................... 17 

A.2.3.8  소프트웨어  품질보증(Software Assurance) .................................................... 17 

A.2.3.9  청정도  및  오염관리(Cleanliness and Contamination Control) ....................... 17 

 

APPENDIX B. PA  현황보고서  (PA Status Report)  포함내용 ..................................................... 18 

B.1  구성 ............................................................................................................................... 18 

B.1.1 PA Status Report  문서번호,  개정이력(Rev.000),  보고일자 ............................... 18 

B.1.2 Milestone status (이행일자,  회의록  관리번호) ................................................... 18 

B.1.3 EEE Part status ................................................................................................... 18 

B.1.4 Material, Mechanical Part, Process status .......................................................... 18 

B.1.5 Nonconformance status....................................................................................... 18 

B.1.6 KIP/MIP status ..................................................................................................... 18 

B.1.7 Critical Items (including mitigation plan status) ................................................... 18 

B.1.8 PA Documentation Status .................................................................................... 18 


background image

Space Pioneer 

Program

 

Product Assurance Requirements   

for General Unit 

Doc. No: SPOO-D0-800-002 
Issue: D.00 
Date: 15 April 2021 
Page:  iv  of viii

 

 
 
 

 

B.2  참조 ............................................................................................................................... 19 

B.2.1 EEE Part status ................................................................................................... 19 

B.2.2 Material, Mechanical Part, Process status .......................................................... 19 

B.2.3 Nonconformance status....................................................................................... 19 

B.2.4 KIP/MIP status ..................................................................................................... 19 

 

APPENDIX C.  제품보증  양식  (FORMS) ................................................................................... 20 

 

APPENDIX D.  프로그램  검토회의  (Program review)  수행 ...................................................... 26 

D.1. Design Reviews ............................................................................................................ 26 

D.2. Manufacturing Readiness Review ................................................................................ 26 

D.3. Test Readiness Review ................................................................................................ 26 

D.4. Pre-ship Review ........................................................................................................... 27 

D.5. ASSURANCE STATUS REPORTS .............................................................................. 27 

 

APPENDIX E.  부적합관리  (Nonconformance Control).............................................................. 28 

E.1. GENERAL ..................................................................................................................... 28 

E.2. NONCONFORMANCE ................................................................................................. 28 

E.2.1. Nonconformance Classification .......................................................................... 28 

E.2.2. Nonconformance Report .................................................................................... 28 

E.3. MATERIAL REVIEW BOARD ....................................................................................... 29 

E.4. NONCONFORMANCE STATUS LIST .......................................................................... 29 

E.5. ALERT INFORMATION................................................................................................. 29 

 

APPENDIX F.  형상관리  (Configuration Management) .............................................................. 30 

F.1. GENERAL ..................................................................................................................... 30 

F.2. CONFIGURATION IDENTIFICATION ........................................................................... 30 

F.3. CONFIGURATION CONTROL ...................................................................................... 31 

F.3.1. Change Classification ......................................................................................... 31 

F.3.2. Configuration Control Board ............................................................................... 31 

F.3.3. Change Documentation ...................................................................................... 32 

F.4. INTERFACE CONTROL DOCUMENTS ....................................................................... 32 

F.5. CONFIGURATION STATUS ACCOUNTING ................................................................. 33 

F.6. CONFIGURATION VERIFICATION .............................................................................. 33 

F.7. DOCUMENTATION MANAGEMENT ............................................................................ 34 


background image

Space Pioneer 

Program

 

Product Assurance Requirements   

for General Unit 

Doc. No: SPOO-D0-800-002 
Issue: D.00 
Date: 15 April 2021 
Page:  v  of viii

 

 
 
 

 

APPENDIX G.  품질보증  (Quality assurance) ............................................................................ 35 

G.1. GENERAL ..................................................................................................................... 35 

G.2. QUALITY ASSURANCE SYSTEM ............................................................................... 35 

G.2.1. Quality Assurance Program ................................................................................ 35 

G.2.2. Organization ....................................................................................................... 35 

G.2.3. Personnel Training.............................................................................................. 36 

G.2.4. Personnel Certification ....................................................................................... 36 

G.3. PURCHASING AND PROCUREMENT ........................................................................ 36 

G.3.1. Supplier and Lower Tier Subcontractor Control ................................................. 36 

G.3.2. Source Inspection ............................................................................................... 36 

G.3.3. Procurement documents .................................................................................... 37 

G.4. PRODUCT TRACEABILITY ......................................................................................... 37 

G.4.1. Product Identification and Traceability................................................................ 37 

G.4.2. Photographic Identification ................................................................................. 37 

G.5. INSPECTION AND TEST ............................................................................................. 37 

G.5.1. Receiving Inspection and Test ............................................................................ 38 

G.5.2. In-Process Inspection and Test .......................................................................... 38 

G.5.3. Acceptance Test ................................................................................................. 38 

G.5.4. Equipment Calibration ........................................................................................ 39 

G.6. CONTROL OF FABRICATION ..................................................................................... 39 

G.6.1. Work Instruction .................................................................................................. 39 

G.6.2. Manufacturing Flow Diagram ............................................................................. 39 

G.6.3. Manufacturing Flow Control ............................................................................... 39 

G.6.4. Handling ............................................................................................................. 40 

G.6.5. Storage ............................................................................................................... 40 

G.6.6. Preservation ....................................................................................................... 41 

G.6.7. Packaging ........................................................................................................... 41 

G.6.8. Electrostatic Discharge Control .......................................................................... 41 

G.7. END ITEM DATA PACKAGE ........................................................................................ 41 

G.8. CONFIGURATION CONTROL ..................................................................................... 43 

G.9. CONTAMINATION CONTROL ..................................................................................... 43 

G.10. CUSTOMER FURNISHED EQUIPMENT ................................................................... 43 

G.11. GROUND SUPPORT EQUIPMENT ........................................................................... 43 

 

 


background image

Space Pioneer 

Program

 

Product Assurance Requirements   

for General Unit 

Doc. No: SPOO-D0-800-002 
Issue: D.00 
Date: 15 April 2021 
Page:  vi  of viii

 

 
 
 

 

APPENDIX H.  신뢰성  (reliability) ............................................................................................... 45 

H.1. GENERAL .................................................................................................................... 45 

H.2. RELIABILITY PREDICTION ......................................................................................... 45 

H.3. FAILURE MODE, EFFECTS, AND CRITICALITY ANALYSIS ..................................... 45 

H.4.    PART STRESS ANALYSIS ........................................................................................ 46 

H.5.    WORST CASE ANALYSIS ......................................................................................... 47 

H.6.    TREND ANALYSIS .................................................................................................... 47 

H.7. CRITICAL ITEM LIST ................................................................................................... 47 

H.8.    LIMITED LIFE ITEM ................................................................................................... 48 

 

APPENDIX I.  안전관리  (Safety) ................................................................................................. 49 

I.1. GENERAL ...................................................................................................................... 49 

I.2. HAZARDOUS OPERATIONS ........................................................................................ 49 

I.3. COMPLIANCE TO SAFETY REQUIREMENTS ............................................................ 49 

I.4. SUPPORT FOR SAFETY REVIEW ............................................................................... 49 

 

APPENDIX J.  자재/기계부품  및  공정  (Material, Mechanical Part and Process) ..................... 50 

J.1. GENERAL ..................................................................................................................... 50 

J.2. MATERIALS SELECTION ............................................................................................. 50 

J.2.1. Restricted Materials ............................................................................................ 50 

J.2.2. Prohibited Materials ............................................................................................ 51 

J.3. MATERIALS REQUIREMENTS .................................................................................... 51 

J.3.1. Corrosion ............................................................................................................. 51 

J.3.2. Stress Corrosion.................................................................................................. 51 

J.3.3. Hydrogen Embrittlement ..................................................................................... 52 

J.3.4. Magnetism ........................................................................................................... 52 

J.3.5. Fluid Compatibility ............................................................................................... 52 

J.3.6. Vacuum Stability .................................................................................................. 52 

J.3.7. Flammability ........................................................................................................ 52 

J.3.8. Radiation Sensitivity ............................................................................................ 52 

J.3.9. Electrostatic Discharge Protection ...................................................................... 52 

J.4. MECHANICAL PARTS SELECTION ............................................................................. 53 

J.5. PROCESS SELECTION ............................................................................................... 53 

J.6. SPECIFIC REQUIREMENTS ........................................................................................ 54 

J.6.1. Pyrotechnic Parts ................................................................................................ 54 


background image

Space Pioneer 

Program

 

Product Assurance Requirements   

for General Unit 

Doc. No: SPOO-D0-800-002 
Issue: D.00 
Date: 15 April 2021 
Page:  vii  of viii

 

 
 
 

 

J.6.2. Shelf Life Materials.............................................................................................. 54 

J.7. PROCUREMENT .......................................................................................................... 54 

J.8. MATERIALS AND PROCESS APPROVAL ................................................................... 54 

J.8.1. Critical Materials and Processes ......................................................................... 54 

J.8.2. Material and Process Control Board ................................................................... 55 

J.9. MATERIALS, MECHANICAL PARTS AND PROCESSES LIST ................................... 55 

J.10. SPECIFICATION ......................................................................................................... 56 

J.11. RECEIVING INSPECTION .......................................................................................... 56 

J.12. TREACEABILITY ........................................................................................................ 56 

J.13. PROPRIETARY INFORMATION ................................................................................. 56 

 

APPENDIX K.  전기전자부품  (EEE Parts) ................................................................................. 58 

K.1. GENERAL ..................................................................................................................... 58 

K.2. PARTS SELECTION ..................................................................................................... 58 

[QUALITY REQUIREMENT FOR EEE PARTS FOR GEO] .......................................... 58 

[QUALITY REQUIREMENT FOR EEE PARTS FOR LEO] .......................................... 58 

K.2.1. Radiation Hardness ............................................................................................ 59 

K.2.2. Restricted Parts .................................................................................................. 60 

K.3. PROCUREMENT .......................................................................................................... 61 

K.3.1. Quality Level ....................................................................................................... 61 

K.3.2. Procurement Specification .................................................................................. 61 

K.3.3. Lot Acceptance Test and Quality Conformance Inspection ................................ 61 

K.3.4. Destructive Physical Analysis ............................................................................. 62 

K.3.5. Radiation Hardness Verification ......................................................................... 62 

K.4. SPECIFIC PARTS REQUIREMENTS .......................................................................... 63 

K.4.1. Application Specific Integrated Circuits (ASIC) .................................................. 63 

K.4.2. One Time Programmable Devices ..................................................................... 63 

K.4.3. Hybrids Devices .................................................................................................. 63 

K.4.4. Electromagnetic Devices .................................................................................... 63 

K.4.5. Microwave Monolithic Integrated Circuits ........................................................... 63 

K.5. PARTS EVALUATION PROGRAM ............................................................................... 63 

K.6. PART IDENTIFICATION LIST ....................................................................................... 64 

K.7. RECEIVING INSPECTION ........................................................................................... 64 

K.8. HANDLING AND STORAGE ........................................................................................ 65 

K.9. NONCONFORMANCE ................................................................................................. 65 


background image

Space Pioneer 

Program

 

Product Assurance Requirements   

for General Unit 

Doc. No: SPOO-D0-800-002 
Issue: D.00 
Date: 15 April 2021 
Page:  viii  of viii

 

 
 
 

 

K.10. QUALITY REQUIREMENT ......................................................................................... 65 

Table K-1. QUALITY REQUIREMENT FOR EEE PARTS FOR LEO .................................. 66 

Table K-2. QUALITY REQUIREMENT FOR EEE PARTS FOR GEO .................................. 72 

 

APPENDIX L.  청정도  및  오염관리  (Cleanliness & Contamination Control) ............................. 78 

L.1. GENERAL ..................................................................................................................... 78 

L.2. CONTAMINATION CONTROL ...................................................................................... 78 

L.3. EQUIPMENT CLEANLINESS REQUIREMENTS ......................................................... 78 

L.4. CLEANLINESS REQUIREMENTS FOR TRANSPORTATION ..................................... 79 

L.5. VACUUM BAKE OUT .................................................................................................... 79 

 

APPENDIX M.  소프트웨어  품질보증  (SOFTWARE QUALITY ASSURANCE) ......................... 80 

M.1. GENERAL .................................................................................................................... 80 

M.2. LIST OF SOFTWARE .................................................................................................. 80 

M.3. MANAGEMENT OF RESOURCES ............................................................................. 80 

M.4. SOFTWARE CONFIGURATION .................................................................................. 81 

M.5. DOCUMENT MANAGEMENT...................................................................................... 81 

M.6. SOFTWARE SPECIFICATION .................................................................................... 81 

M.7. DESIGN ....................................................................................................................... 81 

M.8. CODING ....................................................................................................................... 81 

M.9. TESTS .......................................................................................................................... 82 

M.10. DELIVERY, INSTALLATION, AND ACCEPTANCE .................................................... 82 

M.11. MAINTENANCE PREPARATION ............................................................................... 82 

M.12. PROCURED SOFTWARE ......................................................................................... 83 


background image

Space Pioneer 

Program

 

Product Assurance Requirements for 

General Unit 

Doc. No: SPPO-D0-800-002 
Issue: D.00 
Date: 15 April 2021 
Page:  1  of 84 

 
 
 

 

1.  INTRODUCTION 

 

1.1.  GENERAL 

 

1.1.1.  과제에서  합의된  요구사항에  대한  적합성  입증(Compliance  Demonstration  to 

Consensus Requirements) 

-  스페이스파이오니아사업에  참여하는  장비/유닛의  개발시  요구사항(Requirements)은 

RFP문서에서  정하는  기본  요구사항(General Requirements)이다.     

-  세부과제  주관기관은  기본  요구사항에  추가하여  목표로  하는  실용위성  또는  목표시장

에서  포지셔닝  하고자  하는  기대목표를  충족하기  위하여  추가적으로  필요한  요구사항

(Voluntary Consensus Standards/Specifications)을  제안하여야  한다. 

-  세부과제  주관기관은  과제에서  정한  기본요구사항과  합의된  추가하고자  입증하고자  하

는  요구사항(Consensus  Standards/Specifications)에  적합함을  입증(Demonstration  of 

Compliance to Requirements)하여야  한다. 

 

1.1.2.  사업단  참여  보장(Access Right) 

-  스페이스파이오니아  사업의  목적을  위해  필요한  활동을  이행할  수  있도록  사업단  또는 

사업단이  지정한  대리인이  세부과제  주관기관의  시설(협력업체  및  참여기관을 

포함한다.)  및  문서에  접근(제공을  포함한다.)할  수  있도록  협조하여야  한다. 

지적재산과 

관련한 

내용을 

포함하는 

경우, 

비밀유지합의서(Non-disclosure 

agreement)와  같은  제도적  장치를  통해  문서  및  시설에  대한  접근을  보장할  수  있는 

적극적인  방안을  고려하여야  한다. 

 

1.1.3.  사실  기반  확인(Evidence based Verification) 

-  세부과제  주관기관은  적합성에  대한  입증이  사실(설계,  해석,  시험,  검사,  도면, 

절차서/표준서,  운용  매뉴얼/절차  등의  객관적인  증거)에  기반한  적합성  확인이  되도록 

하여야  한다. 

 

1.1.4.  적합성점검표(Compliance Summary Table) 

-  세부과제  주관기관은  본  문서에  대한  적합성  입증계획  및  입증결과를  요약한 

적합성점검표  (Compliance  Summary  Table)를  과제  착수시점에  작성하여  과제기간 

동안  입증결과를  요약한  내용을  업데이트하여  재개정  관리를  이행하여야  하며, 

과제종료시점에  최종본을  제출하여야  한다. 

 


background image

Space Pioneer 

Program

 

Product Assurance Requirements for 

General Unit 

Doc. No: SPPO-D0-800-002 
Issue: D.00 
Date: 15 April 2021 
Page:  2  of 84 

 
 
 

 

1.1.5.  프로그램  기술관리  검토회의  (Program Review)   

    -  세부과제  주관기관은  다음의  개발품에  대한  검토회의(Design  Reviews  and/or  EQSR, 

MRR,  TRR/PTR,  PSR)  수행체계를  갖추어야  한다.  수행체계는  INPUT(작성문건, 

발표자료  템플릿)과  OUTPUT(회의록, Action Item, Data Package)의  관리를  포함하여야 

한다.   

    -  세부과제  주관기관은  검토회의와  관련하여  APPENDIX D를  참조한다. 

    -  기술관리  검토회의의  Go/No-Go Decision  권한은  사업단에게  있다. 

 

1.2.  약어    정의  (ACRONYMS AND DEFINITIONS) 

 

ABCL 

As Built Configuration List 

ACA 

At Contract Award 

AIT 

Assembly, Integration, and Test 

ASIC 

Application Specific Integrated Circuit 

ASTM 

American Society for Testing and Materials 

CADM 

Configuration And Data Management 

CCB 

Configuration Control Board 

CDR 

Critical Design Review 

CDRL 

Contractual Document Requirements List 

CFE 

Customer Furnished Equipment 

CI 

Configuration Item 

CIDL 

Configuration Item Document List 

CIL 

Critical Items List 

COC 

Certificate of Conformance 

CPPA 

Centralized Part Procurement Agency 

CVCM 

Collected Volatile Condensable Mass 

DDEF 

Displacement Damage Equivalent Fluence 

DDSF 

Displacement Damage Sensitive Fluence 

DPA 

Destructive Physical Analysis 

ESCC 

European Space Component Coordination 

EEE 

Electrical Electronic, and Electromechanical 

EGSE 

Electrical Ground Support Equipment 

EIDP 

End Item Data Package 

EM 

Engineering Model 

EMC 

Electromagnetic Compatibility 


background image

Space Pioneer 

Program

 

Product Assurance Requirements for 

General Unit 

Doc. No: SPPO-D0-800-002 
Issue: D.00 
Date: 15 April 2021 
Page:  3  of 84 

 
 
 

 

EOL 

End of Life 

EPPL 

European Preferred Part List 

ESA 

European Space Agency 

ESD 

Electrostatic Discharge 

ESR 

Equipment Suitability Review 

FDIR 

Fault Detection, Isolation, and Recovery 

FM 

Flight Model 

FMECA 

Failure Modes, Effects, and Criticality Analysis 

FTA 

Fault Tree Analysis 

GIDEP 

Government Industry Data Exchange Program 

GSFC 

Goddard Space Flight Center 

IC 

Integrated Circuit 

ICD 

Interface Control Document 

IOC 

Interoffice Correspondence 

KIP 

Key Inspection Point 

LAT 

Lot Acceptance Test 

LET 

Linear Energy Transfer 

M&P 

Materials and Processes 

MGSE 

Mechanical Ground Support Equipment 

MIL-STD 

Military Standard 

MIP 

Mandatory Inspection Point 

MMIC 

Microwave Monolithic Integrated Circuits 

MPCB 

Material and Process Control Board 

MRB 

Material Review Board 

MRR 

Manufacturing Readiness Review 

MUA 

Material Usage Agreement 

NASA 

National Aeronautics and Space Administration 

NCR 

Non-Conformance Report 

NDT 

Non-Destructive Testing 

NPSL 

NASA Parts Selection List 

NSPL 

MIL-STD-975, NASA Standard Electrical, Electronics, and Electromechanical Parts 

List 

NVR 

Nonvolatile Residue 

PA 

Product Assurance 

PAD 

Part Approval Document 


background image

Space Pioneer 

Program

 

Product Assurance Requirements for 

General Unit 

Doc. No: SPPO-D0-800-002 
Issue: D.00 
Date: 15 April 2021 
Page:  4  of 84 

 
 
 

 

PAPP 

Product Assurance Program Plan 

PAR 

Product Assurance Requirements 

PCB 

Part Control Board 

PDR 

Preliminary Design Review 

PEM 

Plastic Encapsulated Microcircuit 

PIL 

Part Identification List 

PIND 

Particle Impact Noise Detection 

PM&P 

Parts, Materials and Processes 

PMPCB 

Parts, Materials, and Processes Control Board 

PPL 

Preferred Part List 

PPM 

Part Per Million 

PSA   

Part Stress Analysis 

PSR 

Pre-Ship Review 

QA 

Quality Assurance 

QCI 

Quality Conformance Inspection 

QPL 

Qualified Part List 

RF 

Radio Frequency 

RFA 

Request for Approval 

RFD 

Request for Deviation 

RFW 

Request for Waiver 

SEB 

Single Event Burn Out 

SEFI 

Single Event Functional Interrupt 

SEGR 

Single Event Gate Rupture 

SEL 

Single Event Latch Up 

SEP 

Single Event Phenomenon 

SES 

Single Event Snap Back 

SET 

Single Event Transient 

SEU 

Single Event Upset 

SOW 

Statement of Work 

TCI 

Technology Conformance Inspection 

TID 

Total Ionizing Dose 

TML 

Total Mass Loss 

TRR 

Test Readiness Review 

TQCM 

Thermal Electrically Controlled Quartz Crystal Microbalance 

UV 

Ultraviolet Ray 


background image

Space Pioneer 

Program

 

Product Assurance Requirements for 

General Unit 

Doc. No: SPPO-D0-800-002 
Issue: D.00 
Date: 15 April 2021 
Page:  5  of 84 

 
 
 

 

WCA 

Worst Case Analysis 

 


background image

Space Pioneer 

Program

 

Product Assurance Requirements for 

General Unit 

Doc. No: SPPO-D0-800-002 
Issue: D.00 
Date: 15 April 2021 
Page:  6  of 84 

 
 
 

 

2.  APPLICABLE DOCUMENTS 

Applicable documents and revision levels listed herein form a part of this document. 

If any conflict arises between this PAR and those referenced, the requirements of this PAR shall 

take precedence and govern until resolved by KARI. 

 

2.1.  US MILITARY AND NASA DOCUMENTS 

MIL-STD-750 

Test Methods for Semiconductor Devices 

MIL-STD-883 

Test Methods and Procedures for Microelectronics 

MIL-STD-889 A 

Dissimilar Metals 

MIL-STD-975 M 

NASA  Standard  Electrical,  Electronics,  and  Electromechanical 

Parts List 

MIL-STD-981C 

Design,  Manufacturing  and  Quality  Standards  for  Custom 

Electromagnetic Devices for Space Applications 

MIL-STD-1547 B 

Electronic  Parts,  Materials,  and  Processes  for  Space  and 

Launch Vehicles 

MIL-HDBK-217 F Notice 2 

Reliability Prediction of Electronic Equipment 

MIL-PRF-38534G 

Hybrid Microcircuits, General Specification for 

GSFC EEE-INST-002 

Instructions  for  EEE  Part  Selection,  Screening,  Qualification, 

and Derating 

NASA-STD-(I)-6001A 

Flammability,  Off-gassing,  and  Compatibility  Requirements  and 

Test Procedures 

 

2.2.  ESA DOCUMENTS 

ECSS-E-30 Part 6A 

Mechanical - Part 6: Pyrotechnics 

ECSS-Q-ST-30-11C 

Derating - EEE Components 

ECSS-Q-60-11A 

Derating and End-of-life Parameter Drifts - EEE Components 

ECSS-Q-ST-60-02C 

ASIC and FPGA Development 

ECSS-Q-ST-60-12C 

Design, Selection, Procurement and Use of Die-form Monolithic 

Microwave Integrated Circuits 

ECSS-Q-ST-60-14C 

Relifing Procedure - EEE Components 

ECSS-Q-70B 

Materials, Mechanical Parts and Processes 

PSS-01-608 

Generic Specification for Hybrid Microcircuits 

ECSS-Q-70-36A 

Material Selection for Controlling Stress-corrosion Cracking 

 


background image

Space Pioneer 

Program

 

Product Assurance Requirements for 

General Unit 

Doc. No: SPPO-D0-800-002 
Issue: D.00 
Date: 15 April 2021 
Page:  7  of 84 

 
 
 

 

3.  제품보증  관리(PRODUCT ASSURANCE MANAGEMENT) 

3.1.  제품보증  계획(PA PROGRAM PLANNING) 

 

3.1.1.  제품보증  조직/책임(PA Organization and Responsibilities) 

  -  스페이스파이오니아사업에  참여하는  위성용  장비  개발기관(이하  "세부과제  주관기관" 

이라  한다.)은  책임과  권한을  갖는  제품보증  책임자(이하  "PA책임자"라  한다.)와  PA 

엔지니어링(신뢰성,  안전성,  신뢰성,  재부품공정,  소프트웨어  보증)  담당자  및  PA  품질

/관리(품질관리,  오염관리,  구매관리,  안전관리)  관련  담당자를  지정하여야  한다.     

[주기]  우주제품은  우주사용중  수리가  어려운  1회  개발/제작/사용의  특징을  갖는  제품군

이므로  개발/검증  단계에서부터  PA  책임자  및  전문  PA  인력의  참여가  필수적으로  요

구된다. 

[주기]  별도의  PA책임자를  지정하지  않는  경우,  세부과제  주관기관  과제책임자(PM)가  PA

책임자의  기능을  겸하는  것으로  간주하여야  한다. 

[주기]  "전기전자부품  관리",  "소프트웨어  보증"에  한해,  제품  개발  범위에  포함되지  않는 

경우  해당  담당자를  두지  않아도  된다.  이  외의  모든  PA  분야에  대해서는  담당자를 

지정하여야  한다.   

  -  PA책임자는  PA  업무를  이행함에  있어서  PA  엔지니어링  담당자와  품질/관리  관련  담

당자의  업무를  관리하여야  한다. 

 

3.1.2.  PA책임자의  협업(PA Management Interfaces) 

  -  세부과제  주관기관은  PA책임자가  다음의  업무를  이행하도록  하여야  한다. 

      1)  PA책임자는  PA  관련  이슈와  관련하여  세부과제  주관기관  과제책임자와  협력하여

야  한다.   

      2)  PA책임자는  세부과제  주관기관내  형상관리,  위험관리,  체계종합,  엔지니어링  개발

부서와  PA  관련  이슈와  관련하여  협력하여야  한다. 

      3) PA책임자는  참여업체  및  Lower-Tier업체와의  PA  관련  이슈를  관리하여야  한다. 

      4)  PA책임자는  과제의  기술검토회의(Design  Review/EQSR,  MRR,  TRR,  PTR,  PSR)에 

참여하여  PA  관련  이슈, PA  문서, PA  활동현황  등  PA  관련  내용을  제시하여야  한다. 

 


background image

Space Pioneer 

Program

 

Product Assurance Requirements for 

General Unit 

Doc. No: SPPO-D0-800-002 
Issue: D.00 
Date: 15 April 2021 
Page:  8  of 84 

 
 
 

 

3.1.3.  제품보증  이행계획서(PA Plan) 

  -  세부과제  주관기관은  스페이스파이오니아  사업에서  정한  본  문서에  따른  장비  제품보

증요구사항(PA Requirements for General Unit)을  만족하는  제품보증  계획서를  스페이스

파이오니아  사업단에  작성하여  제출하고  이행하여야  한다.  제품보증  이행계획서(PAP, 

PA Plan)의  문서  구성은  APPENDIX A를  참조한다. 

  [주기]  세부과제  주관기관은  향후  실용위성개발에  참여시에  고객이  발행하는  제품보증

요구사항(Subcontractor  PA  Requirements)을  만족하는  제품보증계획서를  작성하여  제

출하여야  하며, PA책임자는  고객의  Subcontractor PAR  요구사항에  따라  PA  관련  이슈

에  대응하여야  한다.  세부과제  주관기관은  Subcontractor  PAR과  본  PAR  for  General 

Unit의  목적과  다루는  범위가  차이가  있을  수  있음을  명확하게  인지하고  적절한  대책

을  수립하여  시행하여야  한다. 

 
3.2.  
제품보증계획  이행(PA PLAN IMPLEMENTATION) 

 

3.2.1.  PA  관리(PA management) 

    -  세부과제  주관기관은  설계  초기  단계부터  제품보증  요건에  대한  적합성을  고려한  설

계를  수행하여  PA  관련  이슈를  식별하고  관리하여야  한다.   

    -  세부과제  주관기관은  PA  이행계획을  구현하는  데  필요한  PA  자원을  식별하고  PA  작

업을  이행할  수  있는  자원을  제시하여야  한다. 

    -  세부과제  주관기관은  참여업체  및  Lower-Tier  협력업체가  본  문서  및  PA  이행계획에 

따라  관리됨을  보증하여야  한다. 

 

3.2.2.  PA  진행현황보고(PA Status Reporting) 

    -  세부과제  주관기관은  PA책임자가  개발일정별로  요구되는  제품보증문서  현황  및  개

발중  발생하는  모든  PA  관련  이슈를  관리하여야  한다.   

    - PA책임자는  최소한  다음  사항을  포함된  PA  현황보고서(PA  Status Report)를  작성하여 

진행현황을  사업관리의  일부로  보고하여야  한다.  PA  현황보고서는  정기적으로  보고되

는  과제현황보고서의  일부로  통합하여  관리할  수  있다. PA Status Report에  포함되어야 

할  내용은  APPENDIX B를  참조한다. 

 


background image

Space Pioneer 

Program

 

Product Assurance Requirements for 

General Unit 

Doc. No: SPPO-D0-800-002 
Issue: D.00 
Date: 15 April 2021 
Page:  9  of 84 

 
 
 

 

3.2.3.  중요관리대상  관리(Critical Items control) 

    -  세부과제  주관기관은  중요관리대상(Critical  Item)을  식별하고  식별된  중요관리대상의 

리스크를  제거(removal)하거나  완화(mitigation)  또는  원하지  않는  결과를  예방하기  위

하여  취해야  하는  방안을  포함하는  조치계획(action  plan)을  수립하고  관리하여야  한다. 

    -  중요관리대상  관리와  관련하여  APPENDIX H를  참조한다. 

 

3.2.4.  문서  작성    자료  관리(Documentation and Data control) 

    -  PA  책임자는  PA  이행계획  실행에  필요한  활동이  이행되는  모든  장소에서  유효한  문

서  및  데이터가  사용될  수  있도록  하여야  한다.  유효하지  않은  문서  및  데이터는  사

용시점에  사용장소에서  제거되도록  하여  의도하지  않은  사용을  방지하여야  한다.   

    - PA  책임자는  PA  승인이  필요한  문서를  포함하여  승인이  필요한  과제문서를  식별하여

야  한다. 

 

3.2.5.  품질기록(Quality Records) 

    -  세부과제  주관기관은  모든  PA  작업의  완전하고  성공적인  이행을  위한  객관적인  증

거를  제공하고  요구  사항  준수를  입증하기  위해  품질  기록  관리체계를  수립하고  유지

해야합니다. 

 

3.2.6.  형상관리  관련  PA  역할(PA contribution to configuration management) 

    -  PA  책임자는  형상관리활동의  일부로  참여하여  도면,  시험  계획/절차서,  규격서/절차서

(해당문서의  변경사항을  포함한다.)의  사용을  위한  배포(Release)가  적합한  지를  확인

해야  한다. 

    - PA  책임자는  설계형상(As-designed configuration status)이  문서로  모두  식별되었는  지

와  제작  착수전에  배포되는  지를  확인하여야  하며,  제작형상(As-built  configuration 

status)이  문서로  모두  문서로  식별  및  기록되어  제품과  함께  최종산출물(EIDP)의  일

부로서  제공되도록  하여야  한다. 

 


background image

Space Pioneer 

Program

 

Product Assurance Requirements for 

General Unit 

Doc. No: SPPO-D0-800-002 
Issue: D.00 
Date: 15 April 2021 
Page:  10  of 84 

 
 
 

 

3.2.7.  부적합관리(Nonconformance control) 

  -  세부과제  주관기관은  고객(향후  실용위성  개발기관  또는  차상위  서브시스템/장비유닛 

개발기관)에게  주의  및  판단이  필요한  정보를  제공할  수  있도록,  개발중  발생한  모든 

제작/시험/시험운용  중  발생하는  부적합과  이에  대한  처리내용  및  예방조치를  포함하

는  정보를  제공할  수  있는  체계를  수립하여  운용하여야  한다. 

  -  부적합기록(Nonconformance  Record)  체계,  부적합검토위원회(MRB)  구성,  부적합검토

위원회(MRB)  회의록  체계  등을  포함하여야  한다.   

  -  세부과제  주관기관은  부적합관리  계획  수립시  APPENDIX E을  참조한다.   

  -  개발단계에서  부적합은  인정되지  않는  것이  일반적이다.  따라서  세부과제  주관기관은 

Major  부적합은  설계  변경을  통해  제품의  특성으로  반영하는  것을  원칙으로  하여야 

한다. 

  [주기]  세부과제  주관기관은  개발단계에서  고객(Satellite  System  Integrator)  MRB에  의한 

피드백을  받을  수  없음을  인지하여야  하며,  향후  이러한  MRB에  대응하는  체계를  갖

추어야  한다.  세부과제  주관기관에서  수용한  NCR은  향후  고객(Satellite  System 

Integrator)에게  보고되어야  하며,  최종  판단권한은  고객에게  있음을  인지하여야  한다. 

 

3.3.  CONFIGURATION CONTROL (형상관리

  -  세부과제  주관기관은  형상관리계획  수립시  APPENDIX F를  참조한다.   

  -  개발단계에서  규격에  대한  RFD/RFW를  통한  면제  처리는  인정되지  않는  것이  일반적

이다.  따라서  세부과제  주관기관은  RFD/RFW로  예상되는  규격  불일치는  설계  변경을 

통해  제품의  특성으로  반영하거나,  재재작/재시험  등을  통해  규격을  만족함을  보여야 

한다. 

  [주기]  세부과제  주관기관은  개발단계에서  고객(Satellite  System  Integrator)  CCB에  의한 

피드백을  받을  수  없음을  인지하여야  하며,  향후  이러한  CCB에  대응하는  체계를  갖

추어야  한다. 

 

4.  PA  기능별  요건(PA REQUIREMENTS PER DISCIPLINES) 

4.1.  QUALITY ASSURANCE (품질보증

  -  세부과제  주관기관은  APPENDIX  G를  만족하는  제품보증  관리  계획을  수립하여  이행

하여야  한다. 

  -  세부과제  주관기관은  세부과제  주관기관  내에  제품개발에  적합한  품질보증  체계를  수

립하여  이행할  책임이  있다.   

[주기] ISO9001, AS9100, TS16949와  같은  품질경영시스템  인증이  별도로  개발하고자  하

는  우주개발품의  업무범위를  포함하고  있지  않는  한,  우주개발에  적합한  품질경영시


background image

Space Pioneer 

Program

 

Product Assurance Requirements for 

General Unit 

Doc. No: SPPO-D0-800-002 
Issue: D.00 
Date: 15 April 2021 
Page:  11  of 84 

 
 
 

 

스템을  갖추고  있음으로  해석되지  않아야  한다.  AS9100  항공우주  품질경영시스템의 

목적에서  선언하고  있는  바와  같이,  고객  및  제도적  요건을  반영한  품질경영시스템을 

구축하여  운용하기  위해  노력해야  한다.   

  -  세부과제  주관기관은  구매품(하드웨어,  소프트웨어  및  서비스)의  구매관리  체계  수립

시,  추적성  확보를  위해  사용  자재의  원재작자  보증서(Original  Manufacturer's  COC)가 

확보될  수  있도록  구매요구사항의  일부로  기술하고  인수검사시  이를  확인하여야  한다. 

  -  세부과제  주관기관은  개발단계에서  고객(Satellite  System  Integrator)에  의한  고객검사

(MIP, Mandatory Inspection Point)의  지정  및  실행에  의한  피드백을  받을  수  없음을  인

지하여야  하며,  고객검사  수준의  기능적으로  독립적인  인력에  의한  전문적인  자주검

사(KIP, Key Inspection Points)가  수행될  수  있도록  검사체계를  구축하여야  한다. 

  - KIP/MIP  검사를  상정하는  경우  다음을  고려하여야  한다. 

      1)  중요공정(critical process)이  수행된  후  실시 

      2)  후속공정에서  검사를  위한  접근이  불가한  경우  후속공정전  실시 

      3)  메카니즘의  조립  기간동안  실시 

      4) Safety Critical Item의  장착  과정동안  실시 

      5) Qualification Test  및  Acceptance Test  전/후  실시 

 
4.2.  RELIABILITY (
신뢰성

  -  세부과제  주관기관은  APPENDIX  H를  만족하는  신뢰성  관리  계획을  수립하여  이행하

여야  한다.   

  -  세부과제  주관기관은  목표로  하는  실용위성  또는  목표시장에서  포지셔닝  하고자  하는 

기대목표를  충족할  수  있는  신뢰도를  제안하고,  이를  만족하도록  신뢰도예측보고서

(Reliability Prediction Report)를  통해  이를  입증하여야  한다. 

  -  세부과제  주관기관은  고장모드,  영향  및  치명성분석(FMECA)을  수행하고  Single  Point 

Failure,  Critical  Item,  Limited  Life  Item  등을  식별하여야  한다.  세부과제  주관기관은 

FMECA의  세부과제  주관기관  설계부서에서  주관하도록  업무  분장하여야  하고, Critical 

Item으로  식별된  항목이  적합하게  검증되는  지를  PA에서  확인하도록  업무  분장하여

야  한다. 

  -  세부과제  주관기관은  전기전자  유닛의  경우  PSA를  수행하여야  한다. 

  -  세부과제  주관기관은  전기전자  유닛의  경우  WCA를  수행하여야  한다. 

  -  세부과제  주관기관은  실용위성  사용을  목표로  하는  장비/유닛이  Limited Life Item에  해

당하는  경우, Life cycle test  프로그램  계획을  수립하고  이행하여야  한다. 

 
4.3.  SAFETY (
안전성

  -  세부과제  주관기관은  APPENDIX  I를  만족하는  안전관리  계획을  수립하여  이행하여야 


background image

Space Pioneer 

Program

 

Product Assurance Requirements for 

General Unit 

Doc. No: SPPO-D0-800-002 
Issue: D.00 
Date: 15 April 2021 
Page:  12  of 84 

 
 
 

 

한다.   

 
4.4.  MATERIAL, PART AND PROCESS CONTROL (
자재/부품/공정  관리

  -  세부과제  주관기관은  APPENDIX  J를  만족하는  자재/부품/공정관리  계획을  수립하여 

이행하여야  한다.   

  -  세부과제  주관기관은  Prohibited/Restricted  Material이  사용되지  않도록  설계에  반영하

여야  한다.  Prohibited/Restricted  Material로  식별되는  경우  Critical  Item으로  식별하고, 

Hermitically  sealing과  같은  Mitigation  방안  또는  유사한  기능을  수행하는  대체  물질의 

활용을  통한  Removal  방안  등을  조치계획을  수립하여야  한다. 

  -  세부과제  주관기관은  기존  실용위성  개발에서  공정역량이  확인된  기관의  공정(KARI-

approved  Process  or  NASA/ESA  Space  Heritage  Process)을  최대한  활용하여야  한다. 

그렇지  않은  경우,  별도의  공정검증계획서를  구체적으로  수립/제시하고  이를  공식적으

로  승인받아야  한다. 

  -  세부과제  주관기관은  Non-standard/Non-qualified  Parts/Process가  포함된  경우,  공정검

증  및  사용가  판정을  위해  추가적인  비용/일정/시간이  소요되는  것이  검증된  우주제품

의  특징임을  인지하고  이에  대한  고려를  하여야  한다. 

  -  세부과제  주관기관은  DML(재료목록),  DMPL(기계부품목록),  DPL(공정목록)을  설계완료

시점에서  공식적으로  제시하고  승인받아야  하며,  해당  내용의  정보와  도면,  작업지시

서(Shop Order, Traveler),  작업기록,  검사기록  등의  정보가  일치하는  지를  교차  검증하

여야  한다.   

 
4.5.  EEE PARTS CONTROL (
전기전자부품  관리

  -  세부과제의  주관기관은  APPENDIX  K를  만족하는  전기전자부품관리  계획을  수립하여 

이행하여야  한다.   

  -  표준부품의  사용  :  세부과제  주관기관은  목표로  하는  APPENDIX  K  적용시,  개발품이

저궤도위성에만  사용되는  경우  Table K-1. EEE Part Quality For LEO을  참조하며,  그  이

외의  중궤도위성,  정지궤도위성,  달탐사  등에서  사용을  목표로  하는  경우에는  Table 

K-2. EEE Part Quality For GEO를  참조하여  표준부품을  사용하여야  한다. 

-  비표준부품의  사용  :  QM을  개발하는  경우,  표준부품과  form,  fit,  function이  동일한  비

표준부품을  사용할  수  있다.  이  경우에  part  identification  list에  향후  FM  개발  시  사용

될  부품의  부품번호와  본  과제에서  사용하는  QM  부품의  부품번호를  모두  기록해야 

한다.  표준부품과  form, fit,  function이  동일한  비표준부품이  없는  경우,  QM제품에도  표

준품을  사용해야  한다.  표준부품과  form,  fit,  function이  동일한  비표준부품을  사용하는 

경우,  부품제조사의  시험/검사를  생략하고  수입검사만을  진행할  수  있다.   

    -  상용부품의  사용  :  Form,  fit,  function이  동일한  표준부품이  존재하지  않는  비표준부


background image

Space Pioneer 

Program

 

Product Assurance Requirements for 

General Unit 

Doc. No: SPPO-D0-800-002 
Issue: D.00 
Date: 15 April 2021 
Page:  13  of 84 

 
 
 

 

품은  상용부품으로  정의하며,  상용부품의  사용은  최소화해야  한다.  비용이나  개발기간 

단축의  목적으로  상용부품을  사용할  수  없으며,  유사한  성능이나  기능을  갖는  표준부

품이  없으며  기능을  구현하는데  불가피한  경우에만  사용이  가능하다. 

    -  상용부품  사용  시에는  해당  부품이  설계변경  없이  FM에도  사용될  수  있다는  것을 

보증을  위하여,  QM  하드웨어  제작  착수  전  해당  상용부품에  대하여  EEE-INST-002 

요구사항에  따라서  screening  및  qualification이  완료되어야  한다.  만약  해당  부품에 

대하여  EEE-INST-002의  screening  및  qualification  내용을  포함하는  시험성적서  또는 

이와  동등한  수준의  시험성적서를  확보할  수  있는  경우  시험의  면제가  가능하다.  또

한  부품  종류별로  3개씩  DPA를  수행하여야  한다. 

  -    APPENDIX K 9.4에  명시된  특수한  부품은  EEE-INST-002가  아닌  APPENDIX K 9.4에 

명시된  문서를  따라서  시험을  수행한다. 

  -    우주용  규격에  따른  시험  데이터가  없는  상용부품을  선정하는  경우, EEE-INST-002에 

따른  시험  결과  또는  방사선  시험결과가  요구사항을  만족하지  못하면  새로운  부품을 

선정해야  한다.  세부과제의  주관기관은  상용부품의  사용  시,  시험  결과가  우주부품  요

구사항을  만족하지  못하면  새로운  부품의  납기  소요  및  방사선  시험  기간  소요,  설계

변경  기간  소요  등으로  프로젝트  기간  내  QM의  개발  및  검증을  완료할  수  없는  리스

크가  있음을  인지하여야  한다.  원칙적으로  상용부품은  불가피한  경우를  제외하고는 

사용하지  않아야  하며,  상용부품을  사용하더라도  screening,  qualification  및  방사선  시

험  데이터가  존재하여  우주용으로  사용가능함이  알려진  부품을  선정해야  한다. 

    -  표준품을  포함한  모든  능동소자  부품에  대해서는  ECSS-Q-ST-60-15C  및  APPENDIX 

K를  따라서  radiation analysis report를  작성해야  하며,  이  때  사용하는  radiation data는 

제조사에서  제공하는  데이터,  또는  최근  4년  이내에  시험결과를  인용해야  한다.  데이

터  확보가  불가능한  경우  APPENDIX  K의  radiation  hardness  요구사항에  따라서  방사

선  시험을  수행하여  데이터를  확보해야  한다. 

    -  QM  제작  착수  전  부품의  스크리닝,  Lot  수락시험  결과보고서  작성  및  radiation 

analysis report, part identification list  작성이  완료되어야  한다. 

    - Single event effect  중  부품에  영구적인  손상을  주는  효과의  LETth가 

60 MeV∙cm2/mg 

보다  작은  경우  사용을  금지한다.  Single  event  effect  중  부품의  오동작을  발생시키는 

효과는  LETth가 

60  MeV∙cm2/mg  보다  작은  경우  다른  부품으로  교체를  검토하거나, 

이를  억제할  수  있는  설계(필터, TMR, EDAC  등)를  구현해야  한다. Radiation analysis 

report에는  구현한  설계를  반영하여  년간  오동작  발생횟수를  예측하여  기술하여야  한

다.  궤도환경은  개발된  과제를  통하여  제품이  사용될  것으로  예상되는  궤도를  개발

기관의  책임  하에  모사하여  적용한다.       

      -  세부과제의  주관기관은  자체적인  PMPCB  또는  이에  준하는  회의체를  구성하여  QM

에  사용되는  모든  전기전자부품에  대한  적합성  여부를  검토하여야  하며,  필요  시  스


background image

Space Pioneer 

Program

 

Product Assurance Requirements for 

General Unit 

Doc. No: SPPO-D0-800-002 
Issue: D.00 
Date: 15 April 2021 
Page:  14  of 84 

 
 
 

 

페이스파이오니아  사업단의  요구에  의하여  회의내용  및  관련  문서를  확인할  수  있도

록  관리하여야  한다. 

    - Part Identification List에  들어가는  내용은  ECSS-Q-ST-60C rev.2의  Annex B를  따른다. 

    -  세부과제의  주관기관은  APPENDIX  K의  subcontractor와  customer  역할을  동시에  수

행한다.  만약  협동연구기관(공동연구기관,  위탁연구기관  등)에서  납품받는  전기전자

부품이  있다면  이  부품에  대하여  주관기관은  customer  역할을  하며,  협동연구기관은 

subcontractor  역할을  갖는다. 

    -  세부과제  주관기관의  전기전자부품  담당자는  상기  역할을  수행하기  위하여  ECSS-Q-

ST-60C,  ECSS-Q-ST-60-15,  EEE-INST-002  문서  및  연관  문서의  내용을  충분히  이해

하여야  한다. 

 
4.6.  CLEANLINESS & CONTAMINATION CONTROL (
청정도    오염  관리

  -  세부과제  주관기관은  장비/유닛의  개발시  청정도를  고려한  설계하여야  한다. 

  -  설계  베이스라인이  청정도  요구사항과  불일치하는  경우,  설계변경  대상으로  식별하고 

시정조치를  이행하여야  한다. 

  -  세부과제  주관기관은  사용을  목표로  하는  실용위성,  위성개발  프로세스상의  단계,  상

위  서브시스템/유닛에  요구되는  적합한  청정도  및  오염관리  기준을  설정하여야  한다.   

  - Cleanliness Level guidelines 

1)  Unit  including  Mirror,  Lens,  Focal  Plan  and  Contamination  critical  items, 

handling/testing: Cleanroom class 1,000 or better 

2) Other unit handling/testing: Cleanroom class 100,000 or better 

3) General integration/assembly/testing: Cleanroom class 100,000 or better 

  - Outgassing (RML and CVCM) guidelines 

1)  최소  Outgassing  기준은  RML  <1%,  CVCM<0.1%으로  한다.  기준을  초과하는  경우, 

RFA를  작성하고  사용에  대한  정당성(Justification)을  제시하여야  한다. 

2)  오염민감품목  주변  자재의  Outgassing  기준은  다음을  참조한다. 

Mass of material concerned(gram) 

around Room Temp. 

CVCM 

(%) 

RML 

(%) 

>100 

<0.01 

<1 

10 ~ 100 

<0.05 

<1 

<10 

<0.1 

<1 

 

 

 

Mass of material concerned(gram) 

below Room Temp. 

CVCM 

(%) 

RML 

(%) 

>100 

<0.01 

<0.1 

10 ~ 100 

<0.05 

<1 

<10 

<0.1 

<1 


background image

Space Pioneer 

Program

 

Product Assurance Requirements for 

General Unit 

Doc. No: SPPO-D0-800-002 
Issue: D.00 
Date: 15 April 2021 
Page:  15  of 84 

 
 
 

 

 

 

  -  세부과제  주관기관은  제작/조립/시험/보관/운송/궤도임무  기간  동안  세부과제  주관기관

이  설정한  청정도  및  오염관리  기준을  만족하기  위한  관리계획을  수립하여  시행하여

야  한다.  장비/유닛의  클린룸  시설  수준  및  노출시간  등이  청정도  요구사항을  만족하

는  지를  확인할  책임은  세부과제  주관기관에  있다. 

  -  세부과제  주관기관은  조립/운송/위성체  발사장  작업에서  고려하여  할  주의사항

(Precautions)과  조치방안(Provisions)을  제시하여야  한다. 

  -  세부과제  주관기관은  분자오염(Molecular  contamination)을  저감하기  위한  조치로  수행

되는  Bake-out  요건(수행시점/온도/시간)  설정하여야  한다.  오염민감품목의  경우  비행

궤도(In-orbit)에서의  교차오염(Cross-contamination)을  예방하기  위한  궤도상  Bake-out 

요건을  포함하여야  한다. 

  -  청정도  및  오염관리  계획  수립시  APPENDIX L를  참조한다. 

 
4.7.  
소프트웨어  보증(SOFTWARE ASSURANCE) 

  -  소프트웨어  개발을  포함하는  경우,  세부과제  주관기관은  소프트웨어  보증  계획을  수

립하여  시행하여야  한다.  소프트웨어  보증  계획은  PA  계획서의  일부로  작성하거나  별

도  문서로  작성할  수  있다.   

  -  소프트웨어  보증  계획  수립시  APPENDIX M를  참조한다. 

 


background image

Space Pioneer 

Program

 

Product Assurance Requirements for 

General Unit 

Doc. No: SPPO-D0-800-002 
Issue: D.00 
Date: 15 April 2021 
Page:  16  of 84 

 
 
 

 

  APPENDIX A.  제품보증  이행계획서  (PAP)  구성 

 

A.1  일반사항 

  -  PAP  구성요구사항  중  "소프트웨어  보증"과  같이  개발하는  장비/유닛에  포함되지  않는 

경우,  해당  절(Section)은  유지하고  비적용(Not Applicable)으로  본문에  기술한다.   

  -  표지를  포함하여야  한다. 

  -  문서관리  번호(제/개정  번호  포함)를  포함하여야  한다. 

  -  작성자,  세부과제  주관기관책임자(Project Manager),  제품보증책임자(PA Manager)의  서

명을  포함하여야  한다. 

  -  목차를  포함하여야  한다.   

  -  제/개정  이력을  포함하여야  한다. 

-  개정  이력(Rev.,  제개정일자,  제/개정  내용  및  관련  문서위치(Section)  정보)를  포함하여

야  한다. 

 

 

A.2  구성 

 

    A.2.1.  일반사항(GENERAL) 

      -  작성의  목적,  목표  및  이유를  제시한다. 

  [주기]  PAP의  목적은  세부과제  주관기관이  정한  임무목표와  관련하여  우주제품의  품질

을  보장하고  해당  PA  요구사항에  적합함을  입증하기  위해  세부과제  주관기관이  이행

하는  활동을  기술하기  위한  것이다.  사용을  목표로  하는  실용위성  구분,  위성개발  프

로세스상의  단계,  상위  서브시스템/유닛  등에  대한  정보를  포함한다.   

 

      A.2.2. 

관련  문서    참조문서(APPLICABLE  AND  REFERENCE 

DOCUMENTS) 

2.1  관련  문서(Applicable Documents) 

2.2  참조  문서(Reference Documents) 

 

      A.2.3.  제품보증  관리(PA MANAGEMENT) 

 

A.2.3.1  제품보증  조직/인력    업무분장(PA Organization/Personnel and Activities) 

  -  본  문서의  본문  "제품보증  계획(PA  program  planning)"  요구  사항을  충족하기  위해  적

용할  활동,  프로세스  및  절차를  제시한다.  조직/인력(책임과  권한  포함)을  포함하여야 


background image

Space Pioneer 

Program

 

Product Assurance Requirements for 

General Unit 

Doc. No: SPPO-D0-800-002 
Issue: D.00 
Date: 15 April 2021 
Page:  17  of 84 

 
 
 

 

한다. 

  [주기]  해당  제품보증  요구  사항을  충족하기  위해  개발기과에서  적용할  활동,  프로세스 

및  절차를  제시한다. 

 

A.2.3.2  제품보증  이행(PA Implementation) 

          본  문서의  본문  "제품보증계획  이행(PA Plan Implementation)"  요구  사항을  충족하기 

위해  세부과제  주관기관에서  적용할  활동,  프로세스  및  절차를  제시한다. 

 

A.2.3.3  품질보증(Quality Assurance) 

          품질보증을  이행하기  위해  세부과제  주관기관에서  적용할  활동,  프로세스  및  절차

를  제시한다. 

 

A.2.3.4  신뢰성(Reliability) 

          신뢰성  요구사항을  충족하기  위해  적용할  활동,  프로세스  및  절차를  제시한다. 

 

A.2.3.5  안전성(Safety) 

          안전  요구사항을  충족하기  위해  세부과제  주관기관에서  적용할  활동,  프로세스  및 

절차를  제시한다. 

 

A.2.3.6  전기전자부품(EEE Parts) 

          EEE  부품  요구사항을  충족하기  위해  세부과제  주관기관에서  적용할  활동,  프로세

스  및  절차를  제시한다. 

 

A.2.3.7  소재    공정(Materials and Process, M&P) 

          재료  및  공정  요구사항을  충족하기  위해  세부과제  주관기관에서  적용할  활동,  프로

세스  및  절차를  제시한다. 

 

A.2.3.8  소프트웨어  품질보증(Software Assurance) 

          소프트웨어  보증  요구사항을  충족하기  위해  세부과제  주관기관에서  적용할  활동, 

프로세스  및  절차를  제시한다. 

 

A.2.3.9  청정도    오염관리(Cleanliness and Contamination Control) 

          청정도  및  오염관리  요구사항을  충족하기  위해  세부과제  주관기관에서  적용할  활동, 

프로세스  및  절차,  시설을  제시한다. 

 


background image

Space Pioneer 

Program

 

Product Assurance Requirements for 

General Unit 

Doc. No: SPPO-D0-800-002 
Issue: D.00 
Date: 15 April 2021 
Page:  18  of 84 

 
 
 

 

APPENDIX B. PA  현황보고서  (PA STATUS REPORT)  포함내용 

 

B.1  구성 

B.1.1 PA Status Report  문서번호,  개정이력(Rev.000),  보고일자 

 

B.1.2 Milestone status (이행일자,  회의록  관리번호)   

      - Kick off Meeting, Design Review, MRR, TRR, PTR, PSR 

 

B.1.3 EEE Part status 

      -  미승인  부품  status(mitigation plan  포함) 

      - DCL  문서  발행  현황(작성  및  개정  Rev.) 

      - Part Approval Document of EEE Part (PAD) 

 

B.1.4 Material, Mechanical Part, Process status 

      -  미승인  자재/부품/공정  status(mitigation plan  포함) 

      - Request for Approval of M&P(RFA) 

      - DML  문서  발행  현황(작성  및  개정  Rev.) 

      - DMPL  문서  발행  현황(작성  및  개정  Rev.) 

      - DPL  문서  발행  현황(작성  및  개정  Rev.) 

 

B.1.5 Nonconformance status 

      -  사내  별도관리  되는  경우,  관리문서번호로  표시 

 

B.1.6 KIP/MIP status 

 

B.1.7 Critical Items (including mitigation plan status) 

 

B.1.8 PA Documentation Status 

      - FMECA  문서  발행  현황(작성  및  개정  Rev.) 

      - PSA  문서  발행  현황(작성  및  개정  Rev.) 

      - WCA  문서  발행  현황(작성  및  개정  Rev.) 

 


background image

Space Pioneer 

Program

 

Product Assurance Requirements for 

General Unit 

Doc. No: SPPO-D0-800-002 
Issue: D.00 
Date: 15 April 2021 
Page:  19  of 84 

 
 
 

 

      B.2  참조 

 

B.2.1 EEE Part status 

 

B.2.2 Material, Mechanical Part, Process status 

      -  공정검증  대상  식별  및  진행현황 

      -  공정검증  식별  현황,  추가적인  공정검증이  필요한  공정  진행현황을  관리하여야  한

다.  실용위성에서  검증된  이력이  없는  시설/기관에서  이행되는  공정은  비승인  공정으

로  판단되어야  하며,  적절한  공정검증  표준에  따라  공정검증  계획  수립,  계획에  따른 

검증  진행,  결과보고서의  작성을  통해  공정의  적합성을  확보하여야  한다. 

        a.  공정검증  기준으로  사용되는  표준서의  식별 

        b.  공정검증  기준에  따른  적절한  시설,  장비의  식별 

        c.  공정검증  기준에  따른  시편,  시험종류  및  절차,  검사  종류  및  절차  식별 

        d.  공정검증  기준에서  정한  기준을  만족하는  결과에  대한  판단 

 

B.2.3 Nonconformance status 

        세부과제  주관기관의  NCR  관리체계에  따라  발생  이력/조치현황  관리 

 

B.2.4 KIP/MIP status 

        작성문서현황:  계획된  자주검사(KIP,  Key  Inspection  Points)에  따라  이행한  검사결과 

현황  및  생성된  검사보고서  목록(일자,  관리번호,  검사결과  등) 


background image

Space Pioneer 

Program

 

Product Assurance Requirements for 

General Unit 

Doc. No: SPPO-D0-800-002 
Issue: D.00 
Date: 15 April 2021 
Page:  20  of 84 

 
 
 

 

APPENDIX C.  제품보증  양식  (FORMS) 

 

This  section  describes  the  minimum  information  should  be  included  in  the  PA  forms.  The 

Subcontractor can use his own report form if his form includes all the contents of the template 

provided in this Section. 

 

C.1.  변경제안서  (Change Proposal) 

Change Proposal shall include at least following information: 

1  : Document number for change proposal 

2  : Title of change proposal 

3  : Applicable CI number 

4  : Applicable model type (FM, PFM, EM, etc.) 

5  : Applicable serial number 

6  : Class of change (class 1, class 2) 

7  : Affected documents due to this change 

8  : Price influence due to this change 

9  : Schedule influence due to this change 

10 : Description of changes 

11  : Reasons for changes 

12 : Subcontractor

’s CCB approval 

13 : KARI

’s CCB approval   

 

C.2.  면제요청서  (Request for Waiver) 

1  : Document number for RFW 

2  : Title of RFW 

3  : Applicable part number 

4  : Applicable model type (FM, PFM, EM, etc.) 

5  : Applicable serial number 

6  : Document number of drawing or specification for applicable product 

7  : Description of RFW 

8  : Reasons for RFW 

9  : Any adverse effect expected due to this waiver 

10 : Document number for applicable nonconformance report 

11  : Subcontractor

’s MRB approval 


background image

Space Pioneer 

Program

 

Product Assurance Requirements for 

General Unit 

Doc. No: SPPO-D0-800-002 
Issue: D.00 
Date: 15 April 2021 
Page:  21  of 84 

 
 
 

 

12 : KARI

’s MRB approval   

 

C.3.  완화요청서  (Request for Deviation) 

1  : Document number for RFD 

2  : Title of RFD 

3  : Applicable part number 

4  : Applicable model type (FM, PFM, EM, etc.) 

5  : Applicable serial number 

6  : Part number of next assembly 

7  : Document number of drawing or specification for applicable product 

8  : Description of RFD 

9  : Reasons for RFD 

10 : Any adverse effect expected due to this deviation 

11  : Document number for applicable nonconformance report 

12 : Subcontractor

’s CCB approval 

13 : KARI

’s CCB approval   

 

C.4.  부적합보고서  (Nonconformance Report) 

1  : Document number for nonconformance report 

2  : Title of nonconformance report 

3  : Applicable part number 

4  : Applicable model type (FM, PFM, EM, etc.) 

5  : Applicable serial number 

6  : Description of nonconformance 

7  : Classification of nonconformance (major, minor) 

8  : Cause of nonconformance 

9  : Subcontractor

’s MRB disposition proposal 

10 : Any corrective actions proposed by Subcontractor

’s MRB 

11  : Subcontractor

’s MRB approval 

12 : KARI

’s MRB approval   

 

C.5.  전기전자부품  식별목록  (PID ; EEE Part Identification List) 

1  : Part number (commercial equivalent designation) 

2   : Family 

3   : Part type or Electrical function 


background image

Space Pioneer 

Program

 

Product Assurance Requirements for 

General Unit 

Doc. No: SPPO-D0-800-002 
Issue: D.00 
Date: 15 April 2021 
Page:  22  of 84 

 
 
 

 

4   : Package 

5   : Value or range of values with tolerance for non-qualified parts (optional) 

6   : Description of the part 

7   : Component manufacturer / Country 

8  : Generic procurement specification 

9  : Detail procurement specification (with issue and revision for non-qualified parts/commercial 

parts) 

10 : Specification amendment (including issue and revision), 

11 : Name of the procurement agent (CPPA, supplier, distributor), 

12 : Quality level and lot test (ESCC LAT or LVT, MIL TCI or QCI or CI), 

13 : Space qualified status (yes or no), 

14 : RVT (yes or no), 

15 : Reference of the PAD or Justification Document, where required, 

16 : Approval status of the part, 

17 : Change identification between each PIL issue, 

18 : Date

‐code (only for as-built PIL). 

 

C.6.  부품승인문서  (PAD ; Part Approval Documents) 

1  : Doc No - Unique sequential number 

2  : Issue of document 

3   : Date of issue 

4  : Name of project using the part 

5  : Name of the person submitting the PAD 

6  : Name of the company submitting the PAD 

7   : Family - Capacitor, resistor, etc. 

8   : Group - Ceramic, tantalum, etc. 

9  : Part Number in accordance with the procurement specification. It may be generic to cover 

different  range  of  parts.  (e.g. range  of  resistors  or  capacitors  or  variants  for  connectors  & 

accessories) 

10 : Commercial Equivalent Designation 

11 : Technology/Characteristics - Additional details of the components covered by the PAD 

12 : Pure tin free (Y/N) When tin  ≥  97% (inside the component and terminations) 

13 : Generic specification   

14 : Detail specification with issue and revisions only required for non-qualified parts 

15 : Specification Amendment Relevant specification with issue and revisions 


background image

Space Pioneer 

Program

 

Product Assurance Requirements for 

General Unit 

Doc. No: SPPO-D0-800-002 
Issue: D.00 
Date: 15 April 2021 
Page:  23  of 84 

 
 
 

 

16 : Quality level as defined in Section K. 

17 :  Procurement  by  -  Identify  the  name  of  the  company  procuring  the  part.  This  can  be 

Subcontractor himself, CPPA, distributor, or a combination thereof. 

18 : Manufacturer/Country 

19 :  Approval  status  -  Information  about  known  approvals  (EPPL,  ESCC,  ESCC/QML,  MIL, 

MIL/QML, or other approvals / previous usage.) 

20 : Evaluation program required - Y/N as applicable 

21 : Procurement inspections and test - Y/N as applicable 

22 : DPA sample size 

23 :  Complementary  tests  Testing/Inspection  in  addition  to  that  defined  in  the  procurement 

specification shall be identified, e.g. PIND, up screening, 

24 : Lot Acceptance - Identify level and subgroups 

25 : Radiation Hardness Data for Total Dose. 

26 :  Radiation  Hardness  Data  for  SEL  /  SEU  /  SET  /  SEFI  /  SEB  /  SEGR,  others 

– LETth and 

Cross-section, etc. 

27 : Evaluation Test Data reference - Reference of the  test report for  Total Dose,  Single  Event 

Latch up / Single Event Upset / Single Event Transient / Single Event Functional Interrupt / 

Single Event Burn out / Single Event Gate Rupture. Radiation test report shall include data 

source information. 

28 : RVT Radiation Verification Test - Y/N as applicable 

29 : Remarks - Any additional information 

30 : Approval customer - Signature signifies acceptance 

31 : Approval first-level supplier 

 

C.7.  구매규격  (Procurement Specification) 

1  : A description of the purpose, content and the reason prompting its preparation, 

2  : A list of the applicable and reference documents, 

3  : Any additional terms, definitions or abbreviations, 

4  : Absolute maximum ratings, 

5  : Electrical and mechanical parameters and limits, 

6  : Screening, burn-in, and acceptance requirements, 

7  : Package material and lead finish, 

8  : Documentation/data requirements, 

9  : Delta limits when applicable, 

10 : Criteria for percent defective allowable, 


background image

Space Pioneer 

Program

 

Product Assurance Requirements for 

General Unit 

Doc. No: SPPO-D0-800-002 
Issue: D.00 
Date: 15 April 2021 
Page:  24  of 84 

 
 
 

 

11  : LAT or LVT, QCI or TCI, 

12 : Marking, 

13 : Storage requirements, 

14 : Requirements for lot homogeneity, 

15 : Serialization (when applicable), 

16 : Protective packaging and handling requirements, 

17 : Radiation Verification Testing requirements, when applicable. 

 

C.8.  승인요청서  (Request for Approval) 

1  : Document number for materials approval document 

2  : Category of the material (adhesive, screw, etc.) 

3  : Chemical nature of the material 

4  : Material name 

5  : Manufacturer 

6  : Document number of generic specifications 

7  : Document number of detail specification 

8  : Specification amendment information 

9  : Quality level of the material 

10 : Compliance status to the program requirements 

11  : Reference of applicable qualified part list 

12 : Heritage program information 

13 : Environmental condition of application 

14 : Document number of applicable process specification 

15 : Description of application 

16 : Rational for application of the material (In case of noncompliant material) 

17 : Plan for supplementary verification 

18 : Deliverable documents list 

19 : Subcontractor

’s MPCB approval 

20 : KARI

’s PMPCB approval   

 

C.9.  재료  식별목록  (Materials Identification List) 

1  : Document number for materials identification list 

2  : Part number of EI 

3  : Revision status 

4  : Part number of the material 


background image

Space Pioneer 

Program

 

Product Assurance Requirements for 

General Unit 

Doc. No: SPPO-D0-800-002 
Issue: D.00 
Date: 15 April 2021 
Page:  25  of 84 

 
 
 

 

5  : Materials name 

6  : Description of the material 

7  : Document number of specifications 

8  : Chemical nature of the material 

9  : Application purpose 

10 : The location where the material is used 

11  : TML characteristics 

12 : CVCM characteristics 

13 : Reference of outgassing information 

14 : Document number of applicable process specification 

 

C.10.  공정  목록  (Process List) 

1  : Document number for process list 

2  : Part number of EI 

3  : Revision status 

4  : Name of the process 

5  : Description of the process 

6  : Document number of process specification 

7  : Main parameter of the specification 

8  : Application Purpose 

9  : The location where the material is used 

10 : Flight materials used in the process 

11  : Process heritage or qualification information 


background image

Space Pioneer 

Program

 

Product Assurance Requirements for 

General Unit 

Doc. No: SPPO-D0-800-002 
Issue: D.00 
Date: 15 April 2021 
Page:  26  of 84 

 
 
 

 

APPENDIX D.  프로그램  검토회의  (PROGRAM REVIEW)  수행 

 

The Subcontractor shall maintain a review process for the End Product. This review process will 

consist of Design Reviews, MRR, TRR, and PSR. 

The Subcontractor shall notify Customer (Satellite System Integrator) of the agenda 15 working 

days before scheduled meeting. 

In  case  Customer  (Satellite  System  Integrator)  participates  in  the  reviews,  Customer  (Satellite 

System Integrator) shall have the right to make a 

“Go” or “No Go” decision.   

Meeting  minutes  and  action  items  from  the  reviews  shall  be  documented  and  provided  to 

Customer (Satellite System Integrator). 

 

D.1. DESIGN REVIEWS 

The  PDR  and  CDR  shall  evaluate  the  ability  of  the  End  Product  to  meet  the  program 

requirements such as PAR, equipment specification, and interface control documents. 

For  the  End  Product  which  is  already  developed  and  qualified  in  the  previous  program,  ESR 

may substitute for Design Reviews.   

During the review process, at least the following information shall be provided: 

a. Compliance status to the design requirements including qualification status 

b. Schematics or major characteristics of the design 

c. Analysis results 

 

D.2. MANUFACTURING READINESS REVIEW 

The MRR shall evaluate the preparedness of the Subcontractor’s manufacturing processes for 

fabricating the End Product to the standards described by this PAR. During the review process, 

at least the following information shall be provided: 

a. Configuration status 

b. Manufacturing flow and instruction for critical process 

c. Any design changes form the CDR baseline 

 

D.3. TEST READINESS REVIEW 

The TRR shall evaluate the preparedness of End Products and 

the Subcontractor’s processes 

for  the  testing  of  End  Product  to  the  applicable  specifications.  During  the  review  process,  at 

least the following information shall be provided: 

a. Configuration status 


background image

Space Pioneer 

Program

 

Product Assurance Requirements for 

General Unit 

Doc. No: SPPO-D0-800-002 
Issue: D.00 
Date: 15 April 2021 
Page:  27  of 84 

 
 
 

 

b. Nonconformance status 

c. Compliance Matrix which shows test criteria and specification requirements 

d. Test procedures 

 

D.4. PRE-SHIP REVIEW 

The PSR shall evaluate compliance to the applicable requirements and the completeness of the 

activities required by the contract. During the review process, at least the following information 

shall be provided: 

a. Summary of open actions during contract period 

b. Requirement compliance status 

c. EIDP documents 

d. Configuration status 

e. Nonconformance status 

f. Acceptance test and analysis results 

g. Contractual deliverable status 

h. Visual inspection of the End Product 

 

D.5. ASSURANCE STATUS REPORTS 

The  Subcontractor  shall  report  periodically  on  the  status  of  the  PA  Program  as  part  of  the 

progress  report.  The  following  subjects  shall  be  addressed  in  the  progress  report  as 

appropriate: 

a. Significant or unsolved PA issues 

b. Summary of waiver and deviation requests 

c. Summary of nonconformance and failures 

d. Summary of configuration changes 

e. Summary of key inspection and test activities 

f. Status summary of PAD, RFA, and nonconventional processes 

g. Change summary of EEE part, materials, and processes list 

h. Results of trend analyses and alerts surveys 

i

. Status of procurement and Supplier’s PA Program 


background image

Space Pioneer 

Program

 

Product Assurance Requirements for 

General Unit 

Doc. No: SPPO-D0-800-002 
Issue: D.00 
Date: 15 April 2021 
Page:  28  of 84 

 
 
 

 

APPENDIX E.  부적합관리  (NONCONFORMANCE CONTROL) 

 

E.1. GENERAL 

The  Subcontractor  shall  establish  and  maintain  a  nonconformance  control  system  in  order  to 

track nonconformances systematically and to prevent reoccurrence. The system shall provide a 

disciplined  approach  to  the  identification  and  segregation  of  nonconforming  items,  recording, 

reporting,  review,  and  disposition  of  nonconformances,  and  the  implementation  of  corrective 

actions. 

Overstress  analyses  are  required  for  nonconformances  which  occur  during  the  unit  test  or 

during operation susceptible to overstress of other components. 

All nonconformances shall be closed prior to product shipment. 

 

E.2. NONCONFORMANCE 

 

E.2.1. Nonconformance Classification 

Nonconformances  shall  be  classified  into  minor  or  major  on  the  basis  of  the  severity  of  their 

consequences. 

Major nonconformances are those with possible impact on: 

A. Unit performance including life duration, environmental compatibility, etc. 

B. Unit interfaces or environmental characteristics such as thermal, vibration, RF, EMC, etc. 

C. Unit reliability, especially due to the part problem. 

D.  Unit  operation  such  as  impacts  on  the  operation  manual,  additional  operational  constraints, 

etc. 

Disposition  of  the  major  nonconformances  shall  be  submitted  to  Customer  (Satellite  System 

Integrator)’s MRB for review and approval before implementation. 

Minor nonconformances are all other nonconformances which are not classified as major. 

Minor  nonconformances  may  be  disposed  and  implemented  at  Subcontractor  level,  but  it's 

disposition  status  shall  be  provided  for  Customer  (Satellite  System  Integrator)  with  the 

Nonconformance Status List. 

 

E.2.2. Nonconformance Report 

Nonconformance  shall  be  recorded  directly  on  formal  report  forms  at  the  time  of  observation. 

Interim  records  such  as  scratch  pads  and  notebooks  are  prohibited.  Voiding  of  a  recorded 

discrepancy shall be accomplished without destruction of the record or its legibility. 


background image

Space Pioneer 

Program

 

Product Assurance Requirements for 

General Unit 

Doc. No: SPPO-D0-800-002 
Issue: D.00 
Date: 15 April 2021 
Page:  29  of 84 

 
 
 

 

A  nonconformance  report  shall  contain  sufficient  data  for  the  complete  identification  of  non-

conforming item, the description of nonconformances, the status of related actions, and analysis 

of nonconformances. 

In  case  of  minor  nonconformances,  the  Subcontractor  may  use  his  own  document  form  and 

control system. But in case of major nonconformances, the Subcontract

or’s report shall include 

all the contents provided in APPENDIX C.   

The  inspection  status  and  identification  of  nonconforming  items  shall  be  documented  at  the 

point  and  time  of  discovery  in  the  item’s  document  folder  and  shal   be  immediately  subject  to 

review. 

List  of  all  nonconformances  and  the  major  nonconformance  report  shall  be  submitted  to 

Customer (Satellite System Integrator) and all nonconformance report shall be kept available by 

Customer 

(Satellite System Integrator) at the Subcontractor’s facilities. 

 

E.3. MATERIAL REVIEW BOARD 

Major nonconformances shall be reviewed and disposition taken by a formal MRB, established 

at all contractual levels. 

A  member  of  the  Subcontractor’s  PA  organization  shall  act  as  chairman.  And  an  approved 

member of the Subc

ontractor’s engineering organization shall be responsible for reviewing the 

nonconformances and making decisions on the engineering aspects of such nonconformances. 

The  Subcontractor’s  MRB  shall  submit  the  review  results  of  major  nonconformances  to 

Customer 

(Satellite  System  Integrator)’s  MRB  with  the  proposed  disposition  for  approval  by 

Customer 

(Satellite System Integrator)’s MRB. 

 

E.4. NONCONFORMANCE STATUS LIST 

The  Subcontractor  shall  maintain  the  list  of  nonconformances  for  the  contracted  item.  This  list 

shall identify the status of each nonconformance. 

The  status  of  all  nonconformances shall  be  reported  to  Customer  (Satellite  System  Integrator) 

through assurance status reports. 

 

E.5. ALERT INFORMATION 

The Subcontractor shall provide Customer (Satellite System Integrator) with selected alerts that 

document problems related with deliverable flight item as reported by the GIDEP, ESA alert, or 

the equivalent from the Subcontractor’s country, if applicable. 


background image

Space Pioneer 

Program

 

Product Assurance Requirements for 

General Unit 

Doc. No: SPPO-D0-800-002 
Issue: D.00 
Date: 15 April 2021 
Page:  30  of 84 

 
 
 

 

APPENDIX F.  형상관리  (CONFIGURATION MANAGEMENT) 

 

다음은  국내  실용위성에서  요구하고  있는  형상관리  요구사항의  예시이다.  위성  시스템  레벨

의  피드백은  개별  위성개발  과제와  연동되어야  하므로  본  과제의  범위를  넘어선다.  세부과

제  주관기관은  본  과제에서  이행되지  않는  부분에  대해서서는  모사  검증  등  적절한  대안을 

수립하여  시행한다.   

        [주기] Subcontractor는  세부과제  주관기관으로  해석한다.   

        [주기]  납품은  개발종료로  해석한다.     

 

국내  실용위성급  형상관리  요구사항의  예시는  다음과  같다. 

 

F.1. GENERAL 

The  Subcontractor  shall  maintain  a  Configuration  Management  program  to  identify  CIs,  to 

control any changes, and to account for the configuration status of each CI. 

The  Subcontractor  shall  appoint  a  person  to  be  responsible  for  the  implementation,  operation 

and monitoring of the program configuration and data management. 

 

F.2. CONFIGURATION IDENTIFICATION 

Configuration  identification  shall  incrementally  establish  and  release  controlled  documentation 

for the purpose of identifying configuration characteristics of the End Item until it is fully defined 

with  respect  to  its  intended  functional,  performance  and  physical  characteristics,  thereby 

ensuring the continuous integrity of the product configuration. 

Documents necessary for Configuration Identi

fication shal  be presented at the Subcontractor’s 

key  review  described  in  Section  3.5.  If  the  documents  are  approved,  this  will  form  the 

configuration baselines. 

The CIs shall be developed and maintained through distinct sequential levels of detail: 

a.  The  functional  baseline  is  identified  by  the  overall  performances,  interfaces,  and  design 

requirements.  The  contract,  equipment  specification  by  Customer  (Satellite  System 

Integrator),  and  SOW  shall  consist  of  a  functional  baseline.  This  baseline  will  be 

established at the contract. 

b.  The  development  baseline  is  identified  by  the  technical  specifications  written  by  the 

Subcontractor  for  his  top  level  and  lower  level  CIs  to  satisfy  the  functional  baseline 

requirements. The Subcontractor’s development specifications and engineering documents 

at  Design  Reviews  shall  consist  of  a  development  baseline.  This  baseline  will  be 


background image

Space Pioneer 

Program

 

Product Assurance Requirements for 

General Unit 

Doc. No: SPPO-D0-800-002 
Issue: D.00 
Date: 15 April 2021 
Page:  31  of 84 

 
 
 

 

established at Design Reviews. 

c.  The  production  baseline  is  identified  by  the  released  detailed  solution  for  FM  production, 

testing, and operation. Drawings, associated  lists, and work instructions together with test 

procedures shall consist of a production baseline. This baseline will be established at MRR. 

Baselines  and  approved  changes  from  those  baselines  constitute  the  current  configuration 

identification. 

 

F.3. CONFIGURATION CONTROL 

The  Subcontractor  shall  maintain  a  configuration  control  system  by  which,  any  change  or 

relaxation  to  the  configuration  identification  of  a  CI  after  formal  establishment  of  its  baselines, 

will be identified, evaluated, classified, justified, approved and implemented or rejected. 

 

F.3.1. Change Classification   

Any  change  between  Customer  (Satellite  System  Integrator)  and  the  Subcontractors  shall  be 

classified into Class 1 or Class 2. The criteria for change classification are described herein. 

Class  1  changes  impact  the  contractual  or  technical  agreement  reached  between  Customer 

(Satellite System Integrator) and the Subcontractor. In particulate, any of the following changes 

will have a definite impact on the agreement: 

a. Functions,  performances,  and  weight  as  defined  in  the  contract,  specifications,  and  SOW 

requirements 

b. Safety, reliability, and maintainability 

c. Interface control requirements 

d. Interchangeability of any item if the item has already been delivered 

e. Any delivered technical manuals 

f. Costs and schedule 

Class  1  changes  shal   be  submitted  to  Customer  (Satel ite  System  Integrator)’s  CCB  for 

review and approval before implementation. 

- Class 2 changes are those which are not classified as Class 1, but those are necessary to 

meet technical and contractual requirements and provisions.   

Class  2  changes  may  be  implemented  after  Subcontractor’s  CCB  approval,  but  shall  be 

forwarded to Customer (Satellite System Integrator) for information. 

 

F.3.2. Configuration Control Board   

The  Subcontractor’s  CCB,  chaired  by  the  program  manager  or  his  designee,  shall  be 

responsible for the following activities: 


background image

Space Pioneer 

Program

 

Product Assurance Requirements for 

General Unit 

Doc. No: SPPO-D0-800-002 
Issue: D.00 
Date: 15 April 2021 
Page:  32  of 84 

 
 
 

 

a. Review, evaluate, classify, and process all changes proposed. 

b. Direct activities to accommodate Cus

tomer (Satellite System Integrator)’s change requests. 

c. Direct activities necessary to implement approved changes. 

The  Subcontractor’s  CCB  authority,  membership,  and  procedures  shall  be  defined  in  the  PA 

Program Plan. 

 

F.3.3. Change Documentation   

The Subcontractor may initiate the change procedure with the following change documents: 

a.  Change  Proposal  :  The  document  used  by  the  Subcontractor,  either  in  response  to  a 

Change  Request  or  on  its  own  initiative,  to  propose  a  change  in  the  current  approved 

configuration identification. 

In case of a Class 2 change proposal, the Subcontractor may use his own document form and 

control  system.  But  in  case  of  a  Class  1  Change  Proposal,  the  Subcontractor’s  form  shal  

include all the contents provided in APPENDIX C, and shall contain all information, drawings, 

and justifications.   

The Class 1 Change Proposal shall be submitted to Customer (Satellite System Integrator)’s 

CCB for approval. 

b.  Request  for  Waiver  (RFW)  :  This  aims  to  cover  a  nonconformance  discovered  during 

manufacturing  or  test  of  an  item,  which  has  been  proposed  suitable  for  use  by  the 

Subcontractor’s  MRB.  This  shal   be  submitted  with  a  nonconformance  report  and  MRB 

dispositions. 

c. Request for Deviation (RFD) : This will be submitted to depart from a requirement, prior to 

manufacture  and  test  of  an  item.  When  approved,  deviations  will  be  part  of  the 

configuration baseline of the CIs. 

Incorporation  of  changes  into  any  document  shall  be  carried  out  by  the  Subcontractor 

responsible for the issuing of the document.   

The document change log sheet shall clearly identify references to Change Proposals. 

 

F.4. INTERFACE CONTROL DOCUMENTS 

For  each  End  Product,  the  Subcontractor  shall  provide  Customer  (Satellite  System  Integrator) 

with ICDs including as a minimum the following: 

a. Electrical ICD : Power, primary secondary switching diagrams, protection characteristics of 

each  function,  connectors  list  and  electrical  characteristics  of  the  signals  on  each  pin  of 

each connector, etc. 

b.  Command  and  Telemetry  ICD  :  Command  and  telemetry  characteristics,  points,  type, 


background image

Space Pioneer 

Program

 

Product Assurance Requirements for 

General Unit 

Doc. No: SPPO-D0-800-002 
Issue: D.00 
Date: 15 April 2021 
Page:  33  of 84 

 
 
 

 

mnemonics, transfer function, bits and status meaning, etc. 

c.  Mechanical  ICD  :  Geometry,  dimensions,  fixings,  weight,  inertia,  and  position  of  center  of 

gravity, etc. 

d. Thermal ICD : Thermal characteristics. 

When  approved  by  Customer  (Satellite  System  Integrator),  ICD  become  a  requirement  for  the 

Subcontractor. Then, any change to approved ICDs shall be processed as a Class 1 change. 

At lower levels, any Lower Tier Subcontractor having design authority over an interface between 

CIs  is  responsible  for  the  control  of  those  interfaces  and  required  to  establish  ICDs  to  control 

them. 

 

F.5. CONFIGURATION STATUS ACCOUNTING 

The  Subcontractor  shall  implement  a  status  accounting  system  capable  of  maintaining  and 

verifying  the  configuration  and  change  status  of  all  deliverable  equipment  for  which  he  has 

design responsibility. 

The major elements to be provided are the following documents: 

a.  CIDL  :  The  CIDL  shall  describe  current  issue  and  revision  of  documents  and  approved 

changes. CIDL shall include : 

- Basic CI information 

- Requirements data list : Documents concerning the functional baseline. 

- Specifications data list : Documents concerning the development baseline 

- Design data list : Documents concerning the production baseline. 

-  Operations  support  data  list  such  as  transportation,  handling,  storage,  installation, 

operation, calibration, maintenance, users manuals, etc. 

b.  ABCL  :  The  ABCL  will  list  the  relevant  applicable  production  baseline  and  the  approved 

waivers  for  this  baseline,  and  will  establish  the  actual  composition  of  the  CI  by  hardware 

identification number. 

 

F.6. CONFIGURATION VERIFICATION 

The Subcontractor is responsible for the configuration verification of each deliverable CI:   

a. Comparison between the as designed configuration and the as-built and tested configuration 

b. Justification of any differences 

Customer  (Satellite  System  Integrator)  will  verify  configuration  of  a  CI  during  program  reviews 

and MIP. 

 


background image

Space Pioneer 

Program

 

Product Assurance Requirements for 

General Unit 

Doc. No: SPPO-D0-800-002 
Issue: D.00 
Date: 15 April 2021 
Page:  34  of 84 

 
 
 

 

F.7. DOCUMENTATION MANAGEMENT 

The Subcontractor shall establish a data center and maintain applicable data during the mission 

life of the End Product. 

Each Subcontractor shall maintain a documentation management system to: 

a. Maintain a database for all documents produced under the contract, 

b. Verify that all documents required in the SOW are produced and delivered, 

c. Introduce approved changes in the baseline documents, 

d. Set up a receipt, recording, and dispatch system for all the program documents. 

For each document, a change log sheet shall be provided to list the different issues with dates, 

information about the reason for modification or the incorporated Change Proposal. 


background image

Space Pioneer 

Program

 

Product Assurance Requirements for 

General Unit 

Doc. No: SPPO-D0-800-002 
Issue: D.00 
Date: 15 April 2021 
Page:  35  of 84 

 
 
 

 

APPENDIX G.  품질보증  (QUALITY ASSURANCE) 

 

G.1. GENERAL 

The  Subcontractor  shall  maintain  a  QA  system  consistent  with  ISO  9001  or  equivalent 

standards. 

Customer  (Satellite  System  Integrator)  shall  have  the  right  to  verify  conformity  of  the 

Subcontractor's  Quality  System  or  to  verify  the  product  in  accordance  with  the  specified 

requirements at the Subcontractor's facilities and/or his Supplier's facilities. 

 

G.2. QUALITY ASSURANCE SYSTEM 

 

G.2.1. Quality Assurance Program 

The  Subcontractor  shall  implement  and  maintain  a  QA  program  to  ensure  that  appropriate 

quality requirements are established and implemented to verify progress and to ensure prompt 

detection  and  correction  of  deficiencies.  This  program  shall  include  the  items manufactured  or 

processed  by  the  Subcontractor,  as  well  as  items  procured  from  Suppliers  or  Lower  Tier 

Subcontractors. 

Design  rules  and  methods  shall  be  consistent  with  this  PAR.  Fabrication,  integration,  testing, 

and maintenance are conducted in a controlled manner such that the End Item conforms to the 

applicable requirements. 

The Subcontractor shall prepare a Quality Manual covering the requirements of this document. 

The Quality Manual shall include or reference the Quality System procedures. 

The Supplier and Lower Tier Subcontractor shall ensure that the Quality System procedures are 

readily  available  to  Subcontractor's  personnel,  who  are  responsible  for  ensuring  compliance 

with requirement, and to Customer (Satellite System Integrator). 

 

G.2.2. Organization 

A  QA  manager  shall  be  assigned  and  shall  manage  the  program  to  ensure  compliance  with 

quality requirements outlined in this PAR. 

The Subcontractor shall define and document the responsibility and authority of personnel who 

perform  work  affecting  quality  for  ensuring  that  the  Quality  System  is  established,  effectively 

implemented, and maintained. 

 


background image

Space Pioneer 

Program

 

Product Assurance Requirements for 

General Unit 

Doc. No: SPPO-D0-800-002 
Issue: D.00 
Date: 15 April 2021 
Page:  36  of 84 

 
 
 

 

G.2.3. Personnel Training   

The Subcontractor shall maintain a training program to ensure adequate skill level conforms to 

End  Product  requirements.  Training  shall  be  emphasized  for  the  tasks  which  affect  the  quality 

and reliability of the End Product being procured. 

Training records for personnel affecting quality shall be maintained. 

 

G.2.4. Personnel Certification 

The Subcontractor shall maintain a system of personnel certification covering activities such as 

welding, soldering, connector assembly, assembly, bonding, potting, plating, cleaning, NDT, and 

other activities requiring special skills. Only certified personnel shall perform the above activities. 

The  certification  shall  be  issued  in  accordance  with  applicable  MIL,  ESA,  or  equivalent 

specifications. 

 

G.3. PURCHASING AND PROCUREMENT 

The Subcontractor shall establish adequate controls for the procurement of hardware, software, 

and  services.  The  control  of  procurement  activity  includes  selection  of  procurement  sources, 

control of purchase documents, surveillance of Suppliers and control of incoming items. 

 

G.3.1. Supplier and Lower Tier Subcontractor Control 

The Subcontractor shall  impose the requirements in this  PAR on his  Suppliers and  Lower Tier 

Subcontractors as appropriate. 

The Subcontractor shall be responsible for implementing and maintaining an effective system of 

control  over  his  procurement  sources  to  ensure  that  hardware,  software,  and  services 

purchased for the program meet the requirements outlined in this PAR. 

The Subcontractor shall ensure that all purchased special processes and personnel are properly 

certified in accordance with the requirements of this PAR. 

 

G.3.2. Source Inspection 

The Subcontractor shall exercise surveillance over all the activities carried out by his Suppliers 

and Lower Tier Subcontractors during the contract period. 

The  Subcontractor  shall  ensure  that  each  of  his  Suppliers  implements  adequate  surveillance 

over their lower level Suppliers, in accordance with this PAR. 

Purchased products shall be verified upon receipt or at his Supplier's facility before shipment. 

 


background image

Space Pioneer 

Program

 

Product Assurance Requirements for 

General Unit 

Doc. No: SPPO-D0-800-002 
Issue: D.00 
Date: 15 April 2021 
Page:  37  of 84 

 
 
 

 

G.3.3. Procurement documents 

The  Subcontractor  shall  ensure  that  supplies  are  precisely  identified  and  that  all  applicable 

requirements are properly defined in the procurement documents. 

The  Subcontractor  shall  ensure  that  requirements  contained  in  lower  tier  procurement 

documents are traceable and can be demonstrated. 

 

G.4. PRODUCT TRACEABILITY 

 

G.4.1. Product Identification and Traceability 

The Subcontractor shall establish and maintain documented procedures for identifying a product 

or  lot  by  suitable  means  from  receipt  and  during  all  phases  of  production,  delivery,  and 

installation. All similar assemblies and subassemblies shall be serialized. 

The  Subcontractor’s  system  shall  be  capable  of  retrieving  the  identification  and  serialization 

record  at  the  subassembly  level.  It  shall  also  be  capable  of  retrieving  fabrication  and  test 

records  of  identifiable  articles,  materials,  and  parts  in  the  event  verification  of  the  articles, 

materials, or parts becomes necessary. 

 

G.4.2. Photographic Identification 

Prior  to  final  closure  of  subassemblies  and  assemblies,  a  color  photograph  shall  be  taken  to 

identify the location and presence of parts therein. 

The  photograph  shall  be  of  sufficient  clarity  to  enable  the  viewer  to  readily  identify  part 

identification  and  location.  The  photograph  shall  be  identified  with  the  applicable  part  number, 

revision, serial number, and date. 

If  the  assembly  is  reopened  for  rework  or  adjustments  and  the  validity  of  the  photograph 

affected, an additional photograph shall be taken. 

A copy of these photographs shall be included in the EIDP. 

 

G.5. INSPECTION AND TEST 

The  Subcontractor  shall  plan  inspections  and  tests  during  manufacturing,  assembly  and 

integration  process  where  maximum  assurance  for  correct  processing  and  prevention  of 

unrecoverable or costly nonconformance can be obtained. 

The  Subcontractor  shall  perform  formal  inspection  at  critical  process,  called  KIP  inspections. 

These shall verify that all the actions have been completed and the product satisfies applicable 

requirements. 

Among  the  inspections  and  tests,  some  selected  inspections  which  is  critical  to  performance 


background image

Space Pioneer 

Program

 

Product Assurance Requirements for 

General Unit 

Doc. No: SPPO-D0-800-002 
Issue: D.00 
Date: 15 April 2021 
Page:  38  of 84 

 
 
 

 

and schedule, shall be performed by Customer (Satellite System Integrator) . This is called MIP 

inspection. MIP inspection plan shall be agreed with Customer (Satellite System Integrator) and 

described in the manufacturing flow diagram. 

 

G.5.1. Receiving Inspection and Test 

The  Subcontractor  shall  perform  receiving  inspections  and  tests  to  verify  that  parts  and 

materials conform to the requirements of this PAR. The Subcontractor shall inspect the product 

to ensure that it conforms to applicable procurement document. 

Receiving  inspection  shall  be  performed  in  accordance  with  a  pre-planned  checklist.  The 

checklist shall describe item characteristics and its expected criteria. 

 

G.5.2. In-Process Inspection and Test 

The Subcontractor shall perform in-process inspection and test surveillance operations to verify 

compliance with engineering and manufacturing requirements.   

Inspection  shall  be  planned  at  points  in  the  fabrication  and  test  cycle  where  subsequent 

manufacturing operations would make any previous operations difficult to inspect. 

Each inspection points shall be defined as a specific step in the assembly traveler documents. 

Among  these  inspections,  KIP/MIP  shall  be  described  in  the  manufacturing  flow  diagram.  And 

the Subcontractor shall notify Customer (Satellite System Integrator) of KIP/MIP event. 

Prior to shipment, the Subcontractor shall perform formal inspections and tests of End Products 

to  ensure  that  they  conform  to  applicable  drawings  and  specifications  with  respect  to 

configuration, performance, construction, workmanship, and identification. 

Test equipment and setups shall be verified to be of proper configuration as required by the test 

procedure and to have valid calibration and certification status. 

The Subcontractor shall establish controls which shall identify and physically segregate rejected 

items  from  conforming  items.  Also,  he  shall  establish  controls  for  conditionally  accepted  items 

which  will  allow  tracking  through  assembly  and,  if  required,  retrieval  of  such  items  to  prevent 

shipment in the End Product. 

 

G.5.3. Acceptance Test 

The  Subcontractor  shall  perform  acceptance  test  to  verify  compliance  with  contractual 

performance requirements.   

Acceptance  test  shall  verify  environmental  compatibility  of  the  End  Product  as  required  by 

contract documents. 

Acceptance test result shall be certified by the Subcontractor Quality Manager and approved by 


background image

Space Pioneer 

Program

 

Product Assurance Requirements for 

General Unit 

Doc. No: SPPO-D0-800-002 
Issue: D.00 
Date: 15 April 2021 
Page:  39  of 84 

 
 
 

 

Customer (Satellite System Integrator) before unit shipment. 

 

G.5.4. Equipment Calibration 

The Subcontractor shall maintain a calibration system in accordance with the applicable MIL or 

ESA requirements. 

Records of calibration shall be maintained and made available for review by Customer (Satellite 

System Integrator) upon request. 

 

G.6. CONTROL OF FABRICATION 

 

G.6.1. Work Instruction 

The  Subcontractor’s  production  operations  shall  be  accomplished  through  controlled  and 

documented  work  instructions.  This  instruction  shall  be  clear,  complete,  and  current  and  shall 

indicate the proper methods, tooling, location, and equipment required to accomplish the work. 

In  case  specific  process  specification  is  applicable,  the  instruction  shall  follow  applicable 

specification. 

Work instruction for the hardware assembly will be a traveler document. 

Applicable  instructions  and  aids  shall  be  located  in  the  work  areas  and  personnel  shall  be 

familiar with the pertinent contents. 

The  Subcontractor  Quality  System  shall  provide  for  effective  review  and  update  of  work 

instructions and specifications to assure compliance with contract requirements. 

 

G.6.2. Manufacturing Flow Diagram 

For  each  type  of  deliverable  End  Product,  the  Subcontractor  shall  prepare  and  maintain  a 

manufacturing flow diagram identifying manufacturing and inspection operations. 

The  Subcontractor  shall  establish  the  KIP  and  MIP  on  the  manufacturing  flow  diagram  and 

provide  this  to  Customer  (Satellite  System  Integrator)  for  concurrence.  These  shall  include 

visual as well as mechanical inspections and tests as appropriate. 

 

G.6.3. Manufacturing Flow Control 

In  order  to  ensure  quality  uniformity,  the  following  practices  shall  be  implemented  by  the 

Subcontractor and his Suppliers: 

a.  In  general,  once  installed  and  inspected,  a  piece  part,  other  than  mechanical  fasteners, 

shall not be reinstalled in deliverable hardware. 

b. An inspection per process specification and drawing requirements shall be performed and a 


background image

Space Pioneer 

Program

 

Product Assurance Requirements for 

General Unit 

Doc. No: SPPO-D0-800-002 
Issue: D.00 
Date: 15 April 2021 
Page:  40  of 84 

 
 
 

 

surveillance  of  equipment  and  personnel  certification  and  compliance  with  process 

specifications instructions will be checked on a periodic basis. 

c. Store surveillance shall be performed to verify that handling, packaging, and environmental 

requirements is complied, and to verify that part type segregation is being implemented. 

d.  Completed  work  shall  be  inspected  prior  to  cover-up  the  assembly  and  prior  to assembly 

traveler  closeout  as  a  minimum.  Major  inspection  points  shall  be  delineated  in  flow 

diagrams for electronic hardware. 

e. Special verification of polarized capacitors is required prior to power on. In addition, polarity 

shall  be  verified  by  voltage  measurement  at  first  power  on.  All  capacitors  require 

discharging before installation. 

f.  All  feed  through  filters  shall  be  tested  for  insulation  resistance  after  installation  and  the 

actual reading recorded on the assembly traveler. 

g.  Threaded  fasteners  shall  be  torqued  to  the  values  specified  on  assembly  drawings  or 

travelers. 

h.  All  socket  contacts  shall  have  the  separation  force  measured  and  all  removable  type 

contacts shall have a contact retention test performed to be assured of locked in contacts. 

Separation forces for all connector types shall be measured after conditioning. 

i. ESD protective dust caps shall be installed and  delivered on external connectors. For high 

sensitivity ESD units, grounded shorting plugs are suggested. 

j. Flight hardware connectors which interface to GSE shall be protected by connector savers. 

k. The Subcontractor shall maintain accountability and configuration control of all parts during 

all phases of production. 

 

G.6.4. Handling 

The  contractor  shall  prevent  handling  damage  during  all  phases  of  manufacturing,  assembly, 

integration, testing, storage, transportation and operation, through the use of followings: 

a. Protective measure during handling, 

b. Handling devices, and 

c. Procedures and instructions. 

 

G.6.5. Storage 

The contractor shall have secure storage areas available for: 

a. Incoming materials, 

b. Intermediate items needing temporary storage, and 

c. End Items before shipping. 


background image

Space Pioneer 

Program

 

Product Assurance Requirements for 

General Unit 

Doc. No: SPPO-D0-800-002 
Issue: D.00 
Date: 15 April 2021 
Page:  41  of 84 

 
 
 

 

Limited-life  materials,  suspended  limited-life  materials,  nonconforming  items  awaiting  MRB 

disposition,  scrap  items  and  all  other  items  which  are  designated  to  be  stored  separately  for 

health  or  safety  reasons,  shall  be  placed  in  segregated  areas  within  the  storage  area.  Each 

segregated area within the stores shall be clearly identified and labeled. 

Controls  shall  be  maintained  over  acceptance  into  and  withdrawal  from  the  storage  area. 

Records shall be maintained to ensure that all stored items are within the usable life limits and 

adequately controlled and retested, and to provide traceability within the storage area. 

 

G.6.6. Preservation 

The  Subcontractor  shall  ensure  that  items  subject  to  deterioration,  corrosion  or  contamination 

through  exposure  to  air,  moisture  or  other  environmental  elements  are  preserved  by  methods 

that ensure maximum protection consistent with life and usage. 

 

G.6.7. Packaging 

The  container  and  packaging  condition  shall  protect  delivered  hardware  from  the  external 

environmental variation or events. The packaging condition for transportation shall consider the 

following items: 

a. ESD protective measure for the electronic End Product 

b. Environmental monitoring provisions such as humidity, shock, etc. 

c. Use of double bag to maintaining cleanliness 

d

. Subcontractor’s QA seal after final inspection before shipment 

e. Use of reusable container box is recommended. 

 

G.6.8. Electrostatic Discharge Control 

The Subcontractor shall implement an ESD control program based on the requirements of MIL-

STD-1686 and MIL-HDBK-263 as a guide. All ESD sensitive parts shall be shipped in protective 

packages with clear indication of the part’s ESD sensitivity. 

Handling  and  protective  procedures  are  to  be  documented  in  the  Subc

ontractor’s  fabrication, 

inspection and process procedures. Procedures shall have instructions for the use of equipment, 

tools  and  materials,  operating  guidelines,  approved  packaging  materials,  and  ESD  controlled 

workstation requirements for the handling and protection of ESD sensitive electronic parts. 

 

G.7. END ITEM DATA PACKAGE 

The  Subcontractor  shall  prepare  legible  and  reproducible  EIDP  for  each  deliverable  End  Item 

under  the  contract  as  described  by  this  PAR.  Each  EIDP  shall  be  reviewed  by  Subcontractor 


background image

Space Pioneer 

Program

 

Product Assurance Requirements for 

General Unit 

Doc. No: SPPO-D0-800-002 
Issue: D.00 
Date: 15 April 2021 
Page:  42  of 84 

 
 
 

 

personnel  for  accuracy,  content,  and  legibility  prior  to  submittal  to  Customer  (Satellite  System 

Integrator).   

The major contents of the EIDP shall be submitted to Customer (Satellite System Integrator) for 

review at least 10 working days prior to the PSR. 

During  the  PSR,  the  EIDP  shall  be  presented  to  a  Customer  (Satellite  System  Integrator) 

representative  for  review  along  with  the  deliverable  item  and  shall  be  approved  by  review 

members. The PSR shall be held after final acceptance of the item by the Subcontractor QA and 

prior to shipment.   

Final acceptance of the item shall be contingent upon the acceptability of the EIDP at Customer 

(Satellite System Integrator). 

Each data package shall be bound, divided into these sections and completed in this order: 

a.  Title  page  containing  End  Item  description,  Customer  (Satellite  System  Integrator)  part 

number, revision number, serial number, specification number, and purchase order number. 

b. Review and approval page of Subcontractor acceptability with signatures of an engineering 

representative,  a  configuration  representative,  a  program  manager,  and  a  QA  manager. 

This will be COC. 

c

. ABCL, showing the as built revision of the Subcontractor’s lowest detail drawing level of the 

End Item including the applicable serial number. 

d

. User’s manuals which contains operation constraints and handling precautions 

e. Nonconformances and changes section: 

  Nonconformance  Status  List.  This  list  shall  contain  all  of  the  minor  and  major 

nonconformance status. 

 Copies of all the 

Subcontractor’s change proposals which classified as Class 1 

 

Copies of al  the Subcontractor’s major nonconformance reports. These wil  include retest 

instructions. 

 Waivers and deviations requests 

 All applicable letters 

f. Inspection report  according to the mechanical ICD.  This report shall include measurement 

results. 

g.  Contamination  budget  report.  This  report  shall  be  prepared  for  contamination  critical 

hardware. 

h.  Acceptance  test  report  which  contains  analysis  and  test  results,  including  special 

engineering test, as applicable. 

i. Trend analysis report for the critical parameter 

j.  Listing  of  test  equipment  used,  including  manufacturer,  model  number,  serial  number,  and 


background image

Space Pioneer 

Program

 

Product Assurance Requirements for 

General Unit 

Doc. No: SPPO-D0-800-002 
Issue: D.00 
Date: 15 April 2021 
Page:  43  of 84 

 
 
 

 

date of last calibration 

k. The level of contamination at the delivery for the contamination critical hardware 

l.  Cumulative  logs  for  operating  time  or  operating  cycles,  vibration  time  per  axis,  number  of 

temperature  and  pressure  cycles,  number  of  switch  actuations,  and  connector  mate  and 

demate cycles. This log summary shall be annotated with part number, serial number, and 

date 

m. Photographic identification logs 

 

G.8. CONFIGURATION CONTROL 

Engineering, manufacturing, and tooling drawings and specifications are subject to a system of 

configuration control in accordance with Section 5 of this PAR.   

The  system  shall  ensure  that  only  drawings,  test  procedures,  and  specifications  of  the  latest 

applicable  revision  are  available  to  operational  personnel  at  the  appropriate  points  during 

manufacturing,  inspection,  and  testing.  The  system  shall  ensure  the  removal  of  obsolete 

documents from manufacturing, inspection, and test areas. 

 

G.9. CONTAMINATION CONTROL 

The Subcontractor shall have contamination control procedures for measuring and maintaining 

the required levels of cleanliness during the various phases of hardware assembly and testing. 

Contamination control requirements are further detailed in Section 11 of this PAR. 

 

G.10. CUSTOMER FURNISHED EQUIPMENT 

The  Subcontractor  shall  establish  and  maintain  documented  procedure  for  the  control, 

verification, storage, and maintenance of CFE. 

When  CFE  is  furnished  by  Customer  (Satellite  System  Integrator)  ,  the  Subcontractor  shall 

inspect  to  detect  damage  in  transit  and  provide  for  the  protection,  periodic  inspection,  and 

controls necessary to preclude damage or deterioration during handling, storage, or use. 

The  Subcontractor  shall  report  to  Customer  (Satellite  System  Integrator)  any  parts  which  are 

damaged,  malfunctioning,  or  otherwise  unsuitable  for  use  and  shall  determine  and  report  the 

probable cause and necessity for withholding such CFE from use. 

Unsuitable CFE shall be handled in such a manner as to prevent further damage and additional 

repair costs. 

 

G.11. GROUND SUPPORT EQUIPMENT 

The status of the MGSE,  EGSE, and test  aids  used  for manufacturing or  testing the hardware 


background image

Space Pioneer 

Program

 

Product Assurance Requirements for 

General Unit 

Doc. No: SPPO-D0-800-002 
Issue: D.00 
Date: 15 April 2021 
Page:  44  of 84 

 
 
 

 

being procured shal  be controlled by the Subcontractor’s QA system. 

Validation of equipment shall be carried out before use with the FM. This validation shall include 

a  calibration  status  check,  a  maintenance  status  check,  and  a  functional  demonstration. 

Evidence of validation shall be available to Customer (Satellite System Integrator) upon request. 


background image

Space Pioneer 

Program

 

Product Assurance Requirements for 

General Unit 

Doc. No: SPPO-D0-800-002 
Issue: D.00 
Date: 15 April 2021 
Page:  45  of 84 

 
 
 

 

APPENDIX H.  신뢰성  (RELIABILITY) 

H.1. GENERAL   

The Subcontractor shall establish, implement, and maintain a reliability program plan as a part 

of Product Assurance Plan. 

The product shall comply with the reliability requirements listed here: 

a.  The  product  failure  rate  shall  respect  the  reliability  objective  specified  in  the  product 

technical requirement. 

b. The product shall respect the derating rules for EEE parts. 

c. All parts shall demonstrate compliance with space environment specification. 

d. The product shall provide provision for failure detection and switching off. 

e. The product shall avoid failure propagation in case of redundancy. 

f. The product shall respect the design safety factors. 

g. The product shall be designed to meet the lifetime specified in the technical specification. 

In  case  hardware  configuration  is  modified,  related  analysis  and  reports  shall  be  updated  and 

resubmitted to Customer (Satellite System Integrator). 

 

H.2. RELIABILITY PREDICTION 

A reliability prediction shall be performed under the actual environmental and stress condition.   

For the high reliability parts which have appropriate quality level, MIL-HDBK-217F Notice 2 shall 

be used preferably as the failure rate database. If the parts are not covered by MIL-HDBK-217F 

Notice  2,  failure  rate  investigation  methods  or  its  data  source  shall  be  agreed  with  Customer 

(Satellite System Integrator). 

The  reliability  prediction  report  shall  include  functional  schematics,  parts  reliability  data, 

equipment reliability model, and any assumption used for the analysis. 

 

H.3. FAILURE MODE, EFFECTS, AND CRITICALITY ANALYSIS 

FMECA analysis procedures and documentation shall be performed in accordance with ECSS-

Q-ST-30-02 or equivalent standards with the severity categories described in Table H.1 and H.2. 

The  FMECA  shall  identify  how  each  failure  mode  is  detected  and  shall  recommend  counter-

measures to render such consequences. FMECA shall be accompanied by FDIR process.   

For the failure modes of redundancy interface circuit or the failure modes resulting in a severity 

of category 1, the failure mode shall be analyzed to the depth of parts level. 

In  case  of  a  unit  including  software,  the  effects  of  software  errors  shall  be  assessed  at  the 

functional level. 


background image

Space Pioneer 

Program

 

Product Assurance Requirements for 

General Unit 

Doc. No: SPPO-D0-800-002 
Issue: D.00 
Date: 15 April 2021 
Page:  46  of 84 

 
 
 

 

Common-mode analyses shall be performed on reliability and safety critical items to identify the 

root cause of failures that have a potential to negate failure tolerance levels. This analysis shall 

be included in the FMECA. 

An  FTA  shall  be  performed  at  system  and  subsystem  level  for  specified  top  events  when 

specifically requested. 

Table H.1 Severity category definitions at equipment level 

Severity Category 

Definition 

Failure mode causes damage by propagation to interfacing units 

Failure mode causes the loss of required function 

2R 

Failure mode causes the loss of redundant function 

Failure mode causes the degradation of the required function 

Failure mode causes minor degradation 

No effect 

 

Table H.2 Severity category definitions at subsystem level 

Severity 

Category 

Definitions

 

Catastrophic 

Failure  modes  that  could  result  in  serious  injury  or  loss  of 
life or loss of launch vehicle 

1R 

Failure modes of redundant hardware item that, if all failed, 
could result in Category 1 effects. 

1S 

Failure  in  a  safety  or  hazard  monitoring  system  that  could 
cause the system to fail to detect a hazardous condition or 
fail  to  operate  during  such  condition  and  leads  to  Severity 
Category 1 consequences. 

Critical 

Failure  modes  that  could  result  in  loss  of  one  or  more 
mission objectives. 

2R 

Failure  modes  of  redundant  hardware  items  that  could 
result in Category 2 effects if all failed. 

Significant 

Failure  modes  that  could  cause  degradation  to  mission 
objectives. 

Minor 

Failure  modes  that  could  result  in  insignificant  effect  to 
mission objectives. 

 

H.4.    PART STRESS ANALYSIS 

The  derating  rules  applied  to EEE  parts  will  limit  the  application  conditions  of  voltage,  current, 

power,  temperature,  mechanical  environment,  and  duty  cycle  to  achieve  part  failure  rates 

consistent with reliability requirements. 

ECSS-Q-ST-30-11, GSFC EEE-INST-002, or MIL-STD-975 shall be applied to the application of 

all EEE parts. In case other derating rules are used, justification for the rules shall be submitted 

to Customer (Satellite System Integrator) for approval. 


background image

Space Pioneer 

Program

 

Product Assurance Requirements for 

General Unit 

Doc. No: SPPO-D0-800-002 
Issue: D.00 
Date: 15 April 2021 
Page:  47  of 84 

 
 
 

 

All  of  the  EEE  parts  shall  be  derated  to  establish  derating  levels,  and  analyses  shall  be 

performed to demonstrate that each part meets the stress derating criteria in each phase of the 

mission of the equipment in normal, transient and contingency operating modes. 

The list of the parts exceeding the stress criteria with its respective parameters is presented in 

the  Part  Stress  Analysis  document.  Areas  of  noncompliance  shall  be  identified  with  proposed 

solutions or justifications for use. 

Deviation from derating criteria shall be subjected as a RFD. 

 

H.5.    WORST CASE ANALYSIS 

The  Subcontractor  shall  provide  an  analysis  of  the  effects  on  design  performances  as  it  is 

influenced  by  part  parametric  variations,  environmental  effects,  radiation  effects,  input  and 

output variations, part tolerance, aging, etc. 

This analysis shall verify that within reasonable combinations of specification characteristics and 

parts tolerance, the design meets specified performance in worst mission period. 

A final assessment report shall include the functions on which analysis has been performed, the 

supporting circuits, and compliance status. 

 

H.6.    TREND ANALYSIS 

The  critical  parameters  of  the  End  Product  that  can  be  monitored  during  testing  shall  be 

identified at Design Reviews and trends shall be tracked during testing. 

The analysis results shall be included in the EIDP. Items with unusual or abnormal trends shall 

be noticed to Customer (Satellite System Integrator). 

 

H.7. CRITICAL ITEM LIST 

Critical  items  shall  be  identified  and  maintained  in  a  criti

cal  items list throughout the product’s 

life cycle. An item shall be considered critical when: 

a.    It is not a space qualified design or technology. 

b.    It has safety hazards for hardware or personnel. 

c.    Failure mode severity is assigned to category 1. 

d.    The relevant failure rate is not justified. 

e.    It  is  hardware  which  is  sensitive  to  age  or  wear  or  requires  special  ground  handling 

conditions. This will be a Limited Life Item. 

f.    Parts are out of accepted derating conditions. 

g.    Parts or materials are not qualified. 

 


background image

Space Pioneer 

Program

 

Product Assurance Requirements for 

General Unit 

Doc. No: SPPO-D0-800-002 
Issue: D.00 
Date: 15 April 2021 
Page:  48  of 84 

 
 
 

 

The critical item list document shall include the following information as a minimum: 

a.    Item description   

b.    Reason for criticality   

c.    Risk mitigation plan 

All reliability critical items shall be incorporated in the risk management system for the criticality 

mitigation process. 

 

H.8.    LIMITED LIFE ITEM   

The  End  Product  shall  be  designed  considering  operational  life,  storage  life,  and  assembly, 

integration and test life. 

All parts of the End Product being procured shall be reviewed for wear or degradation during its 

designed lifetime. Analytic or test data justification shall be developed showing that an adequate 

life margin exists. 

Limited life items are hardware subject to degradation due to age, operating time, or cycles and 

thus require periodic replacement, refurbishment, retest, or operation to assure that its mission 

performance  will  not  be  degraded  beyond  acceptable  limits.  These  items  shall  be  identified  in 

the Limited Life Item List with the accumulated time or cycle tracking and maintenance records. 

If  deliverable  hardware  requires  maintenance  activities  during  storage,  assembly,  and  testing 

period, the Subcontractor shall describe appropriate maintenance activities in the user’s manual 

and agree with Customer (Satellite System Integrator) before unit shipment. 


background image

Space Pioneer 

Program

 

Product Assurance Requirements for 

General Unit 

Doc. No: SPPO-D0-800-002 
Issue: D.00 
Date: 15 April 2021 
Page:  49  of 84 

 
 
 

 

APPENDIX I.  안전관리  (SAFETY) 

 

I.1. GENERAL 

The Subcontractor shall observe applicable safety laws or ordinances. 

The  Subcontractor  shall  implement  a  safety  program  that  will  ensure  the  identification  and 

control  of  hazards  during  fabrication,  testing,  transportation,  ground  activities,  and  launch 

operations. 

Hardware  and  software  nonconformance  that  occur  during  the  course  of  the  verification 

program shall be reviewed for their safety implications. 

 

I.2. HAZARDOUS OPERATIONS 

The  Subcontractor  safety  engineer  shall  identify  all  potentially  hazardous  operations  in  the 

Subcontractor’s facilities.   

When the operation could result in hazardous effect on the personnel, an investigation shall be 

performed to identify and adequately control the hazards.   

A report of each investigation shall be available for review at the Subcontractor's facility. 

 

I.3. COMPLIANCE TO SAFETY REQUIREMENTS 

The Subcontractor shall demonstrate that the End Product is compliant with safety requirements 

of  the  applicable  launch  site  range.  The  demonstration  of  safety  compliance  shall  be 

accomplished by the appropriate analysis or test. 

The  Subcontractor  shall  submit  a  safety  assessment  report  applicable  to  the  phase  of  the 

program  at  the  time  of  design  review.  The  contents  of  the  safety  assessment  report  shall  be 

consistent with the requirements of the applicable launch vehicle and launch site requirements. 

The  safety  reports  shall  include,  as  a  minimum,  a  description  of  the  product  design,  safety 

requirement  compliance  status,  hazard  analysis  or  test  results,  and  other  applicable  safety 

related information. 

 

I.4. SUPPORT FOR SAFETY REVIEW 

The Subcontractor shall provide technical support to  Customer (Satellite System Integrator) for 

applicable safety reviews. 


background image

Space Pioneer 

Program

 

Product Assurance Requirements for 

General Unit 

Doc. No: SPPO-D0-800-002 
Issue: D.00 
Date: 15 April 2021 
Page:  50  of 84 

 
 
 

 

APPENDIX  J.  자재/기계부품    공정  (MATERIAL,  MECHANICAL 

PART AND PROCESS) 

 

J.1. GENERAL 

The  Subcontractor  is  required  to  observe  the  requirements  of  this  PAR.  The  Subcontractor  is 

also fully responsible for selection, procurement, and application of the materials and processes. 

The Subcontractor shall provide a materials and processes plan as  a section  of PAPP  or as a 

separate document. The document shall describe all activities implemented for conformance to 

program requirements. 

 

J.2. MATERIALS SELECTION 

Materials  shall  be  selected  with  full  consideration  of  the  effects  of  the  space  environment  and 

shall satisfy applicable requirements based on the criteria described herein. 

Use of materials with a history of successful spacecraft applications and existing specifications 

and databases will minimize verification efforts. 

Materials  used  in  a  conventional  process  with  successful  flight  heritage  and  which  meet  the 

selection criteria within this PAR will be classified as compliant materials. 

Noncompliant  materials  are  any  materials  not  defined  as  compliant.  These  will  include  the 

materials which meet the requirements but are not used in conventional applications. 

Off-the-shelf hardware for which a detailed materials list is not available and where the included 

materials cannot be easily identified and/or changed shall be considered to be noncompliant. 

Compliant materials shall be used in the fabrication of flight hardware to the maximum practical 

extent. 

Noncompliant  materials  shall  be  deemed  critical,  as  defined  in  Section  J.8.1  of  this  PAR,  and 

the  Subcontractor  shall  prepare  a  RFA  package,  with  adequate  justification  for  its  use,  and 

submit it for review and approval to Customer (Satellite 

System Integrator)’s PMPCB. 

 

J.2.1. Restricted Materials 

Due  to  limited  life,  safety  concerns,  or  known  instability,  the  following  materials  are  not 

recommended: 

a. Beryllium or selenium except internal to hermetically sealed devices. 

b. Unalloyed electrodeposited tin unless subsequently fused or reflowed. 

c.  Corrosive  solder  fluxes  unless  detailed  cleaning  procedures  are  specified  that  include 

verification methods to ensure removal of residual contaminants. 


background image

Space Pioneer 

Program

 

Product Assurance Requirements for 

General Unit 

Doc. No: SPPO-D0-800-002 
Issue: D.00 
Date: 15 April 2021 
Page:  51  of 84 

 
 
 

 

d.  Teflon,  vinyl,  polyvinyl  chloride  used  as  an  insulator  for  electrical  harness  wire. 

Fluorocarbon polyimide wire ‘Kapton®’ is to be controlled as a critical item. 

e.  Materials  which  exhibit  or  are  known  to  exhibit  natural  radioactivity  such  as  uranium, 

potassium, radium, thorium or any alloys thereof. 

f. Indium and indium solder 

g. Magnesium 

h. Lithium 

Where the use of any of these materials is unavoidable, the application shall be evaluated on a 

case-by-case  basis  and  the  Subcontractor  shall  prepare  a  RFA  package,  with  adequate 

justification  for  its  use,  and  submit  it  for  review  and  approval  to  Customer  (Satellite  System 

Integrator)’s PMPCB. 

 

J.2.2. Prohibited Materials 

The  use  of  pure  mercury,  cadmium,  pure  electrodeposited  or  hot  dipped  tin-plated  surface 

coatings, zinc and PVC is prohibited. 

These  materials  can  be  used  in  the  way  that  unit  design  mitigates  material  instability.  The 

Subcontractor shall prepare a RFA package, with adequate justification for its use, and submit it 

for review and approval to Customer (Satellite 

System Integrator)’s PMPCB. 

 

J.3. MATERIALS REQUIREMENTS 

 

J.3.1. Corrosion 

Metallic  materials  selected  for  use  in  flight  hardware  shall  be  corrosion  resistant  or  protected 

from corrosive environments by finishing and prevention of moisture condensation on corrosion 

susceptible hardware by environmental control or using seals and metallurgical joints. 

Non-metallic parts shall not have a corrosion stimulating effect on other materials when exposed 

for their specific useful life. 

Incompatible couples defined by MIL-STD-889 shall be avoided. Such dissimilar metals may be 

used  in  intimate  contact,  but  only  if  the  assembly  is  protected  in  a  manner  as  to  preclude 

moisture. 

 

J.3.2. Stress Corrosion 

Metals  and  alloys  shall  not  have  a  propensity  towards  stress corrosion  cracking,  as  defined  in 

Table I of ECSS-Q-70-36A. Metals and alloys in Table II or III of ECSS-Q-70-36A may be used 

with Customer (Satellite 

System Integrator)’s PMPCB approval. 


background image

Space Pioneer 

Program

 

Product Assurance Requirements for 

General Unit 

Doc. No: SPPO-D0-800-002 
Issue: D.00 
Date: 15 April 2021 
Page:  52  of 84 

 
 
 

 

Metals and alloys that are susceptible to stress corrosion cracking shall be avoided in sustained 

tensile applications. 

 

J.3.3. Hydrogen Embrittlement 

Metals, particularly high strength steels and titanium alloy, which will be exposed to a hydrogen 

rich  environment  or  subjected  to  processes  that can  introduce  hydrogen  in  the  metal,  shall  be 

evaluated  for  susceptibility  to  hydrogen  embrittlement.  Any  resulting  reduction  in  performance 

will be highlighted and appropriate measures will be taken to eliminate the effect. 

 

J.3.4. Magnetism 

The use of magnetic materials is not permitted, if it can be avoided, and shall be avoided as far 

as practicable to allow for a high degree of magnetic cleanliness for the spacecraft. All magnetic 

materials  are  to  be  identified  in  the  materials  list  and  a  justification  for  their  use  shall  be 

submitted for review and approval to Customer (Satellite 

System Integrator)’s PMPCB. 

 

J.3.5. Fluid Compatibility 

Metallic  and  nonmetallic  materials  that  will  be  in  contact  with  an  identified  fluid  shall  be 

compatible  with  that  fluid.  If  compatibility  data  are  not  available,  testing  shall  be  performed 

according to NASA-STD-(I)-6001A test number 15. 

Metallic materials directly exposed to propellants shall not exhibit surface corrosion. 

 

J.3.6. Vacuum Stability 

Only materials that have TML and CVCM less than the requirements in Section 11 shall be used 

in a vacuum environment. 

 

J.3.7. Flammability 

Major  use  organic  materials  for  flight  shall  be  nonflammable  or  self-extinguishing  in  air  in  the 

application configuration. 

 

J.3.8. Radiation Sensitivity 

Exterior and exposed materials shall be capable of functioning as intended in an orbital charged 

particle and UV radiation environment. 

 

J.3.9. Electrostatic Discharge Protection 

Materials used in areas sensitive to electrostatic discharge shall be selected to ensure that the 


background image

Space Pioneer 

Program

 

Product Assurance Requirements for 

General Unit 

Doc. No: SPPO-D0-800-002 
Issue: D.00 
Date: 15 April 2021 
Page:  53  of 84 

 
 
 

 

maximum  potential  difference  between  any  two  points  on  the  spacecraft  is  within  the  limits  of 

applicable ESD/EMC requirements. 

 

J.4. MECHANICAL PARTS SELECTION 

Mechanical  parts  shall  be  selected  with  full  consideration  of  the  effects  of  the  space 

environment  and  shall  be  selected  on  the  basis  of  previous  space  heritage  in  an  identical 

application. 

Mechanical  parts  which  has  successful  flight  heritage  and  will  be  procured  to  the  ESA  or  MIL 

specification will be classified as standard part. 

Nonstandard  parts  are  any  mechanical  parts  not  defined  as  standard.  These  will  include  the 

standard parts used in alternative application. 

Standard part shall be used in the flight hardware design to the maximum practical extent. 

Where  a  mechanical  part  is  not  controlled  by  an  ESA  or  MIL  specification,  current  and  fully 

configured specifications applicable to the relevant Subcontractor should  be used to ensure full 

control over the procurement and performance of the mechanical part. 

All materials that comprise a mechanical part must be individually assessed in accordance with 

the requirements of this document and listed on the Materials Identification List. 

Nonstandard  parts  shall  be  deemed  critical,  as  defined  in  Section  J.8.1  of  this  PAR,  and  the 

Subcontractor shall prepare a RFA package, with adequate justification for its use, and submit it 

for review and approval to Customer (Satellite System Integrator)’s PMPCB. 

 

J.5. PROCESS SELECTION 

All  manufacturing  and  assembly  processes  used  shall  be  carefully  selected  so  that  material 

integrity is maintained and physical property changes are well understood and controlled. 

Processes  which  has  successful  flight  heritage  with  the  use  of  compliant  materials  will  be 

classified as conventional process. 

Nonconventional  processes  are  any  processes  not  defined  as  conventional.  For  the 

nonconventional processes, process verification is required. 

Conventional  processes  shall  be  used  in  the  fabrication  of  flight  hardware  to  the  maximum 

practical extent. 

If  a  nonconventional  process  is  applied,  the  Subcontractor  shall  verify  for  the  desired  process 

application on the basis of tests, similarity, analyses, inspection, existing data, or a combination 

of those methods.   

Nonconventional process shall be deemed critical, as defined in Section  J.8.1 of this PAR, and 

the  Subcontractor  shall  prepare  a  RFA  package,  with  adequate  justification  for  its  use,  and 


background image

Space Pioneer 

Program

 

Product Assurance Requirements for 

General Unit 

Doc. No: SPPO-D0-800-002 
Issue: D.00 
Date: 15 April 2021 
Page:  54  of 84 

 
 
 

 

submit it for review and approval to Customer (Satellite 

System Integrator)’s PMPCB. 

 

J.6. SPECIFIC REQUIREMENTS 

 

J.6.1. Pyrotechnic Parts 

The  selection,  procurement  and  application  of  pyrotechnic  devices  shall  conform  to  the 

requirements  of  ECSS-E-30  Part  6A.  All  devices  selected  for  use  must  be  subject  to  the 

qualification, acceptance and verification testing of this specification. 

Primary and redundant devices must not be taken and installed from the same lot. 

The pyrotechnic device subsystem must be subject to an end-to-end test prior to launch. 

 

J.6.2. Shelf Life Materials 

Materials with limited lifetime characteristics shall be subject to lot/batch acceptance tests, and 

shall have the date of manufacture and shelf-life expiration date marked on each lot/batch. 

Storage  conditions  must  be  controlled  to  avoid  degradation  of  the  material.  Storage  conditions 

and shelf life should be stated in the procurement specification. 

The material whose shelf life has expired shall be segregated from other conforming materials 

and  shall  not  be  used  on  the  FM  fabrication  unless  the  material  is  validated  by  means  of 

appropriate tests. 

 

J.7. PROCUREMENT 

The Subcontractor shall describe the procurement methods. 

The  procurement  of  materials  shall  be  done  by  formal  procurement  document.  These 

procurement documents shal  be approved by the Subcontractor’s MPCB. 

 

J.8. MATERIALS AND PROCESS APPROVAL 

 

J.8.1. Critical Materials and Processes 

For the materials, mechanical parts, and processes identified as critical, the Subcontractor shall 

prepare  a  RFA  package,  with  adequate  justification  for  its  use,  and  submit  it  for  review  and 

approval to Customer (Satellite 

System Integrator)’s PMPCB. 

The definition of a critical material, mechanical part or process is as followings: 

a. Materials 

- It is new, has no previous space use or is non-validated, in the application in question. 

- Previous use has highlighted technical issues. 


background image

Space Pioneer 

Program

 

Product Assurance Requirements for 

General Unit 

Doc. No: SPPO-D0-800-002 
Issue: D.00 
Date: 15 April 2021 
Page:  55  of 84 

 
 
 

 

b. Mechanical parts 

- It is new, has no previous space use or is non-qualified, in the application in question. 

- Previous use has highlighted technical issues. 

- Failure of the mechanical part can adversely affect the performance or destroy a major part 

or function of the spacecraft. 

- The quality of the mechanical part cannot be assessed by simple tests. 

c. Processes 

- It is new, has no previous space use or is non-validated, in the application in question. 

- Previous use has highlighted technical issues. 

-  Failure  of  the  process  can  adversely  affect  the  performance  or  destroy  a  major  part  or 

function of the spacecraft. 

- The Subcontractor has no prior application experience. 

- The quality of the process cannot be assessed by examining the End Product. 

All  critical  materials,  mechanical  parts,  and  processes  shall  be  evaluated  and  qualified.  The 

qualification  reports  are  to  be  approved  by  Customer  (Satellite  System  Integrator).  The 

qualification  of  all  critical  materials,  mechanical  parts  or  processes  shall  be  completed  and 

accepted  by  Customer  (Satellite  System  Integrator)  before  the  materials,  mechanical  parts  or 

processes are used on FM hardware. 

RFA shall include all the contents defined in APPENDIX C. 

 

J.8.2. Material and Process Control Board 

The selection, application, and approval of materials and process shall be implemented through 

the Subcontractor’s MPCB.   

The major activit

ies of the Subcontractor’s MPCB are listed below: 

a.  Review  and  approve  process  specification,  materials  specification,  and  procurement 

document. 

b. Prepare verification plans for nonconventional processes. 

c. Investigate materials and process related issues during the entire program life cycle. 

d.  Prepare  material  identification  lists  and  process  lists  and  submit  them  to  Customer 

(Satellite System Integrator). 

e.  Prepare  RFA  documents  and  submit  them  to  Customer  (Satellite 

System  Integrator)’s 

PMPCB for approval. 

 

J.9. MATERIALS, MECHANICAL PARTS AND PROCESSES LIST 

The Subcontractor shall prepare  a  list of materials, mechanical  parts, and processes identified 


background image

Space Pioneer 

Program

 

Product Assurance Requirements for 

General Unit 

Doc. No: SPPO-D0-800-002 
Issue: D.00 
Date: 15 April 2021 
Page:  56  of 84 

 
 
 

 

in this program. 

The lists shall cover all materials and processes used in the equipment, including those used at 

lower  tier  Subcontractors  level  and  all  materials,  mechanical  parts  and  processes  used  during 

the AIT phase. 

The lists shall include all the contents defined in APPENDIX C. 

 

J.10. SPECIFICATION 

All  of  the  materials  and  mechanical  parts  shall  be  procured  in  accordance  with  the  standard 

specification or customized specification designated for the material. 

All  of  the  Subcontractor’s  processes  shal   be  recorded  and  maintained  in  the  form  of  process 

specifications. 

The  specification  shall  contain  all  necessary  physical,  environmental,  performance,  and 

qualification requirements. 

Specification  for  the  noncompliant  materials  and/or  nonstandard  parts  shall  be  submitted  with 

the RFA document. 

The  process  specifications  shall  be  available  to  Customer  (Satellite  System  Integrator)  at  the 

Subcontractor’s facilities. 

 

J.11. RECEIVING INSPECTION 

Each material shall be submitted to a receiving inspection. The objective of the inspection is to 

verify the compliance with the procurement specifications and the purchase order requirements. 

Receiving inspections shall at least include data review and visual inspection. Characterization 

tests shall be performed if required. 

 

J.12. TREACEABILITY 

The  Subcontractor  shall  ensure  that  it  is  possible  to  reconstitute  the 

material  or  part’s  history, 

either individually or by the manufacturing lot. 

The Subcontractor shall ensure that the full traceability of materials and parts is maintained and 

recorded throughout the mission life of the End Product. 

 

J.13. PROPRIETARY INFORMATION 

Where  materials,  mechanical  parts,  or  processes  are  considered  proprietary  by  the 

Subcontractor  and/or  Supplier,  Customer  (Satellite  System  Integrator)  will  respect  the  right  of 

the third party to withhold certain details. However sufficient information must be made available 

to  Customer  (Satellite  System  Integrator)  to  allow  a  full  evaluation  of  the  material,  mechanical 


background image

Space Pioneer 

Program

 

Product Assurance Requirements for 

General Unit 

Doc. No: SPPO-D0-800-002 
Issue: D.00 
Date: 15 April 2021 
Page:  57  of 84 

 
 
 

 

part, or process with respect to the mission environment and lifetime requirements and to allow 

a full risk assessment to be carried out. The level of information exchange will be defined on a 

case-by-case basis dependent on the sensitivity of the requested information. 


background image

Space Pioneer 

Program

 

Product Assurance Requirements for 

General Unit 

Doc. No: SPPO-D0-800-002 
Issue: D.00 
Date: 15 April 2021 
Page:  58  of 84 

 
 
 

 

APPENDIX K.  전기전자부품  (EEE PARTS) 

 

K.1. GENERAL 

EEE parts for qualification models shall be from the same design type (Form, Fit, Function) and 

manufacturer as the ones intended to be used on FMs.   

The  Subcontractor  shall  ensure  that  all  parts  requirements  are  flowed-down  to  all  his 

Subcontractors and ensure that all his Subcontractors are compliant to these parts requirements. 

 

K.2. PARTS SELECTION 

The  Subcontractor  shall  ensure  that  the  selected  parts  meet  the  operating,  environmental, 

radiation, material, safety, quality and reliability conditions defined for the program. 

 

[QUALITY REQUIREMENT FOR EEE PARTS FOR GEO] 

EEE parts listed in the EPPL part I, ESCC QPL parts, NPSL level 1 parts (with disposition of the 

associated  application  note),  GSFC  EEE-INST-002  level  1  parts  (with  disposition  of  the 

associated  application  note),  and  MIL  QPL/QML  parts  (a  quality  level  is  based  on  the  NPSL 

level 1) shall be used as the primary basis for parts selection. 

 

[QUALITY REQUIREMENT FOR EEE PARTS FOR LEO] 

EEE  parts  listed  in  the  EPPL  part  I  and  II,  ESCC  QPL  parts,  NPSL  level  1  and  2  parts  (the 

associated  application  note  shall  apply),  GSFC  EEE-INST-002  level  1  and  2  parts  (the 

associated application note shall apply), and MIL QPL/QML parts (a quality level is based on the 

NPSL level 1 or 2) shall be used as the primary basis for standard parts selection. 

 

EEE  parts  which  satisfy  the  screening  requirement  of  Section  K.3  and  APPENDIX  K  will  be 

classified as program standard parts. Nonstandard parts are any parts not defined as standard 

parts. 

Standard  parts  shall  be  used  in  the  flight  hardware  design  to  the  maximum  practical  extent. 

When equipment development and qualification conditions or technical issues do not allow use 

of the above standard level, the next available level in the above ESCC or US MIL systems shall 

be considered. 

In the case that a valid and acceptable status cannot be demonstrated, an adequate evaluation 

program shall be implemented to comply with the requirements specified for the program. 

If  nonstandard  parts  are  used  in  the  flight  hardware,  the  Subcontractor  shall  prepare  a  PAD 


background image

Space Pioneer 

Program

 

Product Assurance Requirements for 

General Unit 

Doc. No: SPPO-D0-800-002 
Issue: D.00 
Date: 15 April 2021 
Page:  59  of 84 

 
 
 

 

package, with adequate justification for its use and supplementary test, and submit it for review 

and approval to Customer (Satellite 

System Integrator)’s PMPCB. 

 

K.2.1. Radiation Hardness 

All the parts used in the end product shall be selected to meet their mission application for the 

specified,  predicted  radiation  environment.  These  requirements  are  established  for  all  kinds  of 

radiation including cosmic, trapped and solar flares. 

The Subcontractor shall implement radiation hardness assurance programs which assess actual 

radiation  tolerance  of  the  selected  components  for  compliance  with  the  KOMPSAT  or 

GEOKOMPSAT  radiation  requirements  in  term  of  Total  Dose,  displacement  damages,  and 

single events effects.   

The  Subcontractor  shall  issue  a  radiation  assessment  report  identifying  all  sensitive 

components  with  respect  to the  relevant  radiation  effects,  their  impact  and  giving  an  adequate 

design  solution  for  the  equipment.  The  radiation  assessment  report  shall  be  submitted  to 

Customer (Satellite System Integrator).   

a. Total Ionizing Dose (TID) : In  order to reduce the Total Dose risk, parts can be shielded or 

replaced. Any other solutions may be used as appropriate. 

- 2 x Received Dose Level < TID Sensitivity of the parts : FM lot is accepted as is. 

-  1.3  x  Received  Dose  Level  <  TID  Sensitivity  of  the  parts  <  2  x  Received  Dose  Level  : 

Radiation  lot  acceptance  test  is  required.  If  FM  lot  parametric  and  functional  hardness  is 

larger than 1.3 times the dose level, the FM lot is accepted. 

- TID Sensitivity of the parts < 1.3 x Received Dose Level : The part is not acceptable as is. 

Shielding of parts, replacement, or any other solutions shall be found. 

b.  Displacement  Damage:  In  order  to  reduce  the  displacement  damage  risk,  parts  can  be 

shielded or replaced. Any other solutions may be used as appropriate. 

- 2 x Received DDEF Level < DDSF of the parts : FM lot is accepted as is. 

- 1.3 x Received DDEF Level < DDSF of the parts < 2 x Received DDEF Level : Radiation lot 

acceptance test are required. If FM lot parametric and functional hardness is larger than 1.3 

times the DDSF level, the FM lot is accepted. 

- DDSF of the parts < 1.3 x Received DDEF Level : The part is not acceptable as is. Shielding 

of parts, replacement, or any other solutions shall be found. 

c.  Single  Event  Phenomenon  (SEP)  :  Evaluation  of  SEP  shall  be  performed  according  to  the 

following criteria. LETth(SEP) means threshold LET for a specific kind of SEP. The source of 

part radiation data will be considered when evaluation of SEP.   

 


background image

Space Pioneer 

Program

 

Product Assurance Requirements for 

General Unit 

Doc. No: SPPO-D0-800-002 
Issue: D.00 
Date: 15 April 2021 
Page:  60  of 84 

 
 
 

 

60 MeV∙cm2/mg < LETth(SEP) : Part is considered as not sensitive to the specific SEP. FM 

lot is accepted as is. 

15 MeV∙cm2/mg < LETth(SEP) < 60 MeV∙cm2/mg : Part is sensitive to heavy  ion induced 

SEP but not sensitive to proton induced SEP. Heavy ion induced SEP rate and their effects 

shall be analyzed to identify the effects and criticality. Risk reduction actions required if the 

mitigation is necessary from the analysis. Final decision will be taken at Customer PMPCB. 

LETth(SEP)  <  15  MeV∙cm2/mg  :  Part  is  sensitive  to  heavy  ion  and  proton  induced  SEP. 

Heavy  ion and proton  induced SEP rate and their effects shall  be analyzed to identify the 

effects and criticality. Risk reduction actions required if the mitigation is necessary from the 

analysis. 

The  use  of  part,  which  is  not  acceptable  as  is,  shall  be  reviewed  and  approved  by  Customer 

PMPCB. 

 

K.2.2. Restricted Parts 

The  Subcontractor  shall  ensure  that  materials  which  are  not  hermetically  sealed  within 

components  meet  the  requirements  of  Section  10  regarding  outgassing,  flammability,  toxicity, 

and criteria required for the intended use. 

The  Subcontractor  shall  insure  that  EEE  part  does  not  contain  health  and  safety  hazard 

materials  such  as  beryllium  oxide,  cadmium,  lithium,  magnesium,  mercury,  or  radioactive 

material. 

The  Subcontractor  shall  also  evaluate  the  robustness  of  selected  EEE  components  to  the 

stresses induced during assembly process. 

For limited  life, known instability, safety hazard  or reliability risk reasons, the  use of EEE parts 

listed below shall be prohibited:   

a. Component using pure tin material plating 

b. Hollow core resistors 

c. Potentiometers (except for mechanism position monitoring) 

d. Non-metallurgically bonded diodes 

e. Semiconductor dice without passivation or glassivation over exposed active area 

f.  Wet  slug  tantalum  capacitors  other  than  capacitor  construction  using  double  seals  and  a 

tantalum case   

g.  TO5  relays  without  double  welding  of  the  mechanism  to  the  header  or  with  any  type  of 

integrated diodes inside   

h. Wire-link fuses < 5A   

i. RNC90 resistors above 100 kΩ (for new design) 


background image

Space Pioneer 

Program

 

Product Assurance Requirements for 

General Unit 

Doc. No: SPPO-D0-800-002 
Issue: D.00 
Date: 15 April 2021 
Page:  61  of 84 

 
 
 

 

j.    TO3 and DO4/DO5 packages (for new design) 

 

K.3. PROCUREMENT 

The Subcontractor shall describe the procurement scheme in the parts control plan. 

The  procurement  of  materials  shall  be  done  by  formal  procurement  document.  These 

procurement documents shal  be controlled by Subcontractor’s responsibility. 

To reduce the risk of procuring counterfeit parts, when parts are not  directly procured from the 

manufacturer, the supplier shall procure parts only from distributors duly franchised by the parts 

manufacturer.   

 

K.3.1. Quality Level 

All  EEE  parts  to  be  incorporated  into  flight  hardware  shall  be  subjected  to  screening  tests. 

These screening tests shall be designed so that accumulated stress will not jeopardize the part 

reliability. 

The  baseline  of  quality  level  used  to  procure  or  to  up-screen  EEE  parts  is  described  in 

APPENDIX K.10 

 

K.3.2. Procurement Specification 

Any EEE part intended for use in flight hardware shall be procured to controlled specifications. 

International  specifications  systems  such  as  ESCC  or  MIL,  recognized  as  suitable  for  space 

applications, shall be used by the Subcontractor. 

This  document  shall  be  configuration  controlled  by  the  Subcontractor,  and  submitted  to 

Customer (Satellite System Integrator) PMPCB for approval through the PAD process. 

The  EEE  parts  procurement  responsible  is  requested  to  ask  the  manufacturer  to  give 

notification  of  any  product  change  affecting  qualification,  performance,  quality,  reliability  and 

interchangeability and to communicate this information to the Subcontractor (if applicable). 

The  issue  and  revision  of  the  detail  procurement  specifications  shall  be  specified  in  the  Part 

Identification List. 

 

K.3.3. Lot Acceptance Test and Quality Conformance Inspection 

Any  lot  of  EEE  parts  shall  be  submitted  to  a  LAT  (ESCC  system)  or  QCI/TCI  (MIL  system) 

procedure according to the following rules: 

a.  ESA  qualified  parts  :  For  ESA  qualified  parts,  LAT  is  implemented  in  accordance  with  the 

ESA specifications. 

b. MIL qualified parts : For MIL qualified parts, QCI/TCI is implemented in accordance with the 


background image

Space Pioneer 

Program

 

Product Assurance Requirements for 

General Unit 

Doc. No: SPPO-D0-800-002 
Issue: D.00 
Date: 15 April 2021 
Page:  62  of 84 

 
 
 

 

quality level of the MIL specification.   

c.  Non-qualified  parts  :  For  non-qualified  parts  purchased  to  source  control  drawing,  LAT  or 

QCI shall be performed in accordance  with the closest applicable ESA or MIL specification. 

The content of the lot acceptance is ESCC level LAT1 or level LAT2 or LVT(subgroups 1, 2, 

and 3) or comparable QCI. Customer (Satellite System Integrator) will approve the proposed 

level during PMPCB, through the PAD provided by the Subcontractor. 

When a lot built with different sub lots is submitted to LAT/QCI, the distribution of these sub lots 

shall be identified and the LAT/QCI sampling shall be representative of this distribution. 

A failure analysis shall be performed on any part which failed during the LAT/QCI/TCI. Analysis 

result shall be available for review by Customer (Satellite System Integrator), on request. 

EEE parts used during life test of LAT/QCI /TCI are prohibited to be used as flight parts. 

 

K.3.4. Destructive Physical Analysis 

The  DPA  shall  be  performed  on  3  samples  per  lot  for  nonstandard  parts  belonging  to  the 

following categories:   

a. Hybrid circuits,   

b. Microcircuits,   

c. Discrete semiconductors,   

d. Relays and switches,   

e. Crystals and Oscillators,   

f. Passive microwave devices,   

g. Capacitors (ceramic, tantalum, and variable),   

h. Filters 

Either standard or not, the  DPA shall be performed on 3 samples per lot on relays, oscillators, 

and hybrids. The DPA sample size may be reduced in some cases which shall be submitted to 

Customer (Satellite System Integrator) for approval through the PAD process. 

The Subcontractor shall verify that the outcome of the DPA is satisfactory prior to the installation 

of the components into flight hardware. 

The DPA procedure and reports, which includes photos, shall be provided to Customer (Satellite 

System Integrator) for review on request. 

 

K.3.5. Radiation Hardness Verification 

Radiation  sensitive  parts,  as  defined  in  K.2.1,  and  for  which  applicable  existing  test  data  is 

insufficient shall be subjected to RVT. 

RVT shall be performed in accordance with internationally recognized standards, such as ESCC 


background image

Space Pioneer 

Program

 

Product Assurance Requirements for 

General Unit 

Doc. No: SPPO-D0-800-002 
Issue: D.00 
Date: 15 April 2021 
Page:  63  of 84 

 
 
 

 

Basic Specifications No.  22900  and No 25100, MIL-STD-750 Test Method 1080, MIL-STD-883 

Test Method 1019, or JEDEC JESD57. 

The results of RVT shall be documented by a report and shall be provided to Customer (Satellite 

System Integrator) for review on request. 

 

K.4. SPECIFIC PARTS REQUIREMENTS 

 

K.4.1. Application Specific Integrated Circuits (ASIC) 

ECSS-Q-ST-60-02  or  equivalent  MIL  specification  shall  apply  for  the  design  development  of 

ASICs. 

 

K.4.2. One Time Programmable Devices 

For  FPGA,  ECSS-Q-ST-60-02  or  equivalent  MIL  specification,  shall  apply  for  the  design 

development.  The  Subcontractor  shall  submit  a  post-programming  procedure,  depending  on 

part types (including, when necessary, electrical tests, programming conditions and equipment, 

burn-in  conditions,  additional  screening  tests  and  specific  marking  after  programming)  to 

Customer (Satellite System Integrator) for approval. 

 

K.4.3. Hybrids Devices 

The Subcontractor shall manufacture Hybrids in accordance with the requirements of MIL-PRF-

38534 Class K or ECSS-Q-ST-60-05 shall apply. 

 

K.4.4. Electromagnetic Devices 

The  in-house  magnetic  parts  shall  be  designed  and  screened  using  MIL-STD-981  as  a  guide 

line. 

 

K.4.5. Microwave Monolithic Integrated Circuits 

ECSS-Q-ST-60-12 or equivalent MIL specification shall be applied. 

 

K.5. PARTS EVALUATION PROGRAM 

The Subcontractor shall  implement a part evaluation  and  approval testing program in absence 

of  an  approved  demonstration  that  a  part  has  the  ability  to  conform  to  the  requirements  for 

performance, quality, reliability, and environmental resistance as required for the program. 

The  evaluation  program,  documented  by  an  evaluation  plan,  shall  identify  the  manufacturing 

baseline in order to ensure that the flight parts shall be built according to the same technology 


background image

Space Pioneer 

Program

 

Product Assurance Requirements for 

General Unit 

Doc. No: SPPO-D0-800-002 
Issue: D.00 
Date: 15 April 2021 
Page:  64  of 84 

 
 
 

 

and manufacturing processes as the evaluated components. 

In  the  case  that  a  change  affects  the  qualification  status,  a  new  qualification  or  a  delta 

qualification shall be undertaken. 

For  commercial  parts,  the  Subcontractor  is  encouraged  to  perform  a  single  procurement  for 

evaluation and flight parts in order to ensure that the evaluation results are representative of the 

flight parts. 

The evaluation plan is based on the following elements: 

a. Constructional analysis 

b. Manufacturer assessment 

c.  Evaluation  testing  (according  to  the  Qualification  or  LAT/QCI  of  the  ESCC/MIL  standard 

parts depending on the part consideration) 

d.  Radiation  testing  (if  applicable,  depending  on  the  component  sensitivity  and  the  program 

requirements) 

Reduction  or  omission  of  any  element  of  the  evaluation  requirements  shall  be  justified  on  the 

basis of documentary evidence provided by the responsible of the evaluation program. 

The evaluation plan shall be submitted to Customer (Satellite System Integrator) for approval, in 

the frame of PAD process. The evaluation results, documented by an evaluation report, shall be 

submitted to Customer (Satellite System Integrator) for approval. 

The preliminary PAD approval does not prejudge its final acceptance. The final approval shall be 

definitely pronounced when the evaluation is successfully completed.   

Failure analysis shall be conducted on  any part  which failed  during this evaluation program, in 

order  to  determine  the  reason  for  failure  and  to react  at procurement  level  or  at  part  selection 

level. 

 

K.6. PART IDENTIFICATION LIST 

The Subcontractor shall issue a  Part  Identification List, identifying  all  EEE parts used for each 

unit.  The  Subcontractor  Part  Identification  List  shall  include  Lower  Tier  Subcontractor's  or 

Supplier's  Part  Identification  List.  The  subcontractor  shall  issue  the  Part  Identification  List  and 

the As-built Part Identification List in editable and sortable electronic format. 

 

K.7. RECEIVING INSPECTION 

Each  part  shall  be  submitted  to  an  incoming  inspection.  The  objective  of  the  inspection  is  to 

verify the compliance with the procurement specification and the purchase order requirements. 

The receiving inspection shall at least include following verifications: 

a. Compliance with the purchase order requirements   


background image

Space Pioneer 

Program

 

Product Assurance Requirements for 

General Unit 

Doc. No: SPPO-D0-800-002 
Issue: D.00 
Date: 15 April 2021 
Page:  65  of 84 

 
 
 

 

b. Manufacturer Certificate of Conformance (COC) 

c. Integrity of the parts by visual inspection 

d. Packaging of the components   

e. Review of delivered documentations 

f. Quantity 

 

K.8. HANDLING AND STORAGE 

The  Subcontractor  shall  establish  and  implement  procedures  for  handling  and  storage  of  EEE 

parts  in  order  to  prevent  any  degradation,  taking  into  account  the  possible  use  of  plastic 

packages. 

As a minimum the following areas shall be covered: 

a. Control of storage environment such as temperature (22±5°C), humidity (45% < RH < 65% 

max), cleanliness 

b.  Appropriate  measures  and  facilities  for  segregating  and  protecting  parts  during  incoming 

inspection, storage and delivery to manufacturing 

c. Control measures to ensure that parts susceptible to ESD are identified and handled only by 

properly  trained  personnel  using  antistatic  packaging,  tools  and  other  means,  including 

procedures 

For  PEM  Devices,  specific  requirements  for  handling,  storage,  and  bake-out  before  mounting 

shall be applied. 

 

K.9. NONCONFORMANCE 

Any observed deviation of EEE parts from requirements of applicable specifications, procedures 

and drawings shall be controlled by the nonconformance control system. 

The nonconformance control system shall handle all nonconformances occurring on EEE parts 

during: 

a. Manufacturing (if available), screening and acceptance tests, 

b. Incoming inspection, 

c. Integration and test of equipment, 

d. Storage and handling. 

 

K.10. QUALITY REQUIREMENT 

 


background image

Space Pioneer 

Program

 

Product Assurance Requirements for 

General Unit 

Doc. No: SPPO-D0-800-002 
Issue: D.00 
Date: 15 April 2021 
Page:  66  of 84 

 
 
 

 

 

TABLE K-1. QUALITY REQUIREMENT FOR EEE PARTS FOR LEO 

 

 


background image

Space Pioneer 

Program

 

Product Assurance Requirements for 

General Unit 

Doc. No: SPPO-D0-800-002 
Issue: D.00 
Date: 15 April 2021 
Page:  67  of 84 

 
 
 

 

 

 


background image

Space Pioneer 

Program

 

Product Assurance Requirements for 

General Unit 

Doc. No: SPPO-D0-800-002 
Issue: D.00 
Date: 15 April 2021 
Page:  68  of 84 

 
 
 

 

 
 


background image

Space Pioneer 

Program

 

Product Assurance Requirements for 

General Unit 

Doc. No: SPPO-D0-800-002 
Issue: D.00 
Date: 15 April 2021 
Page:  69  of 84 

 
 
 

 

 


background image

Space Pioneer 

Program

 

Product Assurance Requirements for 

General Unit 

Doc. No: SPPO-D0-800-002 
Issue: D.00 
Date: 15 April 2021 
Page:  70  of 84 

 
 
 

 

 
 


background image

Space Pioneer 

Program

 

Product Assurance Requirements for 

General Unit 

Doc. No: SPPO-D0-800-002 
Issue: D.00 
Date: 15 April 2021 
Page:  71  of 84 

 
 
 

 

 

 


background image

Space Pioneer 

Program

 

Product Assurance Requirements for 

General Unit 

Doc. No: SPPO-D0-800-002 
Issue: D.00 
Date: 15 April 2021 
Page:  72  of 84 

 
 
 

 

 

TABLE K-2. QUALITY REQUIREMENT FOR EEE PARTS FOR GEO 

 


background image

Space Pioneer 

Program

 

Product Assurance Requirements for 

General Unit 

Doc. No: SPPO-D0-800-002 
Issue: D.00 
Date: 15 April 2021 
Page:  73  of 84 

 
 
 

 

 


background image

Space Pioneer 

Program

 

Product Assurance Requirements for 

General Unit 

Doc. No: SPPO-D0-800-002 
Issue: D.00 
Date: 15 April 2021 
Page:  74  of 84 

 
 
 

 

 


background image

Space Pioneer 

Program

 

Product Assurance Requirements for 

General Unit 

Doc. No: SPPO-D0-800-002 
Issue: D.00 
Date: 15 April 2021 
Page:  75  of 84 

 
 
 

 

 


background image

Space Pioneer 

Program

 

Product Assurance Requirements for 

General Unit 

Doc. No: SPPO-D0-800-002 
Issue: D.00 
Date: 15 April 2021 
Page:  76  of 84 

 
 
 

 

 


background image

Space Pioneer 

Program

 

Product Assurance Requirements for 

General Unit 

Doc. No: SPPO-D0-800-002 
Issue: D.00 
Date: 15 April 2021 
Page:  77  of 84 

 
 
 

 

 

 


background image

Space Pioneer 

Program

 

Product Assurance Requirements for 

General Unit 

Doc. No: SPPO-D0-800-002 
Issue: D.00 
Date: 15 April 2021 
Page:  78  of 84 

 
 
 

 

APPENDIX 

L. 

청정도 

 

오염관리 

(CLEANLINESS 

CONTAMINATION CONTROL) 

 

L.1. GENERAL 

The  Subcontractor  shall  maintain  a  contamination  control  program  applicable  to  the  End 

Product. The program shall consist in defining the specific cleanliness requirements and setting 

forth  the  approaches  to  meeting  them,  and  then  in  implementing  the  control  and  monitoring 

activities.   

The contamination sensitive components shall be identified and shall be controlled specially. 

Contaminants  include  all  materials  of  molecular  or  of  particulate  nature  whose  presence 

degrades  hardware  performance.  The  source  of  the  contaminant  materials  may  be  the 

hardware itself, the test facilities, and the environments to which the hardware is exposed. 

All hardware and support equipment shall be received by Customer (Satellite System Integrator) 

in visibly clean condition. 

 

L.2. CONTAMINATION CONTROL 

The  Subcontractor  shall  define  a  contamination  allowance  for  performance  degradation  of 

contamination sensitive hardware such that, even in the degraded state, the hardware will meet 

its mission objectives. The contamination allowable shall be assessed in a timely manner such 

that  results  can  be  used  to  assess  the  adequacy  of  and,  if  necessary,  to  modify  the  design  of 

the hardware. 

In  case  the  Subcontractor  develops  contamination  sensitive  equipment,  he  shall  provide 

contamination  control  plan.  This  plan  shall  describe  methods  for  controlling  contamination  and 

for  ensuring  that  the  contamination  allowance  is  not  exceeded.  It  shall  identify  the  controls, 

inspections,  tests,  analyses,  and  documentation  necessary  for  measuring  and  maintaining  the 

levels  of  cleanliness  required  during  the  various  phases  of  the  hardware  lifetime  including  the 

spacecraft system AIT and Launch preparation period. 

In case the Subcontractor develops contamination sensitive equipment, contamination analysis 

shall be performed and its result shall be submitted to Customer (Satellite System Integrator) for 

review.  This  analysis  will  show  Procedures,  standards,  and  specifications  referenced  in  the 

contamination control plan shall be available for review at the Subcontractor's facilities. 

 

L.3. EQUIPMENT CLEANLINESS REQUIREMENTS 

The Subcontractor shall define specific cleanliness criteria suitable for his process and the End 


background image

Space Pioneer 

Program

 

Product Assurance Requirements for 

General Unit 

Doc. No: SPPO-D0-800-002 
Issue: D.00 
Date: 15 April 2021 
Page:  79  of 84 

 
 
 

 

Product. General rules are listed below: 

a. Selection of materials will be based on TML and CVCM parameters. The outgassing criteria 

shall be TML < 1% or CVCM < 0.1 %. 

b.  Elements  with  organic  material  shall  be  baked  out  during  48  hours  at  65  °C  or  equivalent 

conditions according to the material characteristics. 

c. Airborne cleanliness class for Integration or assembly operation shall be better than 100,000 

class and shall be defined to ensure that the contamination allowance is not exceeded and it 

shall be specified in the contamination control plan. 

d. The Subcontractor shall monitor molecular contamination and particular contamination. The 

contamination budget at delivery shall satisfy the criteria defined by Contamination Analysis 

results. 

e. For the cleanliness critical hardware, particulate cleaning shall be done by vacuum cleaning 

only. Molecular cleaning may be done with an approved procedure. 

 

L.4. CLEANLINESS REQUIREMENTS FOR TRANSPORTATION 

The  End  Product  shall  be  double  packed  within  sealed  plastic  bags  for  the  transportation  or 

storage phases:   

a. The inner bag shall be sealed with cleaned equipment inside and with no loose parts which 

could damage the equipment. 

c.  The  outer  bag  shall  be  sealed  with  the  inner  bag  inside  and  desiccant  bags.  Even  if  the 

desiccant bag is damaged, the hardware shall not come in contact with loose desiccants. 

c.  The  materials  used  for  equipment  packaging,  such  as  plastic  bags  and  foam,  shall  be 

designed with materials presenting no free particles and no organic materials outgassing. 

d. If special packing requirements are required by the nature of hardware, those are described 

in the contamination control plan. 

 

L.5. VACUUM BAKE OUT 

Materials which are considered as contamination critical shall be submitted to vacuum bake out. 

The  bake  out  parameters  shall  be  agreed  with  Customer  (Satellite  System  Integrator)  on  a 

case-by-case basis. These parameters must be identified in the Material List. 

An outgassing test must be performed on the materials after vacuum bake out to demonstrate 

compliance with the requirements of Section L.3. In all instances, a test reference from an ESA 

or NASA approved source must be provided to assure the accuracy of the data. 

All of the deliverable flight items shall undergo vacuum environment before delivery. 

 


background image

Space Pioneer 

Program

 

Product Assurance Requirements for 

General Unit 

Doc. No: SPPO-D0-800-002 
Issue: D.00 
Date: 15 April 2021 
Page:  80  of 84 

 
 
 

 

APPENDIX  M.  소프트웨어  품질보증  (SOFTWARE  QUALITY 

ASSURANCE) 

 

M.1. GENERAL 

The  Subcontractor  shall  establish  a  Software  Assurance  Program  which  includes  the  entire 

software development processes and the methods used to ensure software quality. 

The Software Assurance Program shall include the processes such as requirements definition, 

software  design,  coding,  code  review,  software  configuration  management,  testing,  release 

management, and product integration. 

The Software Assurance Plan shall include the followings: 

a.  The  software  development  cycles  (milestones,  input,  output,  etc.)  the  types  of  activities 

(verification, validation, tests, etc.) on each development phase 

b. The methods, tools, and rules to be applied 

c. Development environment implemented 

d. Dedicated actions to inspect Lower Tier Subcontractor 

e. Quality arrangements for the warranty phase 

 

M.2. LIST OF SOFTWARE 

The Subcontractor shall prepare list and keep up to date a list of all software components which 

are part of the End Product under his responsibility. The list shall include: 

a. Name and identification in the product tree structure 

b. Reference of the associated requirement specification 

c. Name of the provider 

d. Criticality of the software component 

e.  Programming  language  and  the  volumes  of  associated  code  specifying  the  method  or  tool 

for calculation of these volumes 

f. For re-use software, the overall rate of re-use 

g. Development machine and its operating system 

h. Target machine and its operating system 

A  set  of  milestones  shall  be  defined  for  each  software  component  to  be  consistent  with  the 

product development cycle and criticality. 

 

M.3. MANAGEMENT OF RESOURCES 

The  Subcontractor  shall  perform  performance  budget  evaluations  during  design  for  memory 


background image

Space Pioneer 

Program

 

Product Assurance Requirements for 

General Unit 

Doc. No: SPPO-D0-800-002 
Issue: D.00 
Date: 15 April 2021 
Page:  81  of 84 

 
 
 

 

occupation and CPU load during execution. 

Budget  analysis  results  of  resources  for  on-board  software  shall  be  provided  to  Customer 

(Satellite System Integrator) during Design Review. 

 

M.4. SOFTWARE CONFIGURATION 

Software configuration document is a living document. It remains available at project milestone 

and  is  delivered  with  any  software  for  validation  or  acceptance.  The  configuration  document 

shall explicitly identify the differences between the version delivered and the previous delivered 

version. It shall be supported by an information technology tool. 

The  component  of  a  deliverable  software  product  shall  be  identified  and  marked  when 

configured for delivery with a non-removable label on each physical medium. It shall include at 

least the name of the software, its version number, and its configuration document reference. 

 

M.5. DOCUMENT MANAGEMENT 

The following documents shall be managed in parallel with related software components: 

a.  Documents  describing  development  or  quality  procedures  to  be  implemented  during  the 

software life cycle 

b.  Documents  derived  from  software  product  development,  including  the  documentation 

intended for operators and users of the software system. 

 

M.6. SOFTWARE SPECIFICATION 

The software specifications shall define all topics necessary to satisfy applicable requirements. 

Each requirement in the specification shall be identified by a unique reference. 

 

M.7. DESIGN 

The  design  description  shall  cover  the  hierarchy,  dependency,  interfaces  of  the  software 

components, dynamic sequencing of components, and data flow checks. 

Software  design  shall  minimize  dependencies  with  respect  to  the  operating  system  and  the 

hardware in order to contribute to software maintainability and portability. 

 

M.8. CODING 

Programming language adapted to the software product and to the design method shall be used. 

Coding  rules  and  conventions  for  consistent  naming  shall  be  defined  for  each  programming 

language. Dedicated coding rules shall be defined to avoid using risky instructions and use the 

real time executive retained to best effect. In particular, the following shall be prohibited:   


background image

Space Pioneer 

Program

 

Product Assurance Requirements for 

General Unit 

Doc. No: SPPO-D0-800-002 
Issue: D.00 
Date: 15 April 2021 
Page:  82  of 84 

 
 
 

 

a. Dynamic memory allocation 

b. Use of generic characteristics. 

The source code shall subject to configuration management. 

 

M.9. TESTS 

The test strategy shall define test level, types of test, and test coverage. For on-board software, 

the test strategy shall define: 

a.  The  target  processor  environment  which  shall  be  simulated  or  shall  be  executed  really  on 

the development chain 

b. The tests that will be performed on the development processor and those performed on the 

real target processor (validation shall  include central flight software coupling  with the target 

processor) 

c. How are handling tests of software integrated in an equipment 

d. How are handling re-used software 

When  requirements  are  not  covered  by  test,  verification  activities  such  as  simulations, 

inspection, or analysis shall be performed. 

After validation, the areas affected by changes or corrections shall be identified  and subject to 

re-testing. In the event of re-testing, any documentation related to tests (test case specification, 

procedures, report, etc.) shall be updated. 

 

M.10. DELIVERY, INSTALLATION, AND ACCEPTANCE 

Before the software  is presented to  Customer (Satellite System Integrator) for acceptance, the 

Subcontractor shall ensure that: 

a. The source and object codes supplied 

b. All agreed changes have been implemented 

c. All nonconformances have been declared and resolved 

d. All necessary facilities are available 

Once  acceptance  tests  have  been  performed,  the  Subcontractor  shall  prepare  a  report  which 

ensure  conformance  with  software  requirements  and  establish  the  conclusion  concerning  the 

test result for the software product subjected to such tests accepted, accepted on condition, or 

rejected. 

 

M.11. MAINTENANCE PREPARATION 

Maintenance  plans  and  procedures  shall  deal  with  maintenance  in  terms  of  correction  and 

adaptation.  Any  adaptation  or  correction  to  the  software  product  shall  be  covered  by  non-


background image

Space Pioneer 

Program

 

Product Assurance Requirements for 

General Unit 

Doc. No: SPPO-D0-800-002 
Issue: D.00 
Date: 15 April 2021 
Page:  83  of 84 

 
 
 

 

regression  tests.  Any  adaptation  or  correction  to  the  software  shall  be  documented  in 

compliance  with  the  documentation  management  and  product  configuration  management 

procedures. 

 

M.12. PROCURED SOFTWARE 

The term ‘Procured Software’ covers both software bought off-the-shelf and software used after 

having been developed outside the contract to which the present requirements apply. 

The  choice  of  Procured  Software  shall  be  described  and  proposed  to  Customer  (Satellite 

System Integrator) in the form of a list of software components. The list of software components 

shall include as a minimum: 

a. Order criteria (version, options, extensions, etc.) 

b. Intellectual ownership constraints 

c. Acceptance inspection criteria (qualification, documentation, etc.), 

d. Maintenance organization 

e. Standby solutions if the product were unavailable 

Any  software  procured  to  be  used  in  a  software  product  shall  be  identified  and  registered  by 

configuration management for that product, as for developed software. 


background image

-  23  -

붙임#4. EMC 시험규격 

- 별도문서 : “ECSS-E-ST-20-07C Rev.1 EMC Spec.pdf”


background image

ECSS-E-ST-20-07C Rev. 1 

7 February 2012 

 

Space engineering 

Electromagnetic compatibility 

 

ECSS Secretariat 

ESA-ESTEC 

Requirements & Standards Division 

Noordwijk, The Netherlands 


background image

ECSS‐E‐ST‐20‐07C Rev. 1 

7 February 2012 

Foreword 

This  Standard  is  one  of  the  series  of  ECSS  Standards  intended  to  be  applied  together  for  the 
management,  engineering  and  product  assurance  in  space  projects  and  applications.  ECSS  is  a 
cooperative  effort  of  the  European  Space  Agency,  national  space  agencies  and  European  industry 
associations for the purpose of developing and maintaining common standards. Requirements in this 
Standard are defined in terms of what shall be accomplished, rather than in terms of how to organize 
and  perform  the  necessary  work.  This  allows  existing  organizational  structures  and  methods  to  be 
applied where they are effective, and for the structures and methods to evolve as necessary without 
rewriting the standards. 

This  Standard  has  been  prepared  by  the  ECSS‐E‐ST‐20‐07  Working  Group,  reviewed  by  the  ECSS 
Executive Secretariat and approved by the ECSS Technical Authority. 

Disclaimer 

ECSS does not provide any warranty whatsoever, whether expressed, implied, or statutory, including, 
but not limited to, any warranty of merchantability or fitness for a particular purpose or any warranty 
that  the  contents  of  the  item  are  error‐free.  In  no  respect  shall  ECSS  incur  any  liability  for  any 
damages, including, but not limited to, direct, indirect, special, or consequential damages arising out 
of,  resulting  from,  or  in  any  way  connected  to  the  use  of  this  Standard,  whether  or  not  based  upon 
warranty, business agreement , tort, or otherwise; whether or not injury was sustained by persons or 
property or otherwise; and whether or not loss was sustained from, or arose out of, the results of, the 
item, or any services that may be provided by ECSS. 

Published by:  

ESA Requirements and Standards Division 

 

ESTEC, P.O. Box 299, 

 

2200 AG Noordwijk 

 

The Netherlands 

Copyright:  

2012 © by the European Space Agency for the members of ECSS 


background image

ECSS‐E‐ST‐20‐07C Rev. 1 

7 February 2012 

Change log 

ECSS‐E‐ST‐20‐07A 

Never issued 

ECSS‐E‐ST‐20‐07B 

Never issued 

ECSS‐E‐ST‐20‐07C 

31 July 2008 

First issue 

ECSS‐E‐ST‐20‐07C 
Rev. 1 

7 February 2012 

First issue Revision 1 

Changes with respect to ECSS‐E‐ST‐020‐07C (31 July 2008) are identified with 
revision tracking. 

Requirements modified: 

•  4.2.5.1a.: corrected cross‐reference in Note to 5.4.5. 

•  4.2.11.2e.: Note with example deleted 

•  4.2.11.2g: modified 

•  5.2.1a.1. and 5. modified 

•  5.3.3a. to d. modified 

•  5.3.4a.: Note 2 deleted and quote sign in text corrected 

•  5.4.3.3a.3.(a):added to requirement ʺ for differential mode testing and 

Figure 5‐9 for common mode testingʺ 

•  5.4.4.4a.3.(b): corrected in requirement reference to EUT switch to read 

ʺFigure 5‐11.bʺ 

•  5.4.9.2a.2ʺ.: changed bandwidth from ʺ10 MHzʺ to ʺ50 MHzʺ 

•  5.4.11.3e.2.: corrected reference to Figure to read ʺFigure 5‐27ʺ 

 

Editorial corrections in requirements: 

•  The possessive case‐like notation ” ‘s ” used to mean plural after 

acronyms have been corrected, e.g. “EEDʹs“ and “LISNʹs“ has been 
changed into “EEDs“ respectively “LISNs“when it means plural in 
4.2.2.2c, 5.2.4a, 5.2.4b, 5.2.4c, 5.2.6.3a, 5.2.6.5a, 5.2.6.6.3.c, 5.2.6.6.3.d, 
5.2.6.6.3.f, 5.3.2b, 5.4.3.2.a.9 

•  Corrected in 5.3.4a the incorrect “unquote“ sign. 

•  5.4.4.5b NOTE: Corrected typo in word ʺTypicalʺ 

 

Modifications in informative parts: 

•  4.2.11.1: added reference to clause 4.2.11.2 and Figure 4‐1 (Figure was 

moved from 4.2.11.3), corrected style of paragraph from ʺrequirementʺ to 
ʺinformative textʺ. Text of Note modified. 


background image

ECSS‐E‐ST‐20‐07C Rev. 1 

7 February 2012 

•  Figure 4‐1 modified and moved to clause 4.2.11.1. 

•  5.4.1: corrected reference from ʺ5.4.11.4ʺ to read ʺ5.4.12ʺ 

•  Table 5‐3: cross‐ references in last column corrected. 

•  Annex A.2: corrected in 3rd bullet ʺICEʺ to read ʺICEʺ, ʺmeasurementʺ to 

read ʺmeasurementsʺʺ and reference to read ʺFigure A‐1ʺ 

•  Figure A‐1: Caption of Figure modified 

•  Figure A‐2 moved from A.2 to A.4 

•  A.4: corrected in 2nd bullet reference to read ʺFigure A‐2ʺ 

•  Figure A‐3 moved to A.9 

•  A.6.2: Formula corrected 

•  A.9: corrected in 2nd and 4th bullet reference to read ʺFigure A‐3ʺ 

•  Figure A‐4 moved to A.10 

•  A.10: corrected in first paragraph reference to read ʺ5.4.7ʺ 

•  A.10: corrected in 1st bullet reference to read ʺFigure A‐4ʺ 

•  A.11: corrected in first paragraph reference to read ʺ5.4.8ʺ 

•  A.13: corrected in first paragraph reference to read ʺ5.4.10ʺ 

•  A.14: corrected in first paragraph reference to read ʺ5.4.11ʺ 

•  A.15: corrected in first paragraph reference to read ʺ5.4.12ʺ 

 


background image

ECSS‐E‐ST‐20‐07C Rev. 1 

7 February 2012 

Table of contents 

Change log .................................................................................................................3 

Introduction................................................................................................................9 

1 Scope.....................................................................................................................10 

2 Normative references ...........................................................................................11 

3 Terms, definitions and abbreviated terms..........................................................12 

3.1

  Terms from other standards .....................................................................................12 

3.2

  Terms specific to the present standard ....................................................................13 

3.3

  Abbreviated terms .................................................................................................... 15 

4 Requirements........................................................................................................17 

4.1

  General system requirements .................................................................................. 17 

4.2

  Detailed system requirements ..................................................................................17 

4.2.1

 

Overview.....................................................................................................17

 

4.2.2

 

EMC with the launch system ...................................................................... 17

 

4.2.3

 

Lightning environment ................................................................................ 18

 

4.2.4

 

Spacecraft charging and effects ................................................................. 18

 

4.2.5

 

Spacecraft DC magnetic emission ............................................................. 19

 

4.2.6

 

Radiofrequency compatibility...................................................................... 20

 

4.2.7

 

Hazards of electromagnetic radiation ......................................................... 20

 

4.2.8

 

Intrasystem EMC ........................................................................................ 20

 

4.2.9

 

EMC with ground equipment ...................................................................... 21

 

4.2.10

  Grounding...................................................................................................21 

4.2.11

  Electrical bonding requirements ................................................................. 22 

4.2.12

  Shielding (excepted wires and cables) ....................................................... 23 

4.2.13

  Wiring (including wires and cables shielding)............................................. 23 

5 Verification ............................................................................................................25 

5.1

  Overview ..................................................................................................................25 

5.1.1

 

Introduction................................................................................................. 25

 

5.1.2

 

Electromagnetic effects verification plan .................................................... 25

 


background image

ECSS‐E‐ST‐20‐07C Rev. 1 

7 February 2012 

5.1.3

 

Electromagnetic effects verification report.................................................. 25

 

5.2

  Test conditions .........................................................................................................25 

5.2.1

 

Measurement tolerances ............................................................................ 25

 

5.2.2

 

Test site ...................................................................................................... 26

 

5.2.3

 

Ground plane.............................................................................................. 28

 

5.2.4

 

Power source impedance ........................................................................... 28

 

5.2.5

 

General test precautions ............................................................................ 30

 

5.2.6

 

EUT test configurations .............................................................................. 30

 

5.2.7

 

Operation of EUT........................................................................................ 33

 

5.2.8

 

Use of measurement equipment ................................................................ 34

 

5.2.9

 

Emission testing .........................................................................................35

 

5.2.10

  Susceptibility testing ................................................................................... 37 

5.2.11

  Calibration of measuring equipment........................................................... 38 

5.3

  System level .............................................................................................................39 

5.3.1

 

General.......................................................................................................39

 

5.3.2

 

Safety margin demonstration for critical or EED circuits ............................ 39

 

5.3.3

 

EMC with the launch system ...................................................................... 39

 

5.3.4

 

Lightning ..................................................................................................... 40

 

5.3.5

 

Spacecraft and static charging ................................................................... 40

 

5.3.6

 

Spacecraft DC magnetic field emission...................................................... 40

 

5.3.7

 

Intra–system electromagnetic compatibility................................................ 40

 

5.3.8

 

Radiofrequency compatibility...................................................................... 40

 

5.3.9

 

Grounding................................................................................................... 41

 

5.3.10

  Electrical bonding .......................................................................................41 

5.3.11

  Wiring and shielding ................................................................................... 41 

5.4

  Equipment and subsystem level test procedures ..................................................... 41 

5.4.1

 

Overview.....................................................................................................41

 

5.4.2

 

CE, power leads, differential mode, 30 Hz to 100 kHz ............................... 42

 

5.4.3

 

CE, power and signal leads, 100 kHz to 100 MHz ..................................... 44

 

5.4.4

 

CE, power leads, inrush current ................................................................. 47

 

5.4.5

 

DC Magnetic field emission, magnetic moment ......................................... 49

 

5.4.6

 

RE, electric field, 30 MHz to 18 GHz .......................................................... 52

 

5.4.7

 

CS, power leads, 30 Hz to 100 kHz............................................................ 56

 

5.4.8

 

CS, bulk cable injection, 50 kHz to 100 MHz.............................................. 58

 

5.4.9

 

CS, power leads, transients........................................................................ 62

 

5.4.10

  RS, magnetic field, 30 Hz to 100 kHz......................................................... 65 

5.4.11

  RS, electric field, 30 MHz to 18 GHz .......................................................... 68 


background image

ECSS‐E‐ST‐20‐07C Rev. 1 

7 February 2012 

5.4.12

  Susceptibility to electrostatic discharges .................................................... 74 

Annex A (informative) Subsystem and equipment limits.....................................79 

A.1

  Overview ..................................................................................................................79 

A.2

  CE on power leads, differential mode, 30 Hz to 100 MHz........................................ 79 

A.3

  CE on power leads, in-rush currents ........................................................................ 81 

A.4

  CE on power and signal leads, common mode, 100 kHz to 100 MHz ..................... 81 

A.5

  CE on antenna ports ................................................................................................82 

A.6

  DC magnetic field emission...................................................................................... 82 

A.6.1

 

General.......................................................................................................82

 

A.6.2

 

Characterization ......................................................................................... 83

 

A.6.3

 

Limit ............................................................................................................84

 

A.7

  RE, low-frequency magnetic field............................................................................. 84 

A.8

  RE, low-frequency electric field ................................................................................ 84 

A.9

  RE, electric field, 30 MHz to 18 GHz ........................................................................85 

A.10

  CS, power leads, differential mode, 30 Hz to 100 kHz. ............................................ 86 

A.11

  CS, power and signal leads, common mode, 50 kHz to 100 MHz ........................... 87 

A.12

  CS, power leads, short spike transients ................................................................... 87 

A.13

  RS, magnetic field, 30 Hz to 100 kHz....................................................................... 88 

A.14

  RS, electric field, 30 MHz to 18 GHz ........................................................................89 

A.15

  Susceptibility to electrostatic discharge.................................................................... 90 

 

Figures 

Figure 4-1: Bonding requirements.......................................................................................... 22

 

Figure 5-1: RF absorber loading diagram .............................................................................. 27

 

Figure 5-2: Line impedance stabilization network schematic ................................................. 29

 

Figure 5-3: General test setup................................................................................................ 31

 

Figure 5-4: Typical calibration fixture ..................................................................................... 35

 

Figure 5-5: Conducted emission, 30 Hz to 100 kHz, measurement system check ................ 44

 

Figure 5-6: Conducted emission, 30 Hz to 100 kHz, measurement setup ............................. 44

 

Figure 5-7: Conducted emission, measurement system check.............................................. 45

 

Figure 5-8: Conducted emission, measurement setup in differential mode ........................... 45

 

Figure 5-9: Conducted emission, measurement setup in common mode .............................. 46

 

Figure 5-10: Inrush current: measurement system check setup ............................................ 48

 

Figure 5-11: Inrush current: measurement setup ................................................................... 48

 

Figure 5-12: Smooth deperm procedure ................................................................................ 52

 

Figure 5-13: Electric field radiated emission. Basic test setup ............................................... 54

 

Figure 5-14: Electric field radiated emission. Antenna positioning ......................................... 54

 


background image

ECSS‐E‐ST‐20‐07C Rev. 1 

7 February 2012 

Figure 5-15: Electric field radiated emission. Multiple antenna positions ............................... 55

 

Figure 5-16: CS, power leads, measurement system check set-up ....................................... 57

 

Figure 5-17: CS, power leads, signal injection ....................................................................... 57

 

Figure 5-18: Bulk cable injection, measurement system check set-up .................................. 61

 

Figure 5-19: Signal test waveform.......................................................................................... 61

 

Figure 5-20: CS of power and signal leads, bulk cable injection............................................ 61

 

Figure 5-21: CS of power leads, transients, calibration set-up............................................... 63

 

Figure 5-22: CS of power leads, spike series injection test setup .......................................... 63

 

Figure 5-23: CS of power leads, spike parallel injection test setup ........................................ 64

 

Figure 5-24: Measurement system check configuration of the radiating system ................... 66

 

Figure 5-25: Basic test set-up ................................................................................................66

 

Figure 5-26: Test equipment configuration............................................................................. 70

 

Figure 5-27: RS Electric field. Multiple test antenna positions ............................................... 71

 

Figure 5-28: Receive antenna procedure............................................................................... 71

 

Figure 5-29: Spacecraft charging ESD susceptibility test ...................................................... 76

 

Figure 5-30: Susceptibility to ESD: calibration configuration.................................................. 77

 

Figure 5-31: Susceptibility to ESD: test equipment configuration .......................................... 77 

Figure A-1 : Power leads, differential mode conducted emission limit ................................... 80 

Figure A-2 : Common mode conducted emission limit........................................................... 82 

Figure A-3 : Radiated electric field limit.................................................................................. 85 

Figure A-4 : Conducted susceptibility limit, frequency domain............................................... 86 

Figure A-5 : CS, voltage spike in percentage of test bus voltage........................................... 88 

Figure A-6 : Radiated susceptibility limit ................................................................................ 89

 

 

Tables 

Table 5-1: Absorption at normal incidence............................................................................. 27

 

Table 5-2: Bandwidth and measurement time........................................................................ 36

 

Table 5-3: Correspondence between test procedures and limits ........................................... 42 

Table A-1 : Equipment: susceptibility to conducted interference, test signal ......................... 87

 

 


background image

ECSS‐E‐ST‐20‐07C Rev. 1 

7 February 2012 

Introduction 

Electromagnetic  compatibility  (EMC)  of  a  space  system  or  equipment  is  the 
ability  to  function  satisfactorily  in  its  electromagnetic  environment  without 
introducing  intolerable  electromagnetic  disturbances  to  anything  in  that 
environment. 

The  space  system  is  designed  to  be  compatible  with  its  external  natural, 
induced,  or  man‐made  electromagnetic  environment.  Natural  components  are 
lightning  for  launchers,  the  terrestrial  magnetic  field  for  space  vehicles. 
Spacecraft  charging  is  defined  as  voltage  building‐up  of  a  space  vehicle  or 
spacecraft units when immerged in plasma. Electrostatic discharges result from 
spacecraft  charging  with  possible  detrimental  effects.  External  man‐made 
interference,  intentional  or  not,  are  caused  by  radar  or  telecommunication 
beams during ground operations and the launching sequence. Intersystem EMC 
also applies between the launcher and its payload or between space vehicles. 

Intrasystem  EMC  is  defined  between  all  electrical,  electronic,  electromagnetic, 
and electromechanical equipment within the space vehicle and by the presence 
of  its  self‐induced  electromagnetic  environment.  It  comprises  the  intentional 
radiated  electromagnetic  fields  and  parasitic  emission  from  on‐board 
equipment.  Both  conducted  and  radiated  emissions  are  concerned.  An 
electromagnetic  interference  safety  margin  is  defined  at  system  critical  points 
by comparison of noise level and susceptibility at these points. 


background image

ECSS‐E‐ST‐20‐07C Rev. 1 

7 February 2012 

10 

Scope 

EMC policy and general system requirements are specified in ECSS‐E‐ST‐20. 

This  ECSS‐E‐ST‐20‐07  Standard  addresses  detailed  system  requirements 
(Clause 4),  general  test  conditions,  verification  requirements  at  system  level, 
and  test  methods  at  subsystem  and  equipment  level  (Clause  5)  as  well  as 
informative limits (Annex A). 

Associated  to  this  standard  is  ECSS‐E‐ST‐20‐06  “Spacecraft  charging”,  which 
addresses  charging  control  and  risks  arising  from  environmental  and  vehicle‐
induced  spacecraft  charging  when  ECSS‐E‐ST‐20‐07  addresses  electromagnetic 
effects of electrostatic discharges. 

Annexes  A  to  C  of  ECSS‐E‐ST‐20  document  EMC  activities  related  to 
ECSS‐E‐ST‐20‐07:  the  EMC  Control  Plan  (Annex A)  defines  the  approach, 
methods,  procedures,  resources,  and  organization,  the  Electromagnetic  Effects 
Verification  Plan  (Annex B)  defines  and  specifies  the  verification  processes, 
analyses  and  tests,  and  the  Electromagnetic  Effects  Verification  Report 
(Annex C)  document  verification  results.  The  EMEVP  and  the  EMEVR  are  the 
vehicles for tailoring this standard. 

This standard may be tailored for the specific characteristic and constrains of a 
space project in conformance with ECSS‐S‐ST‐00. 

 


background image

ECSS‐E‐ST‐20‐07C Rev. 1 

7 February 2012 

11 

Normative references 

The  following  normative  documents  contain  provisions  which,  through 
reference  in  this  text,  constitute  provisions  of  this  ECSS  Standard.  For  dated 
references, subsequent amendments to, or revision of any of these publications 
do not apply, However, parties to agreements based on this ECSS Standard are 
encouraged to investigate the possibility of applying the more recent editions of 
the  normative  documents  indicated  below.  For  undated  references,  the  latest 
edition of the publication referred to applies. 

 

ECSS‐S‐ST‐00‐01 

ECSS system ‐ Glossary of terms 

ECSS‐E‐ST‐20 

Space engineering ‐ Electrical and electronic 

ECSS‐E‐ST‐20‐06 

Space engineering ‐ Spacecraft charging 

ECSS‐E‐ST‐33‐11 

Space engineering ‐ Explosive systems and devices 

ECSS‐E‐ST‐50‐14 

Space engineering – Spacecraft discrete interfaces 

IEC 61000‐4‐2 
(Edition 1.2) 

Electromagnetic compatibility (EMC) ‐ Part 4‐2: 
Testing and measurement techniques ‐ Electrostatic 
discharge immunity test  


background image

ECSS‐E‐ST‐20‐07C Rev. 1 

7 February 2012 

12 

Terms, definitions and abbreviated terms 

3.1 

Terms from other standards 

For  the  purpose  of  this  Standard,  the  terms  and  definitions  from 
ECSS‐S‐ST‐00‐01 apply, in particular for the following terms: 

critical item 

customer 

equipment 

item 

launcher, launch vehicle 

mission 

requirement 

safety critical function 

supplier 

spacecraft, space vehicle 

subsystem 

system 

test 

verification 

 

For the purposes of this Standard, the following terms have a specific definition 
contained in ECSS‐E‐ST‐20: 

conducted emission 

electromagnetic compatibility 

electromagnetic compatibility control 

electromagnetic interference 

electromagnetic interference safety margin 

emission 

high‐voltage 

lightning indirect effects 


background image

ECSS‐E‐ST‐20‐07C Rev. 1 

7 February 2012 

13 

radiated emission 

radiofrequency 

susceptibility 

susceptibility threshold 

 

For  the  purposes  of  this  document,  the  following  terms  have  a  specific 
definition contained in ECSS‐E‐ST‐20‐06: 

electrostatic discharge (ESD) 

secondary arc 

 

For the purposes of this document, the following term has a specific definition 
contained in ECSS‐E‐ST‐33‐11: 

electro‐explosive device (EED) 

3.2 

Terms specific to the present standard 

3.2.1 ambient 

level 

level of radiated and conducted signal, and noise that exist at the specified test 
location and time when the equipment under test is not operating 

NOTE  

E.g. atmospherics, interference from other sources, 
and  circuit  noise  or  other  interference  generated 
within  the  measuring  set  compose  the  “ambient 
level”. 

3.2.2 antenna 

factor 

factor  that,  when  properly  applied  to  the  voltage at  the  input  terminals  of  the 
measuring instrument, yields the electric or magnetic field strength 

NOTE 1  This factor includes the effects of antenna effective 

length, mismatch, and transmission losses. 

NOTE 2  The electric field strength is normally expressed in 

V/m and the magnetic field strength in A/m or T. 

3.2.3 

common mode voltage 

voltage difference between source and receiver ground references 

3.2.4 

contact discharge method 

method  of  testing  in  which  the  electrode  of  the  high‐voltage  test  generator  is 
held  in  contact  with  the  discharge  circuit,  and  the  discharge  actuated  by  a 
discharge switch 


background image

ECSS‐E‐ST‐20‐07C Rev. 1 

7 February 2012 

14 

3.2.5 

electromagnetic environmental effects 

impact  of  the  electromagnetic  environment  upon  equipment,  systems,  and 
platforms 

NOTE  

It  encompasses  all  electromagnetic  disciplines, 
including 

electromagnetic 

compatibility; 

electromagnetic 

interference, 

electromagnetic 

vulnerability, hazards of electromagnetic radiation 
to  personnel,  electro‐explosive  devices,  volatile 
materials, and natural phenomena effects. 

3.2.6 field 

strength 

resultant of the radiation, induction and quasi‐static components of the electric 
or magnetic field 

NOTE  

The  term  “electric  field  strength”  or  “magnetic 
field  strength”  is  used,  according  to  whether  the 
resultant, electric or magnetic field, respectively, is 
measured. 

3.2.7 ground 

plane 

metal  sheet  or  plate  used  as  a  common  reference  point  for  circuit  returns  and 
electrical or signal potentials 

3.2.8 improper 

response 

subsystem  or  equipment  response  which  can  be  either  inadvertent  or 
unacceptable 

3.2.9 inadvertent 

response 

proper subsystem functional response (within normal range of limits) actuated 
by  electromagnetic  interference,  but  occurring  at  other  than  the  normal 
operational  cycle,  which  in  turn  causes  improper  response  to  the  total  space 
system 

3.2.10 

line impedance stabilization network (LISN) 

network  inserted  in  the  supply  leads  of  an  apparatus  to  be  tested  which 
provides,  in  a  given  frequency  range,  a  specified  source  impedance  for  the 
measurement  of  disturbance  currents  and  voltages  and  which  can  isolate  the 
apparatus from the supply mains in that frequency range 

3.2.11 not 

operating 

condition wherein no power is applied to the equipment 

3.2.12 overshield 

shield surrounding a bundle or a shielded cable 

3.2.13 

passive intermodulation product 

generation  of  a  signal  at  frequency  f  =  n*f1  +  m*f2  from  two  signals  at 
frequencies  f1  and  f2,  where  n  and  m  are  positive  or  negative  integers,  by  a 
passive device, usually an electrical contact 


background image

ECSS‐E‐ST‐20‐07C Rev. 1 

7 February 2012 

15 

3.2.14 port 

place  of  access  to  a  device  or  network  where  energy  can  be  supplied  or 
withdrawn,  or  where  the  device  or  network  variables  can  be  observed  or 
measured 

3.2.15 

power quality requirements 

requirements  which  define  the  conducted  voltage  noise  or  impedance  the 
power user can expect 

NOTE  

Noise e.g. from load regulation, spikes, and sags. 

3.2.16 

soft magnetic material 

ferromagnetic material with a coercivity smaller than 100 A/m 

3.2.17 spurious 

emission 

electromagnetic  emission  from  the  intended  output  terminal  of  an  electronic 
device, but outside of the designed emission bandwidth 

3.2.18 test 

antenna 

antenna  of  specified  characteristics  designated  for  use  under  specified 
conditions in conducting tests 

3.2.19 unit 

equipment that is viewed as an entity for purposes of analysis, manufacturing, 
maintenance, or record keeping 

NOTE  

E.g.  hydraulic  actuators,  valves,  batteries,  and 
individual  electronic  boxes  such  as  on‐board 
computer,  inertial  measurement  unit,  reaction 
wheel,  star  tracker,  power  conditioning  unit, 
transmitters, receivers, or multiplexers. 

3.3 

Abbreviated terms 

For the purpose of this standard, the abbreviated terms of ECSS‐S‐ST‐00‐01 and 
the following apply: 

Abbreviation 

Meaning 

AC 

alternating current 

ACS 

attitude control system 

AM 

amplitude modulation 

AWG 

American wire gauge 

BCI 

bulk cable injection 

CE 

conducted emission 

CS 

conducted susceptibility 

CW 

continuous wave 

DC 

direct current 


background image

ECSS‐E‐ST‐20‐07C Rev. 1 

7 February 2012 

16 

EED 

electro‐explosive device 

EGSE 

electrical ground support equipment 

EHF 

extremely high frequency (30 GHz‐300 GHz) 

EMC 

electromagnetic compatibility 

EMCAB 

electromagnetic compatibility advisory board 

EMCCP 

electromagnetic compatibility control plan 

EMEVP 

electromagnetic effects verification plan 

EMEVR 

electromagnetic effects verification report 

EMI 

electromagnetic interference 

EMISM 

electromagnetic interference safety margin 

ESD 

electrostatic discharge 

EUT 

equipment under test 

HV 

high voltage 

ICD 

interface control document 

LEO 

low Earth orbit 

LF 

low frequency 

LISN 

line impedance stabilization network 

MGSE 

mechanical ground support equipment 

PAM 

pulse amplitude modulation 

PCM 

pulse coded modulation 

RE 

radiated emission 

RF 

radio frequency 

r.m.s. 

root‐mean‐square 

RS 

radiated susceptibility 

SHF 

super‐high frequency (3 GHz‐30 GHz) 


background image

ECSS‐E‐ST‐20‐07C Rev. 1 

7 February 2012 

17 

Requirements 

4.1 

General system requirements 

EMC  policy  and  general  system  requirements,  and  the  spacecraft  charging 
protection  program  are  specified  in  ECSS‐E‐ST‐20  Electromagnetic 
Compatibility clause and EMC Plan DRD. 

4.2 

Detailed system requirements 

4.2.1 

Overview 

This  clause  4.2  defines  the  requirements  for  design  and  realization  at  system 
level.  They  are  the  basis  for  definition  of  activities  of  the  EMC  programme  to 
ensure space‐system‐level compatibility with minimum impact to programme, 
cost, schedule, and operational capabilities. 

4.2.2 

EMC with the launch system 

4.2.2.1 

Overview 

General system requirements for “EMC with the launch system” are defined in 
ECSS‐E‐ST‐20. 

4.2.2.2 

Detailed system requirements 

a. 

Overload capability of the spacecraft RF receivers during the pre‐launch 
and launch phases with or without fairing, shall be demonstrated by the 
spacecraft supplier. 

NOTE 1  It  is  expected  the  electromagnetic  environment 

generated  by  companion  payloads  is  assessed  by 
the  launching  company  and  addressed  in  the 
User’s Manual. 

NOTE 2  A  conductive  fairing  is  likely  to  cause  resonances 

and cavity effects. 

b. 

Spacecraft  equipment  shall  not  exhibit  any  malfunction,  degradation  of 
performance or deviation beyond the tolerance indicated in its individual 


background image

ECSS‐E‐ST‐20‐07C Rev. 1 

7 February 2012 

18 

specification  after  being  exposed,  even  not  operating,  to  the 
electromagnetic environment from the launcher and launch site. 

NOTE  

Most  of  spacecraft  equipment  is  not  operating 
during  launch.  During  the  launching  sequence 
spacecraft transmitters and receivers (platform and 
payload)  can  be  either  in  OFF‐  or  ON‐state 
depending on the launch vehicle. 

c. 

The electromagnetic interference safety margin (EMISM) of safety critical 
equipment  shall  be  applied  to  equipment  in  ON‐state  during  prelaunch 
and launch phase and to EEDs. 

4.2.3 

Lightning environment 

4.2.3.1 

Overview 

Protection  of  the  space  system  against  both  direct  and  indirect  effects  of 
lightning  can  be  a  combination  of  operational  avoidance  of  the  lightning 
environment and electrical overstress design techniques. 

4.2.3.2 

Requirements to the space system 

a. 

Assessment  of  risk,  on  the  launch  pad  inside  the  protected  area,  for  the 
space  system  and  its  equipment  against  direct  and  indirect  effects  of 
lightning before lift‐off, shall be performed. 

b. 

The  spacecraft  supplier  shall  obtain  from  the  launching  company  the 
electromagnetic  environment  imposed  on  the  launcher  payloads  in  case 
of lightning. 

4.2.4 

Spacecraft charging and effects  

4.2.4.1 

Overview 

Mitigation  of  risks  related  to  spacecraft  charging  results  of  a  combination  of 
rules  and  methods  preventing  voltage  build‐up  and  so  minimizing  the 
occurrence of ESD, and techniques for controlling EMI from residual ESD. 

ECSS‐E‐ST‐20  addresses  management  of  spacecraft  charging  protection  and 
system‐level performance under effects of spacecraft charging and related ESD 
or secondary arcs. 

ECSS‐E‐ST‐20‐06  addresses  charging  control  and  risks  arising  from  spacecraft 
charging  and  other  environmental  effects  on  the  spacecraft’s  electrical 
behaviour. 


background image

ECSS‐E‐ST‐20‐07C Rev. 1 

7 February 2012 

19 

4.2.4.2 

EMI control requirements to system and equipment 
in relation with ESD 

a. 

Analysis  or  tests  at  system  level  shall  be  performed  for  assessing  the 
threat at subsystem or equipment level. 

NOTE  

Analysis  or  tests  can  be  defined  in  the  time  or 
frequency  domain.  They  are  expected  to  evaluate 
the  coupling  level  from  the  ESD  source  to  critical 
points. 

b. 

EMI  control  from  residual  ESD  shall  be  performed  by  a  combination  of 
shielding and passive or active filtering techniques, implemented on the 
main structure, at subsystem level or inside equipment. 

c. 

EMI control efficiency shall be verified by test at subsystem or equipment 
level. 

4.2.5 

Spacecraft DC magnetic emission 

4.2.5.1 

Spacecraft with susceptible payload 

a. 

As  part  of  the  EMCCP,  a  magnetic  cleanliness  control  plan  shall 
document: 

1. 

magnetic control guidelines 

2. 

emission limits to magnetic sources 

3. 

a magnetic budget 

4. 

specific  test  methods  applied  to  equipments  for  emission 
measurement and characterization 

NOTE  

The  test  method  described  in  5.4.5  providing  a 
dipole model can be inadequate and replaced by a 
multiple  dipole  model  or  a  spherical  harmonics 
model. 

4.2.5.2 

Attitude control system (ACS) 

a. 

As part of the EMCCP, a magnetic budget shall be maintained providing: 

1. 

Three‐axes  components  of  the  space  vehicle  magnetic  dipole 
(component decreasing with the inverse cube law with distance). 

NOTE  

Typical  values  lie  in  the  range  1 Am2  or  less  for 
small  spacecraft  to  much  more  than  10 Am2  for 
large spacecraft. 

2. 

If  the  solar  array  is  rotating  in  the  space  vehicle  axes,  separate 
evaluation for the main body and the solar array. 

3. 

When  the  space  vehicle  is  using  a  magnetic  sensor  as  part  of  the 
ACS, evaluation of the magnetic induction at its location. 

NOTE  

The  angular  deviation  is  the  basic  requirement; 
however, the requirement is generally expressed in 


background image

ECSS‐E‐ST‐20‐07C Rev. 1 

7 February 2012 

20 

terms  of  modification  of  the  natural  field  strength 
at  the  sensor  location.  For  LEO  spacecraft  if  the 
error  on  each  axis  is  less  than  1 μT,  the 
modification  of  the  direction  is  kept  less  than 
20 milliradians. 

b. 

The  specified  maximum  magnetic  field  value  shall  comprise  the 
remanent  magnetization  (magnets,  electro‐magnets  in  off‐state,  or 
residual  perm‐up  due  to  hysteresis  of  soft  materials),  the  induced 
magnetization  of  soft  materials  by  the  geomagnetic  field,  and  the 
momentum of current loops. 

4.2.6 

Radiofrequency compatibility 

a. 

Spurious  emissions  requirements  at  antenna  ports  shall  be  specified  for 
RF compatibility purpose by the spacecraft supplier. 

b. 

When  specifying  limits and  frequency ranges,  the  following  issues  shall 
be included: 

1. 

sensitivity of possible victim receiver subsystems including out‐of‐
band response, 

2. 

no  limits  apply  to  transmit  frequencies  and  information  carrying 
modulation bandwidths, 

3. 

highest  and  lowest  intentional  frequency  used  by  space  system 
receivers, 

4. 

antenna port attachments, gain/loss characteristics. 

4.2.7 

Hazards of electromagnetic radiation 

Assessment  of  hazards  to  electromagnetic  radiation  is  a  part  of  the  process 
specified  in  ECSS‐Q‐ST‐40‐02  “Hazard  analysis”,  clause  “Hazard  analysis 
requirements”. 

4.2.8 

Intrasystem EMC 

a. 

Intrasystem EMC shall be achieved by: 

1. 

allocation  of  equipment‐level  EMI  requirements  documented  in 
the EMCCP, including: 

(a) 

limits on conducted and radiated emission, 

(b) 

susceptibility thresholds. 

NOTE  

Recommended  data  is  defined  in  Annex  A  for 
equipment and subsystems. 

b. 

control of conducted and radiated propagation paths methods defined by 
clauses 4.2.10 to 4.2.13. 


background image

ECSS‐E‐ST‐20‐07C Rev. 1 

7 February 2012 

21 

4.2.9 

EMC with ground equipment 

a. 

The EGSE and MGSE used for spacecraft integration and ground testing 
shall: 

1. 

Not degrade the EMC performance of the spacecraft; 

2. 

Have no impact on grounding or isolation.  

b. 

The  EGSE  shall  be  immune  to  signals  used  for  spacecraft  susceptibility 
tests. 

4.2.10 

Grounding 

4.2.10.1  Overview 

As specified in ECSS‐E‐ST‐20, a controlled ground reference concept is defined 
for  the  space  system.  Structural  elements,  antenna  and  RF  reference  grounds, 
power  and  signal  returns,  shields  and  cable  shields,  safety  grounds,  EGSE 
grounds are considered. 

4.2.10.2  Requirements 

a. 

A  system‐level  grounding  diagram  shall  be  established  including  the 
EGSE. 

b. 

A  ground  reference  shall  be  identified  for  each  power,  signal,  or  RF 
source or receiver. 

c. 

An upper value of common mode voltage shall be specified considering: 

1. 

power  quality  requirements  defined  in  ECSS‐E‐ST‐20  for 
“Spacecraft bus”, 

2. 

type of detectors and sensitivity, 

3. 

characteristics  of  analogue  signal  monitor  receiver  circuit,  in 
accordance with ECSS‐E‐ST‐50‐14, Table 5‐2 d, 

4. 

characteristics  of  bi‐level  signal  monitor  receiver  circuit,  in 
accordance with  ECSS‐E‐ST‐50‐14, clause Table 6‐2 e, 

5. 

hazards  due  to  fault  currents  internal  to  the  space  vehicle  or 
between the space vehicle and its EGSE. 

d. 

When  power  and  signal  share  common  paths  (wire  or  structure),  the 
magnitude of ground impedance shall be limited over the affected signal 
spectrum. 

NOTE  

Non‐exclusive  techniques  for  reducing  the 
impedance  are  decrease  of  common  path  length, 
decrease of wire and ground impedance, filters on 
common paths. 


background image

ECSS‐E‐ST‐20‐07C Rev. 1 

7 February 2012 

22 

4.2.11 

Electrical bonding requirements 

4.2.11.1  Overview 

Bonding requirements are a mean for fulfilling grounding requirements. 

Normative provisions are specified in clause 4.2.11.2 and illustrated in Figure 4‐1. 

NOTE  

Bonding  requirements  for  charging  control  are 
specified 

in 

ECSS‐E‐ST‐20‐06 

“Electrical 

continuity”,  including  surfaces  and  structural  and 
mechanical parts. 

 

Main frame 

Vehicle structure 

Nearby structure 

grounding 

Bonding strap

< 20 m 

Vehicle‐bonding 

attachment point 

Ground reference point 

at system level 

< 2,5 m

Equipment 

housing 

Connector 

Equipment 

bonding stud

< 10 m 

 

Figure 4‐1: Bonding requirements 

4.2.11.2  Normative provisions 

a. 

A  vehicle  bonding  attachment  point  connected  to  the  vehicle  structure 
shall be provided as a ground reference point at system level. 

b. 

An  equipment  bonding  stud  connected  to  the  unit  housing  shall  be 
provided as a ground reference at equipment level. 

c. 

Each  unit  housing  shall  be  bonded  to  the  nearby  spacecraft  structure 
from the equipment bonding stud. 

d. 

The DC resistance between the equipment bonding stud and the nearby 
spacecraft structure shall be less than 2,5 m. 

e. 

The  inductance  between  the  equipment  bonding  stud  and  the  nearby 
spacecraft structure shall be less than 30 nH.  

f. 

The  DC  resistance  between  the  unit  housing  and  the  vehicle  bonding 
attachment point shall be less than 20 m 

g. 

The  DC  resistance  between  the  equipment  bonding  stud  and  each 
connector housing shall be less than 10 mΩ. 

h. 

Bonds shall be capable to carry the fault currents determined by analysis 
at system level, without fusing, burning, or arcing. 


background image

ECSS‐E‐ST‐20‐07C Rev. 1 

7 February 2012 

23 

i. 

If  the  structure  is  used  as  the  return  current  path,  bonding  provisions 
shall be such that DC and AC voltage drops along power paths comply 
with clause 4.2.10.2c. 

4.2.11.3  External grounds 

a. 

The functionality of connecting grounding cables for charge equalization 
shall be provided on space systems. 

NOTE  

Charge 

equalization 

is 

needed 

prior 

to 

implementing  other  procedures  or  the  application 
of power across the interface. 

4.2.12 

Shielding (excepted wires and cables) 

4.2.12.1  Overview 

When  shielding  is  used  to  control  EMC  with  the  environment,  it  can  be 
provided by the basic space vehicle structure designed as a “Faraday cage”, by 
enclosures of electronics boxes, or by cable or bundle overshields. 

4.2.12.2  Requirement 

a. 

Electronics  units  and  cables  external  to  the  basic space  vehicle structure 
shall have individual shields providing attenuation to EMI. 

NOTE  

It  is  important  to  consider  apertures  used  for 
pressure drop during ascent and for outgassing. 

4.2.13 

Wiring (including wires and cables 
shielding) 

4.2.13.1  Classification of cables 

a. 

Categorisation  of  harness  and  separate  routings  for  wires  of  different 
categories shall be defined as follows: 

1. 

applicable  to  critical  lines  as  defined  in  ECSS‐E‐ST‐20,  Clause 
“Electromagnetic interference safety margin”. 

2. 

made on the basis of the characteristics of the signals on the wire 
(and hence the interference generated), and on the susceptibility of 
the circuit to EMI. 

b. 

Wires falling into one category shall be assembled into a same bundle.  

c. 

Bundles  of  different  categories  shall  be  separated  either  by  a  separation 
distance  of  5 cm  from  the  outer  circumference  or  by  a  metallic  screen 
when they are routed on parallel paths. 

NOTE  

Overshields  or  spacecraft  walls  can  be  used  to 
fulfil the requirement. 


background image

ECSS‐E‐ST‐20‐07C Rev. 1 

7 February 2012 

24 

d. 

Wires  and  cables  shall  be  marked  in  such  a  manner  that  personnel  can 
visually identify the EMC category for each wire or cable. 

4.2.13.2  Cable shields 

a. 

Cable  shields  shall  not  be  used  as  an  intentional  current  carrying 
conductor,  except  coaxial  cables  in  radiofrequency  circuits  and  high‐
speed data links using coaxial cables. 

b. 

Cable  shields,  other  than  overshields,  shall  have  an  insulated  sheath  to 
prevent uncontrolled grounding. 

c. 

Connectors used to carry shielded wires shall 

1. 

not use a nonconductive finish, 

2. 

provide  contact  to  the  equipment  housing  with  a  resistance  less 
than 10 m through the equipment connector body as shown. 

d. 

Bonding of cable shields shall be as following: 

1. 

Bonding to chassis ground is performed at both ends: 

(a) 

through the equipment connector body, 

(b) 

using a  backshell  that  provides for  circumferential  bonding 
of shields, or using a halo‐ring. 

NOTE  

No  grounding  inside  the  equipment  through  a 
connector  ground  pin  in  order  to  prevent  any 
perturbation inside the equipment. 

2. 

Connection to electrical reference is performed through dedicated 
pins. 

NOTE  

This  case  typically  appears  in  the  design  of 
detection chains. 

e. 

Overshields shall be bonded to chassis ground: 

1. 

at both ends, 

2. 

using a 360° direct contact or a bond strap of less than 30 nH 

NOTE  

See NOTE of clause 4.2.11.2e. 

f. 

Overshields should be bonded to chassis ground at intermediary points 
with a separation distance less than 1m between two grounding points. 


background image

ECSS‐E‐ST‐20‐07C Rev. 1 

7 February 2012 

25 

Verification 

5.1 

Overview 

5.1.1 

Introduction 

This  Clause  specifies  general  conditions  for  EMC  testing,  requirements  for 
verification  at  system  level  and  detailed  procedures  for  unit  and  subsystem 
level testing. 

5.1.2 

Electromagnetic effects verification plan 

The electromagnetic effects verification plan (EMEVP) provides the instruction 
for  conducting  all  activities  needed  to  verify  electromagnetic  effects 
requirements.  This  document  defines  the  approach,  methods,  procedures,  and 
specific  test  conditions.  The  content  is  specified  in  the  EMEVP  DRD  of 
ECSS‐E‐ST‐20.  The  EMEVP  is  the  vehicle  for  tailoring  procedures  and  test 
conditions. 

5.1.3 

Electromagnetic effects verification report 

The  electromagnetic  effects  verification  report  (EMEVR)  documents  activities 
and  report  analysis  or  test  results  in  relation  with  the  verification  of  the 
electromagnetic  effects.  It  is  established  based  on  the  electromagnetic  effects 
verification plan (EMEVP). The content of the EMEVR is defined in the EMEVR 
DRD of ECSS‐E‐ST‐20 supplemented by specific requirements defined hereafter 
in 5.3 and 5.4. 

5.2 

Test conditions 

5.2.1 

Measurement tolerances 

a. 

The tolerance for EMC testing shall be as follows: 

1. 

Distance: ±5 % 

2. 

Frequency: ±2 % 

3. 

Amplitude, measurement receiver: ±2 dB 


background image

ECSS‐E‐ST‐20‐07C Rev. 1 

7 February 2012 

26 

4. 

Amplitude, 

measurement 

system 

(includes 

measurement 

receivers, transducers, cables, connectors): ±3 dB 

5. 

Time (waveforms): ±5 % 

6. 

Resistors: ±5 % 

7. 

Capacitors: ±20 % 

5.2.2 

Test site 

5.2.2.1 

Overview 

Shielded enclosures or unshielded sites are used for testing. 

Shielded  enclosures  prevent  external  environment  signals  from  contaminating 
emission  measurements  and  susceptibility  test  signals  from  interfering  with 
electrical and electronic items near the test facility. 

In unshielded sites, the tests are performed during times and conditions when 
the electromagnetic ambient is at its lowest level. 

5.2.2.2 

Shielded enclosures 

a. 

The  enclosures  shall  be  large  such  that  the  EUT  arrangement 
requirements of 5.2.6 and antenna positioning requirements described in 
the individual test procedures are satisfied. 

b. 

RF  absorber  material  shall  be  used  when  performing  electric  field 
radiated emissions or radiated susceptibility testing to reduce reflections 
of electromagnetic energy and to improve accuracy and repeatability. 

NOTE  

Example  of  RF  absorber  material  are  carbon 
impregnated foam pyramids, and ferrite tiles. 

c. 

The RF absorber shall be placed above, behind, and on both sides of the 
EUT, and  behind  the  radiating  or receiving  antenna  as shown  in  Figure 
5‐1.
 

d. 

Minimum performance of the material shall be as specified in Table 5‐1. 

NOTE  

The  manufacturer’s  specification  of  their  RF 
absorber  material  (basic  material  only,  not 
installed) can be used. 


background image

ECSS‐E‐ST‐20‐07C Rev. 1 

7 February 2012 

27 

 

> 1 m

> 30 cm 

> 30 cm 

> 50 cm

> 30 cm 

RF absorber placed 

behind the test antenna 

from ceiling to floor 

Test antenna 

EUT

RF absorber placed above, 

behind and on both sides of 
EUT from ceiling to ground 

 

Figure 5‐1: RF absorber loading diagram 

Table 5‐1: Absorption at normal incidence 

Frequency  

Minimum absorption 

80 MHz – 250 MHz 

6 dB 

above 250 MHz 

10 dB 

 

5.2.2.3 

Ambient electromagnetic level 

a. 

The  ambient  electromagnetic  level  shall  be  measured  with  the  EUT  not 
operating and all auxiliary equipment turned on. 

b. 

During testing, at least one of the following conditions shall be met: 

1. 

the ambient is at least 6 dB below the individual test limits,  

2. 

the EUT complies with the individual test limits, 

3. 

it  is  shown  that  recorded  data  exceeding  the  limits  cannot  be 
generated by the EUT (emission tests) or cannot sensitize the EUT 
(susceptibility tests). 

c. 

Background plots shall be reported for each test configuration unless all 
recorded data is at least 6 dB below the individual test limits. 

5.2.2.4 

Ambient conducted level 

a. 

Ambient  conducted  levels  on  power  leads  shall  be  measured  with  the 
leads  disconnected  from  the  EUT  and  connected  to  a  resistive  load  that 
draws the same rated current as the EUT. 


background image

ECSS‐E‐ST‐20‐07C Rev. 1 

7 February 2012 

28 

5.2.3 

Ground plane 

5.2.3.1 

General 

a. 

If the actual installation is known, the EUT shall be installed on a ground 
plane that simulates the actual installation. 

b. 

If  the  actual  installation  is  unknown  or  multiple  installations  are 
expected, then the EUT shall be installed on a metallic ground plane. 

c. 

Ground planes shall be 2 m² or larger in area with the smaller side no less 
than 75 cm. 

d. 

When  a  ground  plane  is  not  present  in  the  actual  EUT  installation,  the 
EUT shall be placed on a non‐conductive table. 

NOTE  

In  such  a  case,  test  methods  are  specific  and  are 
likely  to  differ  from  the  ones  in  the  present 
standard. 

5.2.3.2 

Metallic ground plane 

a. 

When the EUT is installed on a metallic ground plane, the ground plane 
shall have a DC surface resistance not larger than 0,1 m per square. 

b. 

The  DC  resistance  between  metallic  ground  planes  and  the  shielded 
enclosure shall be 2,5 m or less. 

c. 

The  metallic  ground  planes  shall  be  electrically  bonded  to  the  floor  or 
wall of the basic shielded room structure at least once every 1 m. 

d. 

The metallic bond straps shall be solid and maintain a five‐to‐one ratio or 
less in length to width. 

e. 

Metallic ground planes used outside a shielded enclosure shall extend at 
least 1,5 m beyond the test setup boundary in each direction. 

5.2.3.3 

Composite ground plane 

a. 

When the EUT is installed on a conductive composite ground plane, the 
surface resistivity of the actual installation shall be used. 

b. 

Composite  ground  planes  shall  be  electrically  bonded  to  the  enclosure 
with means suitable to the material. 

5.2.4 

Power source impedance 

a. 

The impedance of power sources providing input power to the EUT shall 
be  controlled  by  Line  Impedance  Stabilization  Networks  (LISNs)  for  all 
measurement. 

b. 

LISNs shall not be used on output power leads. 

c. 

The LISNs shall be located at the power source end of the exposed length 
of power leads specified in 5.2.6.6. 

d. 

The LISN circuit shown in Figure 5‐2 shall be used. 


background image

ECSS‐E‐ST‐20‐07C Rev. 1 

7 February 2012 

29 

NOTE 1  The  LISN  can  be  split  in  several  cases,  one  per 

power lead. 

NOTE 2  The series inductances represent the inductances of 

the  wiring;  the  series  resistances  represent  the 
resistances  of  the  wiring  and  of  the  central 
protections. 

NOTE 3  The  50 resistors  result  in  100   at  high 

frequency,  similar  to  the  characteristic  impedance 
of the line. 

NOTE 4  The feed‐through capacitors provide a short‐circuit 

at high frequency and make the LISN symmetrical 

NOTE 5  Connecting  the  regulation  wires  of  the  laboratory 

supply  at  the  LISN  input  in  order  to  provide 
sufficiently low impedance at low frequency is an 
appropriate method. The source impedance is then 
dominated  by  the  series  resistances  in  the  LISN. 
Alternatively, a large capacitor (between 1 mF and 
10 mF) will be used. 

+

H

H

50 

To EUT

To Power

Source

+

y m

50 

y m

Bonding stud

470nF

to 10µF

470nF

to 10µF

Metal 

enclosure

100 kΩ

100 kΩ

Optional

1 to 10mF

Regulation wires

+

H

H

50 

To EUT

To Power

Source

+

y m

50 

y m

Bonding stud

470nF

to 10µF

470nF

to 10µF

Metal 

enclosur

100 kΩ

100 kΩ

Optional

1 to 10mF

Regulation wires

 

Figure 5‐2: Line impedance stabilization network schematic 

e. 

If no value is specified x = 2 μH and y = 0,1  shall be used. 

NOTE  

The  x  and  y  values,  respectively  the  inductance 
and  the  resistance  inserted  in  each  lead  are 
expected in the EMEVP. 

f. 

Magnetic coupling between inductors shall be avoided. 

g. 

If  the  return  line  is  grounded  at  the  power  source  in  the  actual 
installation  (star  distribution),  the  return  line  of  the  LISN  shall  be 
grounded on the power source side. 

h. 

If the return line(s) of the actual installation is locally grounded (chassis 
return),  the  return  line  of  the  LISN  need  not  be  provided,  and  the  tests 
shall be performed with the return(s) tied to case. 


background image

ECSS‐E‐ST‐20‐07C Rev. 1 

7 February 2012 

30 

i. 

The  LISN  impedance  shall  be  measured  at  least  annually  under  the 
following conditions: 

1. 

the  impedance,  measured  between  the  power  output  lead  on  the 
EUT side of the LISN and the metal enclosure of the LISN, 

2. 

an unterminated power input terminal on the power source side of 
the LISN. 

5.2.5 

General test precautions 

5.2.5.1 

Safety 

a. 

Clause 4.2.7 shall apply for tests involving high electromagnetic power or 
high voltage test equipment. 

5.2.5.2 

Excess personnel and equipment 

a. 

Only the equipment and the personnel used to perform the test shall be 
present in the test area or enclosure. 

5.2.5.3 

Overload precautions 

a. 

Checks shall be performed to assure that an overload condition does not 
exist. 

NOTE  

Measurement receivers and transducers are subject 
to 

overload, 

especially 

receivers 

without 

preselectors and active transducers. 

b. 

Overload condition shall be corrected. 

NOTE  

This can be done by instrumentation changes. 

5.2.6 

EUT test configurations 

5.2.6.1 

General 

a. 

The EUT shall be configured as shown in the general test setup of Figure 
5‐3 
and maintained during all testing. 

NOTE  

For  radiated  tests,  it  may  be  desirable  to  have  the 
LISN outside of the shielded room. 


background image

ECSS‐E‐ST‐20‐07C Rev. 1 

7 February 2012 

31 

1

1

2

3

4

5

6

7

7

7

7

2m

5cm

10cm

8

9

7

1: EUT
2: LISN
3: Power source
4: Access panel
5: Interconnecting cable
6: Power lead
7: Bonding strap
8: Non conductive standoff
9: Grounding plane

1

1

2

3

4

5

6

7

7

7

7

2m

5cm

10cm

8

9

7

1: EUT
2: LISN
3: Power source
4: Access panel
5: Interconnecting cable
6: Power lead
7: Bonding strap
8: Non conductive standof
9: Grounding plane

 

Figure 5‐3: General test setup 

5.2.6.2 

Bonding of EUT 

a. 

Only  the  provisions  included  in  the  design  of  the  EUT  shall  be  used  to 
bond units. 

5.2.6.3 

Shock and vibration isolators 

a. 

EUTs  shall  be  secured  to  mounting  bases  having  shock  or  vibration 
isolators if such mounting bases are used in the actual installation  

b. 

The bonding straps furnished with the mounting base shall be connected 
to the ground plane.  

c. 

When mounting bases do not have bonding straps, bonding straps shall 
not be used in the test setup. 

5.2.6.4 

Safety grounds 

a. 

When  external  terminals,  connector  pins,  or  equipment  grounding 
conductors  are  available  for  safety  ground  connections  and  are  used  in 
the actual installation, they shall be connected to the ground plane.  

NOTE  

Arrangement and length are specified in 5.2.6.6. 

5.2.6.5 

Orientation of EUTs 

a. 

EUTs  shall  be  oriented  such  that  surfaces  that  produce  maximum 
radiated emissions and respond most readily to radiated signals face the 
measurement antennas. 

b. 

Bench mounted EUTs comprising interconnecting cables shall be located 
(10 ± 2) cm from the front edge of the ground plane. 


background image

ECSS‐E‐ST‐20‐07C Rev. 1 

7 February 2012 

32 

5.2.6.6 

Construction and arrangement of EUT cables 

5.2.6.6.1 

General 

a. 

Electrical cable assemblies shall simulate actual installation and usage. 

NOTE 1  Proper  construction  techniques  such  as  use  of 

twisted  pairs,  shielding,  and  shield  terminations 
are determinant features. 

NOTE 2  Details  on  the  cable  construction  used  for  testing 

are  defined  in  the  EMEVP  DRD  of  ECSS‐E‐ST‐20, 
and  maintained  in  the  EMEVR  DRD  of 
ECSS‐E‐ST‐20.  

b. 

Shielded  cables  or  shielded  leads  (including  power  leads  and  wire 
grounds) within cables shall be used only if they have been specified in 
installation requirements. 

5.2.6.6.2 

Interconnecting leads and cables 

a. 

Individual  leads  shall  be  grouped  into  cables  in  the  same  manner  as  in 
the actual installation. 

b. 

Up to 10 m, interconnecting cable lengths in the setup shall be the same 
as in the actual installation. 

c. 

If a cable is longer than 10 m in the actual installation, the cable length in 
the set up shall be between 10 m and the actual length. 

d. 

The  cable  arrangement  shall  be  such  that  it  satisfies  the  following 
conditions: 

1. 

At least the first 2 m (except for cables that are shorter in the actual 
installation)  of  each  interconnecting  cable  associated  with  each 
enclosure of the EUT are run parallel to the front boundary of the 
setup. 

2. 

Remaining  cable  lengths  are  routed  to  the  back  of  the  setup  and 
placed in a zigzagged arrangement. 

e. 

When the setup includes more than one cable, individual cables shall be 
separated by 2 cm measured from their outer circumference. 

f. 

For  bench  top  setups  using  ground  planes,  the  cable  closest  to  the  front 
boundary shall be placed 10 cm from the front edge of the ground plane. 

g. 

All  cables  shall  be  supported  5 cm  above  the  ground  plane  (except  for 
interconnecting cables between enclosures of the EUT that are higher in 
the actual installation). 

5.2.6.6.3 

Input power leads 

a. 

Two  metres  of  input  power  leads  (including  neutrals  and  returns)  shall 
be  routed  parallel  to  the  front  edge  of  the  setup  in  the  same  manner  as 
the interconnecting leads. 

b. 

Each  input  power  lead,  including  neutrals  and  returns,  shall  be 
connected to a LISN. 


background image

ECSS‐E‐ST‐20‐07C Rev. 1 

7 February 2012 

33 

c. 

Power leads that are bundled, as part of an interconnecting cable in the 
actual  installation,  shall  be  configured  in  the  same  fashion  for  the  2 m 
exposed length and then shall be separated from the bundle and routed 
to the LISNs. 

d. 

After the 2 m exposed length, the power leads shall be terminated at the 
LISNs in such a manner that the total length of power lead from the EUT 
electrical connector to the LISNs shall not exceed 2,5 m.  

e. 

All power leads shall be supported 5 cm above the ground plane. 

f. 

If  the  power  leads  are  twisted  in  the  actual  installation,  they  shall  be 
twisted up to the LISNs. 

5.2.6.7 

Electrical and mechanical interfaces 

a. 

Either  the  actual  equipment  from  the  platform  installation  or  loads  that 
simulate  the  electrical  properties  present  in  the  actual  installation  shall 
terminate electrical input or output interfaces. 

NOTE  

Example  of  these  electrical  properties  are 
impedance, grounding and balance. 

b. 

Signal inputs shall be applied to the electrical interfaces to exercise EUT 
circuitry.  

c. 

EUT with mechanical outputs shall be loaded under expected conditions. 

d. 

When  variable  electrical  or  mechanical  loading  is  present  in  the  actual 
installation,  testing  shall  be  performed  under  expected  worst‐case 
conditions.  

e. 

When active electrical loading is used, it shall be ensured that the active 
load  meets  the  ambient  requirements  of  5.2.2  when  connected  to  the 
setup, and that the active load does not respond to susceptibility signals. 

NOTE  

Example of active electrical loading is the test set. 

f. 

Antenna  ports  on  the  EUT  shall  be  terminated  with  shielded,  matched 
loads if the RF link is not used during the test. 

5.2.7 

Operation of EUT 

5.2.7.1 

General 

a. 

During emission measurements, the EUT shall be placed in the operating 
mode, which produces maximum emissions.  

b. 

During  susceptibility  testing,  the  EUT  shall  be  placed  in  its  most 
susceptible operating mode. 

c. 

When  the  EUT  has  several  available  modes  (including  software 
controlled  operational  modes),  the  number  of  modes  to  be  tested  for 
emission and susceptibility shall be such that all circuitry is evaluated.  

NOTE  

It  is  expected  that  the  customer  defines  or  agrees 
operating modes. 


background image

ECSS‐E‐ST‐20‐07C Rev. 1 

7 February 2012 

34 

5.2.7.2 

Operating frequencies for tuneable RF equipment 

a. 

Measurements  shall  be  performed  with  the  EUT  tuned  to  not  less  than 
three frequencies within each tuning band, tuning unit, or range of fixed 
channels,  consisting  of  one  mid‐band  frequency and a  frequency within 
±5% from each end of each band or range of channels. 

5.2.7.3 

Operating frequencies for spread spectrum 
equipment 

a. 

Operating  frequency  requirements  for  two  major  types  of  spread 
spectrum equipment shall be as follows: 

1. 

frequency  hopping:  measurements  are  performed  with  the  EUT 
utilizing a hop set which contains a minimum of 30 % of the total 
possible frequencies, and the hop set is divided equally into three 
segments  at  the  low,  mid,  and  high  end  of  the  EUT  operational 
frequency range, 

2. 

direct  sequence:  measurements  are  performed  with  the  EUT 
processing data at the highest possible data transfer rate. 

5.2.7.4 

Susceptibility monitoring 

a. 

The EUT shall be monitored during susceptibility testing for indications 
of degradation or malfunction.  

NOTE  

This  monitoring  is  normally  accomplished  using 
built‐in‐test,  visual  displays,  aural  outputs,  and 
other  measurements  of  signal  outputs  and 
interfaces.  

b. 

If EUT performance is monitored through installation of special circuitry 
in the EUT, the modifications shall not influence test results. 

5.2.8 

Use of measurement equipment 

5.2.8.1 

Overview 

Any frequency selective measurement receiver can be used for performing the 
testing  described  in  this  standard  if  the  receiver  characteristics  (that  is 
sensitivity,  selection  of  bandwidths,  detector  functions,  dynamic  range,  and 
frequency of operation) meet the constraints specified in this standard and are 
sufficient to demonstrate compliance with the applicable limits. 

5.2.8.2 

Detector 

a. 

A  peak  detector  shall  be  used  for  all  frequency  domain  emission  and 
susceptibility measurements. 

NOTE  

This  device  detects  the  peak  value  of  the 
modulation  envelope  in  the  receiver  pass  band. 
Measurement  receivers  are  calibrated  in  terms  of 


background image

ECSS‐E‐ST‐20‐07C Rev. 1 

7 February 2012 

35 

an  equivalent  root  mean  square  value  of  a  sine 
wave that produces the same peak value. 

b. 

When  measurement  devices  other  than  peak  detector  are  used  for 
susceptibility testing, correction factors shall be determined and applied 
for test signals to adjust the reading to equivalent r.m.s. values under the 
peak of the modulation envelope. 

NOTE  

Example  of  such  measurement  devices  are 
oscilloscopes,  non‐selective  voltmeters,  and  field 
strength sensors. 

5.2.8.3 

Calibration fixture (jig) 

a. 

When  current  measurements  are  performed  on  the  central  line  of  a 
coaxial  transmission  line  a  transmission  line  with  50   characteristic 
impedance, coaxial connections on both ends, and space for an injection 
probe around the centre conductor shall be used for calibration. 

NOTE  

Figure 5‐4 represents an arrangement described in 
MIL‐STD‐461E. 

 

Figure 5‐4: Typical calibration fixture 

5.2.9 

Emission testing 

5.2.9.1 

Bandwidths 

a. 

The  measurement  receiver  bandwidths  listed  in  Table  5‐2  shall  be  used 
for emission testing.  

NOTE  

These  bandwidths  are  specified  at  the  6 dB  down 
points  for  the  overall  selectivity  curve  of  the 
receivers.  

b. 

Video filtering shall not be used to bandwidth limit the receiver response.  


background image

ECSS‐E‐ST‐20‐07C Rev. 1 

7 February 2012 

36 

c. 

If a controlled video bandwidth is available on the measurement receiver, 
it shall be set to its greatest value.  

d. 

If  receiver  bandwidths  larger  that  those  in  Table  5‐2  are  used,  no 
bandwidth correction factors shall be applied to test data due to the use 
of larger bandwidths. 

NOTE  

Larger  bandwidths  can  result  in  higher  measured 
emission levels. 

Table 5‐2: Bandwidth and measurement time 

Frequency Range 

6 dB 
bandwidth 

Dwell time 

Minimum measurement time 
(analogue measurement receiver) 

30 Hz ‐ 1 kHz 

10 Hz 

0,15 s 

0,015 s/Hz 

1 kHz ‐ 10 kHz 

100 Hz 

0,015 s 

0,15 s/kHz 

10 kHz ‐ 150 kHz 

1 kHz 

0,015 s 

0,015 s/kHz 

150 kHz ‐ 30 MHz 

10 kHz 

0,015 s 

1,5 s/MHz 

30 MHz ‐ 1 GHz 

100 kHz 

0,015 s 

0,15 s/MHz 

Above 1 GHz 

1 MHz 

0,015 s 

15 s/GHz 

 

5.2.9.2 

Emission identification 

a. 

All  emissions  regardless  of  characteristics  shall  be  measured  with  the 
measurement receiver bandwidths specified in Table 5‐2. 

5.2.9.3 

Frequency scanning 

a. 

For emission measurements, the entire frequency range for each test shall 
be scanned. 

b. 

Minimum  measurement  time  for  analogue  measurement  receivers 
during emission testing shall be as specified in Table 5‐2. 

c. 

Synthesized  measurement  receivers  shall  step  in  one‐half  bandwidth 
increments or less, and the measurement dwell time shall be as specified 
in Table 5‐2. 

d. 

For equipment that operates, such that potential emissions are produced 
at  only  infrequent  intervals,  times  for  frequency  scanning  shall  be 
increased such than any emission is captured. 

5.2.9.4 

Emission data presentation 

a. 

Amplitude  versus  frequency  profiles  of  emission  data  shall  be 
automatically generated and displayed at the time of the test. 

b. 

Except  for  verification  of  the  validity  of  the  output,  data  shall  not  be 
gathered manually. 

c. 

The information shall be displayed after application of correction factors, 
including transducers, attenuators, and cable loss. 


background image

ECSS‐E‐ST‐20‐07C Rev. 1 

7 February 2012 

37 

d. 

Data output of the EUT test result shall be in the form of amplitude over 
time  (for  the  time  domain  plots)  and  amplitude  over  frequency  (for 
frequency domain plots), superimposed with the EMI test limit. 

e. 

Units  of  measurement  for  frequency  domain  emissions  measurements 
shall  be  reported  in  units  of  dB  referenced  to  1 μV,  1 μA,  1 μV/m,  1 pT 
depending on the unit defined in the test limit. 

f. 

For  time  domain  measurements,  oscilloscope  plots  shall  include  the 
amplitude physical unit (V or A) conversion factors V into A if not done 
automatically  by  the  oscilloscope,  and  the  oscilloscope  sensitivity,  time 
base settings and measurement bandwidth. 

g. 

For  frequency  domain  plots,  emission  data  shall  be  reported  in  graphic 
form with frequency resolution of 1 %, or twice the measurement receiver 
bandwidth, whichever is less stringent. 

h. 

In the event of any emissions test result over the emission test limit above 
100 MHz,  greater  accuracy  of  its  frequency  shall  be  reported  with 
resolution better than or equal to twice the measurement bandwidth. 

i. 

Each plot of emission data shall be reported with a minimum amplitude 
resolution of 1 dB. 

5.2.10 

Susceptibility testing 

5.2.10.1  Frequency stepping 

a. 

For  susceptibility  measurements,  the  entire  frequency  range  for  each 
applicable test shall be scanned. 

NOTE  

Stepped  scans  refer  to  signal  sources  that  are 
sequentially tuned to discrete frequencies. 

b. 

Stepped  scans  shall  dwell  at  each  tuned  frequency  for  the  greatest  of 
three seconds or the EUT response time. 

NOTE  

Ten  frequency  steps  per  decade  can  be  used  as  a 
basis. 

c. 

Step sizes shall be decreased such to permit observation of a response. 

NOTE  

For  receivers,  it  can  make  use  of  the  frequency 
plan to adjust the number of points. 

5.2.10.2  Modulation of susceptibility signals 

a. 

Susceptibility test signals shall be pulse modulated (on/off ratio of 40 dB 
minimum) at a 1 kHz rate with a 50 % duty cycle for susceptibility signals 
at a frequency larger than 100 kHz. 

b. 

CW  test  signals  shall  be  used  for  susceptibility  signals  at  a  frequency 
smaller than 100 kHz. 


background image

ECSS‐E‐ST‐20‐07C Rev. 1 

7 February 2012 

38 

5.2.10.3  Thresholds of susceptibility 

a. 

When susceptibility indications are noted in EUT operation, a threshold 
level shall be determined as follows where the susceptible condition is no 
longer present: 

1. 

When a susceptibility condition is detected, reduce the interference 
signal until the EUT recovers. 

2. 

Reduce the interference signal by an additional 6 dB. 

3. 

Gradually  increase  the  interference  signal  until  the  susceptibility 
condition  reoccurs;  the  resulting  level  is  the  threshold  of 
susceptibility. 

4. 

Record  this  level,  frequency  range  of  occurrence,  frequency  and 
level of greatest susceptibility, and the other test parameters. 

5.2.10.4  Susceptibility data presentation 

a. 

The  susceptibility  criteria  defined  in  the  EMI  test  procedure  shall  be 
repeated in the test report, or the “as run” EMI test procedure shall be an 
annex to the EMI test report. 

b. 

Data  showing  the  frequencies  and  amplitudes  at  which  the  test  was 
conducted shall be provided in graphical or tabular form. 

c. 

Indications of compliance with the requirements shall be provided. 

NOTE  

Such  indications  can  be  provision  of  oscilloscope 
plots of injected waveforms with test data. 

d. 

Information  shall  be  displayed  after  application  of  correction  factors, 
including transducers, attenuators, and cable loss. 

e. 

Data shall be reported with frequency resolution of 1 %. 

f. 

Data shall be provided with a minimum amplitude resolution of 1 dB for 
each plot. 

g. 

If  susceptibility  is  observed,  determined  levels  of  susceptibility  shall  be 
recorded in the test report. 

5.2.11 

Calibration of measuring equipment 

5.2.11.1  General 

a. 

Measurement  antennas,  current  probes,  field  sensors,  and  other  devices 
used in the measurement loop shall be calibrated at least every two years 
or when damaged. 

5.2.11.2  Measurement system test 

a. 

At  the  start  of  each  emission  test,  the  complete  test  system  (including 
measurement  receivers,  cables,  attenuators,  couplers,  and  so  forth)  shall 
be  verified  by  injecting  a  known  signal  (as  stated  in  the  individual  test 
procedure), while monitoring system output for the proper indication.  


background image

ECSS‐E‐ST‐20‐07C Rev. 1 

7 February 2012 

39 

b. 

When  the  emission  test  involves  an  uninterrupted  set  of  repeated 
measurements  using  the  same  measurement  equipment,  the 
measurement system test may be accomplished only one time. 

NOTE  

Example  of  such  repeated  measurements  is  the 
evaluation  of  different  operating  modes  of  the 
EUT. 

5.3 

System level 

5.3.1 

General 

a. 

Each  item  of  equipment  and  subsystem  shall  have  successfully  passed 
functional  acceptance  test procedures  as  installed  on  the  platform,  prior 
to system level EMC test. 

5.3.2 

Safety margin demonstration for critical or 
EED circuits 

a. 

A  test  performed  to  demonstrate  compliance  with  the  safety  margin 
requirement shall use one or more of the following test approaches: 

1. 

Inject interference at critical system points at x dB higher level than 
exists,  while  monitoring  other  system  points  for  improper 
responses, where x = EMISM. 

2. 

Measure  the  susceptibility  of  critical  system  circuits  for 
comparison  to  existing  interference  levels,  to  determine  the 
margin. 

3. 

Sensitize  the  system  to  render  it  x dB  more  susceptible  to 
interference,  while  monitoring  for  improper  response,  where  x  = 
EMISM. 

b. 

Safety  margin  demonstration  for  something  that  is  susceptible  to a  time 
domain circuit (including EEDs) shall use time domain methods. 

5.3.3 

EMC with the launch system 

a. 

If  the  spacecraft  is  not  powered  during  launch,  EMC  testing  with  the 
launch system need not be performed. 

b. 

If  the  spacecraft  is  powered  during  launch,  the  electric  field  radiated 
emission  requirements  specified  in  the  Launcher  User’s  manual, 
including intentional transmission, shall be verified. 

c. 

In  case  a  spacecraft  RF  transmitter  is  operating  under  fairing,  the 
following EMISMs shall be verified: 

1. 

EMISM with respect to the susceptibility threshold of the EEDs. 

2. 

EMISM  with  respect  to  the  spacecraft  RF  receivers’  susceptibility 
threshold (if operational) or damage threshold (otherwise). 


background image

ECSS‐E‐ST‐20‐07C Rev. 1 

7 February 2012 

40 

NOTE  

This  requirement  c.  applies  also  to  transmitters 
which  are  switched  off  during  launch  and  ascent 
but  can,  for  example,  be  switched  on  temporarily 
on the launch pad, for a final health check. 

d. 

The EMISM between the launch system RF emissions and the spacecraft 
RF receivers’ damage threshold shall be verified. 

5.3.4 

Lightning 

a. 

Lightning  protection  specified  in  ECSS‐E‐ST‐20  (in  clause  “Inter‐system 
EMC  and  EMC  with  environment”),  shall  be  verified  by  analysis  from 
equipment demonstration. 

NOTE 1  Test at system level need not be performed. 

NOTE 2  deleted. 

5.3.5 

Spacecraft and static charging 

a. 

Material  use,  bonding  of  discharge  elements,  thermal  blankets,  or 
metallic  items  using  a  bond  for  static  potential  equalization  shall  be 
verified by inspection or measurement at assembly into structure. 

b. 

If the bond is only used for charging control, the bonding resistance shall 
be measured with a dc‐current in the range 10 to 100 μA, under only one 
polarity, with a 2‐wires ohmmeter. 

NOTE  

If  the  bond  is  only  used  for  charging  control  the 
clauses 5.3.10a and 5.3.10b do not apply. 

5.3.6 

Spacecraft DC magnetic field emission 

a. 

Spacecraft DC magnetic field emission requirements shall be verified by a 
combination of analysis and tests. 

5.3.7 

Intra–system electromagnetic compatibility 

 

a. 

For  intra‐system  EMC  tests,  the  support  equipment  shall  provide  the 
functionality of  exercising culprits and victims, and include  the  support 
equipment instructions. 

b. 

Wherever  0 dB  EMISM  is  a  requirement,  functional  tests  at  spacecraft 
level may be accepted as a verification of EMC. 

5.3.8 

Radiofrequency compatibility 

a. 

Except 

for 

passive 

intermodulation 

products, 

radiofrequency 

compatibility shall be verified by a test at system level. 

b. 

Absence  of  passive  intermodulation  products  shall  be  verified  in 
accordance  with  the  requirements  for  “Passive  intermodulation” 
specified in ECSS‐E‐ST‐20. 


background image

ECSS‐E‐ST‐20‐07C Rev. 1 

7 February 2012 

41 

5.3.9 

Grounding 

a. 

The  system‐level  electrical  grounding  and  isolation  shall  be  verified  by 
isolation and continuity tests at system assembly. 

NOTE  

The grounding and isolation design is documented 
by  the  system‐level  grounding  diagram  including 
EGSE. 

5.3.10 

Electrical bonding 

a. 

Except  for  bonding  used  only  for  charging  control,  the  bonding 
resistances shall be measured using a 4‐wires method, under a pulsed DC 
current of 1 A.  

b. 

Except  for  bonding  used  only  for  charging  control,  the  probes  shall  be 
reversed  and  re‐measured  to  detect  possible  non  linearities  across  the 
bonded junction. 

NOTE  

See clause 5.3.5b.  

5.3.11 

Wiring and shielding 

a. 

Wiring  category  and  cable  shields  shall  be  verified  by  review  of  design 
and inspection. 

5.4 

Equipment and subsystem level test procedures 

5.4.1 

Overview 

Test  procedures  are  specified  in  clauses  5.4.2  through  5.4.12  for  verifying 
emission  and  susceptibility  requirements  at  subsystem  or  equipment  level. 
Table  5‐3  gives  the  correspondence  between  procedures  and  recommended 
limits defined in Annex A. 


background image

ECSS‐E‐ST‐20‐07C Rev. 1 

7 February 2012 

42 

Table 5‐3: Correspondence between test procedures and limits  

Informative limit 
Annex A 

Title of test procedure 

Verification 
Clause 5 

A.2 

CE on power leads, differential mode, 30 Hz to 100 kHz (1st part) 

5.4.2 

A.2 

CE on power leads, differential mode, 100 kHz to 100 MHz (2nd part) 

5.4.3 

A.3 

CE on power leads, in‐rush currents 

5.4.4  

A.4 

CE on power and signal leads, common mode, 100 kHz to 100 MHz 

5.4.3 

A.5 

CE on antenna ports 

Specific 

A.6 

DC magnetic field emission 

5.4.5  

A.7 

RE, low‐frequency magnetic field 

Specific 

A.8 

RE, low‐frequency electric field 

Specific 

A.9 

RE, electric field, 30 MHz to 18 GHz 

5.4.6 

A.10 

CS, power leads, differential mode, 30 Hz to 100 kHz 

5.4.7  

A.11 

CS, power and signal leads, common mode, 50 kHz to 100 MHz  

5.4.8  

A.12 

CS, power leads, short spike transients 

5.4.9 

A.13 

RS, magnetic field, 30 Hz to 100 kHz 

5.4.10  

A.14 

RS, electric field, 30 MHz to 18 GHz 

5.4.11  

A.15 

Susceptibility to electrostatic discharge 

5.4.12  

 

5.4.2 

CE, power leads, differential mode, 30 Hz to 
100 kHz 

5.4.2.1 

Purpose 

This method is used for measuring conducted emissions in the frequency range 
30 Hz to 100 kHz on all input power leads including returns. 

5.4.2.2 

Test equipment 

a. 

The test equipment shall be as follows: 

1. 

Measurement receiver, 

2. 

Current probe, 

3. 

Signal generator with amplifier, 

4. 

DC‐current supply, 

5. 

Data recording device, 

6. 

Oscilloscope, 

7. 

Coaxial “T” connector and coaxial to bifilar transition, 

8. 

1   and  10   power  metal  film  resistors  with  inductance  lower 
than 100 nH, 

9. 

LISN defined in 5.2.4. 


background image

ECSS‐E‐ST‐20‐07C Rev. 1 

7 February 2012 

43 

5.4.2.3 

Setup 

a. 

The test setup shall be as follows: 

1. 

Maintain  a  basic  test  setup  for  the  EUT  as  specified  in  5.2.6  and 
Figure 5‐3. 

2. 

For measurement system check, configure the test setup as shown 
in Figure 5‐5. 

3. 

For  equipment  testing,  configure  the  test  setup  as  shown  Figure 
5‐6.
 

5.4.2.4 

Procedure 

a. 

The test procedures shall be as follows: 

1. 

Turn on the measurement equipment and wait until it is stabilized. 

2. 

If the EMEVP specifies to check the measurement system, check it 
by  evaluating  the  overall  measurement  system  from  the  current 
probe to the data output device, as follows: 

(a) 

Apply a calibrated signal level, at 1 kHz and 100 kHz, which 
is at least 6 dB below the emission limit to the current probe. 

NOTE  

A power amplifier can be necessary at 1 kHz. 

(b) 

Apply through the current probe a DC‐current equivalent to 
the EUT supply current. 

NOTE 1  A  DC  current  is  applied  for  verifying  that  the 

current probe will not be saturated by the EUT 
DC supply current. 

NOTE 2  This  DC  current  is  applied  through  the  LISN 

for  applying  the  same  impedance  through  the 
probe as with the EUT. 

(c) 

Verify  the  AC  current  level  as  measured  with  the  probe  by 
comparison with voltage across the 1  resistor at 1 kHz and 
the  10   resistor  at  100 kHz;  also,  verify  that  the  current 
waveform is sinusoidal. 

(d) 

Scan  the  measurement  receiver  for  each  frequency  in  the 
same  manner  as  a  normal  data  scan.  Verify  that  the  data‐
recording  device  indicates  a  level  within  ±3 dB  of  the 
injected level. 

(e) 

If readings are obtained which deviate by more than ±3 dB, 
locate the source of the error and correct the deficiency prior 
to proceeding with the testing. 

3. 

Test  the  EUT  by  determining  the  conducted  emissions  from  the 
EUT  input  power  leads,  hot  line  and  return,  and  measure  the 
conducted emission separately on each power lead, as follows:  

(a) 

Turn on the EUT and wait for its stabilization. 

(b) 

Select  a  lead  for  testing  and  clamp  the  current  probe  into 
position. 


background image

ECSS‐E‐ST‐20‐07C Rev. 1 

7 February 2012 

44 

(c) 

Scan  the  measurement  receiver  over  the  frequency  range, 
using  the  bandwidths  and  minimum  measurement  times 
specified in Table 5‐2, clause 5.2.9.1. 

(d) 

Repeat 5.4.2.4a.3(b) and 5.4.2.4a.3(c) for each power lead. 

Signal 

generator

with

amplifier

Data 

recorder

Measurement

receiver

Current

probe

LISN

To power source

Oscilloscope

Coax “T” and

bifilar

transition

Resistor

Signal 

generator

with

amplifier

Data 

recorder

Measurement

receiver

Current

probe

LISN

To power sourc

Oscilloscope

Coax “T” and

bifilar

transition

Resistor

 

Figure 5‐5: Conducted emission, 30 Hz to 100 kHz, measurement system check 

EUT

Data recorder

Measurement

receiver

Current

probe

LISN

To power source

EUT

Data recorder

Measurement

receiver

Current

probe

LISN

To power sourc

 

Figure 5‐6: Conducted emission, 30 Hz to 100 kHz, measurement setup 

5.4.3 

CE, power and signal leads, 100 kHz to 
100 MHz 

5.4.3.1 

Purpose 

This  test  procedure  is  used  to  verify  that  electromagnetic  emissions  from  the 
EUT do not exceed the specified requirements for power input leads including 
returns, and for common mode emission. 

5.4.3.2 

Test equipment 

a. 

The test equipment shall be as follows: 

1. 

Measurement receiver, 

2. 

Current probe, 

3. 

Signal generator, 


background image

ECSS‐E‐ST‐20‐07C Rev. 1 

7 February 2012 

45 

4. 

Data recording device, 

5. 

Oscilloscope with 50  input, 

6. 

50  power divider (6dB “T” connector), 

7. 

50  coaxial load, 

8. 

Calibration fixture defined in 5.2.8.3, 

9. 

LISNs defined in 5.2.4. 

5.4.3.3 

Setup 

a. 

The test setup shall be as follows: 

1. 

Maintain  a  basic  test  setup  for  the  EUT  as  specified  in  5.2.6  and 
Figure 5‐3. 

2. 

Configure  the  test  setup  for  the  measurement  system  check  as 
shown in Figure 5‐7. 

3. 

For compliance testing of the EUT: 

(a) 

Configure  the  test  setup  as  shown  in  Figure  5‐8  for 
differential  mode  testing  and  Figure  5‐9  for  common  mode 
testing. 

(b) 

Position the current probe 10 cm from the LISN. 

Signal 

generator

Oscilloscope

50

 input

6dB

T-connector

Data 

recorder

Measurement

receiver

Current probe 

inside jig

LISN

To power source

50

 coaxial 

load

Signal 

generator

Oscilloscope

50

 input

6dB

T-connector

Data 

recorder

Measurement

receiver

Current probe 

inside jig

LISN

To power sourc

50

 coaxial 

load

 

Figure 5‐7: Conducted emission, measurement system check 

EUT

Data recorder

Measurement

receiver

Current

probe

LISN

To power source

EUT

Data recorder

Measurement

receiver

Current

probe

LISN

To power sour

 

Figure 5‐8: Conducted emission, measurement setup in differential mode 


background image

ECSS‐E‐ST‐20‐07C Rev. 1 

7 February 2012 

46 

EUT

Data recorder

Measurement

receiver

Current probe

LISN

or EGSE

To power source

EGSE

Power lines

Signal lines

OR

EUT

Data recorder

Measurement

receiver

Current probe

LISN

or EGSE

To power sourc

EGSE

Power lines

Signal lines

OR

 

Figure 5‐9: Conducted emission, measurement setup in common mode 

5.4.3.4 

Procedures 

a. 

The test procedures shall be as follows: 

1. 

Turn on the measurement equipment and wait until it is stabilized. 

2. 

If the EMEVP specifies to check the measurement system, check it 
by  evaluating  the  overall  measurement  system  from  the  current 
probe to the data output device, as follows: 

(a) 

Apply a calibrated signal level that is at least 6 dB below the 
applicable limit at 1 MHz and 10 MHz or at a level allowing 
out  of  the  noise  reading  on  the  oscilloscope,  whatever  is 
greater, to the current probe in the jig. 

(b) 

Apply through the current probe using a second wire, a DC 
current equivalent to the EUT nominal supply current. 

NOTE 1  A  DC  current  is  applied  for  verifying  that  the 

current probe will not be saturated by the EUT 
DC supply current. 

NOTE 2  This  DC  current  is  applied  through  the  LISN 

for  applying  the  same  impedance  through  the 
probe as with the EUT. 

(c) 

Verify the AC current level, as measured with the probe by 
comparison with the voltage on the T derivation. 

(d) 

Scan  the  measurement  receiver  for  each  frequency  in  the 
same manner as a normal data scan, and verify that the data‐
recording  device  indicates  a  level  within  ±3 dB  of  the 
injected level. 

(e) 

If readings are obtained which deviate by more than ±3 dB, 
locate the source of the error and correct the deficiency prior 
to proceeding with the testing. 

3. 

Test  the  EUT  by  determining  the  conducted  emission  from  the 
input power leads, hot lines and returns separately, and from each 
interconnecting  bundle  (common  mode),  including  the  ones  with 
power leads, as follows: 


background image

ECSS‐E‐ST‐20‐07C Rev. 1 

7 February 2012 

47 

(a) 

Turn on the EUT and wait until it is stabilized. 

(b) 

Select  a  lead  or  a  bundle  for  testing  and  clamp  the  current 
probe into position. 

(c) 

Scan  the  measurement  receiver  over  the  frequency  range, 
using  the  bandwidths  and  minimum  measurement  times 
specified in Table 5‐2, clause 5.2.9.1. 

(d) 

Repeat  5.4.3.4a.3(b)  and  5.4.3.4a.3(c)  for  each  power  lead  or 
for each bundle. 

5.4.4 

CE, power leads, inrush current 

5.4.4.1 

Purpose 

This test procedure is used to verify that the inrush current of the EUT does not 
exceed the specified requirements for power input leads. 

5.4.4.2 

Test equipment 

a. 

The test equipment shall be as follows: 

1. 

Two‐channels oscilloscope, 

2. 

Current probe, 

3. 

Spike generator, 

4. 

Data recording device, 

5. 

Coaxial “T” connector, 

6. 

Coaxial to bifilar transition, 

7. 

1   power  metal  film  resistor  with  inductance  lower  30 nH  and 
peak power capability, 

8. 

LISN defined in 5.2.4, 

9. 

Switching  device,  fast  bounce‐free  power  switch,  or  an  actual 
power‐controller  except  if  the  ON/OFF  command  is  implemented 
in the EUT. 

5.4.4.3 

Setup 

a. 

The test setup shall be as follows: 

1. 

Maintain  a  basic  test  setup  for  the  EUT  as  specified  in  5.2.6  and 
Figure 5‐3. 

2. 

Configure  the  test  setup  for  the  measurement  system  check  as 
shown in Figure 5‐10. 

3. 

Configure  the  test  setup  for  compliance  testing  of  the  EUT  as 
shown in Figure 5‐11. 


background image

ECSS‐E‐ST‐20‐07C Rev. 1 

7 February 2012 

48 

Spike

generator

Data 

recorder

Current

probe

LISN

To power source

Oscilloscope

Coax “T”

and bifilar

transition

Resistor

Spike

generator

Data 

recorder

Current

probe

LISN

To power sourc

Oscilloscope

Coax “T”

and bifilar

transition

Resistor

 

Figure 5‐10: Inrush current: measurement system check setup 

EUT

Data recorder

Current probe

LISN

To power source

Oscilloscope

Power 

controller

ON/OFF command

Fast bounce-free

power switch

a

c

b

EUT

Data recorder

Current probe

LISN

To power sourc

Oscilloscope

Power 

controller

ON/OFF command

Fast bounce-free

power switch

a

c

b

 

Figure 5‐11: Inrush current: measurement setup 

5.4.4.4 

Procedures 

a. 

The test procedures shall be as follows: 

1. 

Turn  on  the  measurement  equipment  and  allow  a  sufficient  time 
for stabilization. 

2. 

If  specified  by  the  EMEVP,  check  the  measurement  system  by 
evaluating the overall measurement system from the current probe 
to the data output device: 

(a) 

Apply  a  calibrated  spike  that  is  at  least  6 dB  below  the 
applicable limit to the current probe. 

(b) 

Apply through the current probe a DC current equivalent to 
the EUT supply current. 

NOTE 1  A  DC  current  is  applied  for  verifying  that  the 

current probe will not be saturated by the EUT 
DC supply current. 

NOTE 2  This  DC  current  is  applied  through  the  LISN 

for  applying  the  same  impedance  through  the 
probe as with the EUT. 


background image

ECSS‐E‐ST‐20‐07C Rev. 1 

7 February 2012 

49 

(c) 

Check  the  spike  current  as  measured  with  the  probe  by 
comparison with the voltage across the resistor. 

(d) 

Perform  the  measurement  with  the  current  probe  on  an 
oscilloscope  in  the  same  manner  as  for  EUT  testing  and 
verify that the data‐recording device indicates a level within 
±3 dB of the injected level. 

(e) 

If readings are obtained which deviate by more than ±3 dB, 
locate the source of the error and correct the deficiency prior 
to proceeding with the testing. 

3. 

Test  the  EUT  by  determining  the  conducted  emission  from  the 
EUT input power leads, as follows: 

(a) 

Select  the  positive  lead  for  testing  and  clamp  the  current 
probe into position. 

(b) 

Perform  measurement  by  application  of  power  on  the  EUT 
using  a  mercury  relay  (Figure  5‐11.a),  the  internal  EUT 
switch  (Figure  5‐11.b),  or  the  power  controller  (Figure 
5‐11
.c). 

NOTE  

The method for application of power is defined 
in the EMEVR 

5.4.4.5 

Data presentation 

a. 

In  addition  to  5.2.9.4,  data  presentation  shall  be  a  graphic  output  of 
current  versus  time  displaying  the  transient  characteristics  with 
following conditions: 

1. 

amplitude resolution within 3 % of the applicable limit, 

2. 

time  base  resolution  within  10 %  of  rise  time  for  measurement  of 
rise and fall slopes. 

NOTE  

Rise time is the duration between 10 % and 90 % of 
peak‐to‐peak amplitude 

b. 

Two separate displays shall be provided showing respectively the initial 
rise time and the full inrush response. 

NOTE  

Typical time bases are 10 μs full scale for the initial 
rise  time  and  1 ms  full  scale  for  the  full  inrush 
response. 

5.4.5 

DC Magnetic field emission, magnetic 
moment 

5.4.5.1 

Overview 

The  described  test  method  allows  obtaining  a  rough  estimate  of  the  magnetic 
moment  of  the  EUT  (centred  dipole  approximation).  It  involves  the  constraint 
of measuring the magnetic field at distances typically more than three times the 
size of the EUT. 


background image

ECSS‐E‐ST‐20‐07C Rev. 1 

7 February 2012 

50 

If  a  better  model  is  needed,  making  it  possible  to  predict  the  field  at  closer 
distances or more precisely than the centred dipole approximation allows, then 
either multiple dipole modelling techniques or spherical harmonics techniques 
can be used. 

NOTE  

It  is  the  role  of  the  EMCAB  to  assess  the  need  for 
using  such  techniques,  based  on  mission 
requirements. 

5.4.5.2 

Set-Up 

a. 

The  EUT  should  be  set  in  an  earth  field  compensated  area  providing 
zero‐field conditions for the intrinsic moment determination.  

NOTE 1  This  is  necessary  in  case  the  EUT  contains  a 

significant  amount  of  soft  magnetic  material,  as 
without  earth  field  compensation  an  induced 
magnetic moment would appear. 

NOTE 2  Earth  field  compensation  is  usually  ensured  by 

2 or 3 sets of Helmholtz coils. 

b. 

A  right‐handed  orthogonal  coordinate  system  XYZ  shall  be  assigned  to 
the EUT geometric centre.  

c. 

The  magnetic  sensor  (single‐axis  magnetometer)  shall  be  installed 
successively on the 6 semi‐axes at two different reference distances r1 and 
r2  from  the  geometric  centre  of  the  EUT  and  shall  measure  the  field 
projection along these lines. 

NOTE  

The  reference  distances  are  typically  more  than 
three times the size of the EUT 

d. 

Alternatively  the  EUT  may  be  installed  on  a  turntable  and  rotated  in 
front  of  a  fixed  magnetometer,  presenting  each  XYZ  axis  (positive  and 
negative) successively aligned with the sensor axis. 

e. 

The  magnetic  field  shall  be  positive  when  orientated  from  the  centre  of 
the EUT towards the magnetometer. 

5.4.5.3 

Test sequence 

a. 

The test sequence shall be as follows: 

1. 

EUT  not  operating,  initial  measurements  on  the  six  semi‐axes  at 
the reference distances. 

2. 

Deperm: 

(a) 

EUT  not  operating,  application  of  a  deperming  field  in 
accordance  with  Figure  5‐12  frequency  3 Hz,  maximum 
amplitude  between  4 000 μT  and  5 000 μT,  successively  on 
each XYZ axis of the EUT. 

NOTE 1  This is usually done using Helmholtz coils. 

NOTE 2  A  sequence  of  symmetrical  sine  periods  of 

increasing  and  decreasing  amplitude  gives 
better  results  than  a  sine  wave  modulated  by 
exponentials or ramp functions. 


background image

ECSS‐E‐ST‐20‐07C Rev. 1 

7 February 2012 

51 

(b) 

Measurement  after  deperm  on  the  six  semi‐axes  at  the 
reference distances. 

3. 

Perm: 

(a) 

EUT not operating, application of a perm field of 300 μT on 
each XYZ axis. 

(b) 

Measurement  after  perm  on  the  six  semi‐axes  at  the 
reference distances. 

4. 

Stray  field:  EUT  operating,  measurement  on  the  six  semi‐axes  at 
the reference distances. 

5. 

Final deperm: repeat 5.4.5.3a.2. 

5.4.5.4 

Data presentation 

a. 

For  DC  magnetic  field  emission,  data  shall  be  presented  as  follows, 
superseding clauses 5.2.9.4a through 5.2.9.4i

1. 

For  each  measurement  distance,  for  each  of  the  6  semi‐axes,  the 
following  induction  measurements  in  μT  are  plotted  in  tabular 
form: 

 

B(+X), B(‐X), B(+Y), B(‐Y), B(+Z), B(‐Z) 

2. 

For each measurement distance, mean inductions, for each axis, are 
computed  in  units  of  μT  and  plotted  in  tabular  form,  using 
following equations:   

 

 

2

X

X

X

B

B

B

 

 

2

Y

Y

Y

B

B

B

 

 

2

Z

Z

Z

B

B

B

 

3. 

For  each  measurement  distance  r,  3‐axes  magnetic  moment 
components  in  units  of  Am²  are  calculated  using  the  following 
equations and reported: 

Mx = 5 r3 BX   

M in units of Am², r in meters, B in μT 

My = 5 r3 BY 

Mz = 5 r3 BZ 

4. 

Using values of Mx, My and Mz at both distances r1 and r2, values 
M1  and  M2  of  the  magnetic  moment  are  calculated  using  the 
following equations and reported: 

M1 =  Mx(r1)2 + My(r1)2 + Mz(r1)2 
M2 =  Mx(r2)2 + My(r2)2 + Mz(r2)2 

NOTE  

If  the  EUT  is  a  centred  dipolar  source,  then 
M1 = M2. 


background image

ECSS‐E‐ST‐20‐07C Rev. 1 

7 February 2012 

52 

deperm field

time

B (

µ

T)

Increase : t > 200 s 

Decrease : t > 400 s

5000 µT 

- 5000 µT 

< 0.03 µT 
at switch off 

Increase : 2 % 

Decrease : 1 %

 

Figure 5‐12: Smooth deperm procedure 

5.4.6 

RE, electric field, 30 MHz to 18 GHz 

5.4.6.1 

Purpose 

This test procedure is used to verify that electric field emissions from the EUT 
and its associated cabling do not exceed specified requirements. 

5.4.6.2 

Test equipment 

a. 

The test equipment shall be as follows: 

1. 

Measurement receiver, 

2. 

Data recording device, 

3. 

Linearly polarized antennas, 

NOTE  

The following antennas are commonly used: 
  30 MHz to 200 MHz, biconical, 137 cm tip to tip, 
  200 MHz to 1 GHz, double ridge horn, 69,0 cm by 

94,5 cm opening, or log‐periodic, 

  1 GHz to 18 GHz, double ridge horn, 24,2 cm by 

13,6 cm opening. 

4. 

Signal generators, 

5. 

Stub radiator, 

6. 

LISN defined in 5.2.4, optional. 


background image

ECSS‐E‐ST‐20‐07C Rev. 1 

7 February 2012 

53 

5.4.6.3 

Test setup 

a. 

A basic test setup for the EUT as shown and described in Figure 5‐3 and 
5.2.6 shall be maintained to ensure that the EUT is oriented such that the 
surface  that  produces  the  maximum  radiated  emissions  is  toward  the 
front edge of the test setup boundary. 

NOTE  

The LISN should be used. 

b. 

The  measurement  system  shall  be  checked  by  configuring  the  test 
equipment as shown in Figure 5‐13. 

c. 

To test the EUT antenna positioning, the test setup boundary of the EUT 
and  associated  cabling  for  use  in  positioning  of  antennas  shall  be 
determined.  

d. 

To test the EUT antenna positioning, the physical reference points on the 
antennas shown in Figure 5‐14 for measuring heights of the antennas and 
distances  of  the  antennas from  the  test  setup  boundary shall  be used as 
follows: 

1. 

Position  antennas  1 m  from  the  front  edge  of  the  test  setup 
boundary for all setups. 

2. 

Position antennas above the floor ground plane. 

3. 

Ensure  that  no  part  of  any  antenna  is  closer  than  1 m  from  the 
walls and 0,5 m from the ceiling of the shielded enclosure. 

e. 

The antenna positions shall be determined as follows: 

1. 

For testing below 200 MHz: 

(a) 

For setups with the side edges of the boundary 3 m or less, 
one  position,  with  the  antenna  centred  with  respect  to  the 
side edges of the boundary. 

(b) 

For setups with the side edges of the boundary greater than 
3 m, N antenna positions at spacing as shown in Figure 5‐15, 
where  N  is  the  edge‐to‐edge  boundary  distance  (in  metres) 
divided by 3 and rounding up to an integer. 

2. 

For testing from 200 MHz up to 1 GHz, place the antenna in such a 
number  of  positions  that  the  entire  width  of  each  EUT  enclosure 
and  the  first  35 cm  of  cables  and  leads  interfacing  with  the  EUT 
enclosure are within the 3 dB beamwidth of the antenna. 

3. 

For  testing  at  1 GHz  and  above,  place  the  antenna  in  such  a 
number  of  positions  that  the  entire  width  of  each  EUT  enclosure 
and  the  first  7 cm  of  cables  and  leads  interfacing  with  the  EUT 
enclosure are within the 3 dB‐beamwidth of the antenna. 


background image

ECSS‐E‐ST‐20‐07C Rev. 1 

7 February 2012 

54 

 

Test setup boundary

Shielded 

enclosure 

Antenna

Signal 

generator 

Measurement 

receiver 

Data recording 

device 

Connected for 

measurement 

Connected for 

system check 

 

Figure 5‐13: Electric field radiated emission. Basic test setup 

 

Floor 

Ground plane 

Test setup 

boundary 

Antenna 

0,9 m 

1 m

1,2 m

 

Figure 5‐14: Electric field radiated emission. Antenna positioning 


background image

ECSS‐E‐ST‐20‐07C Rev. 1 

7 February 2012 

55 

Test setup boundary

Length x(m); N positions = x/3 (rounded up nearest 

integer) 

Shielded enclosure 

Antenna

Antenna 

Antenna 

x/N (m)

x/N (m)

x/2 N (m) 

x/2 N (m) 

1 m

 

Figure 5‐15: Electric field radiated emission. Multiple antenna positions 

5.4.6.4 

Test procedures 

a. 

The  measurement  equipment  shall  be  turned  on  and  waited  until  it  is 
stabilized. 

b. 

It  shall  be  verify  that  the  ambient  requirements  specified  in  5.2.2.3  are 
met and plots of the ambient taken. 

c. 

The measurement system shall be checked as follows:  

1. 

Using the system check path of Figure 5‐13, perform the following 
evaluation  of  the  overall  measurement  system  from  each  antenna 
to the data output device at the highest measurement frequency of 
the antenna:  

(a) 

Apply a calibrated signal level that is at least 6 dB below the 
limit (limit minus antenna factor) to the coaxial cable at the 
antenna connection point. 

(b) 

Scan  the  measurement  receiver  in  the  same  manner  as  a 
normal data scan, and verify that the data‐recording device 
indicates a level within ±3 dB of the injected signal level. 

(c) 

If readings are obtained which deviate by more than ±3 dB, 
locate the source of the error and correct the deficiency prior 
to proceeding with the testing. 

2. 

Using the measurement path of Figure 5‐13, perform the following 
evaluation  for  each  antenna  to  demonstrate  that  there  is  electrical 
continuity through the antenna: 

(a) 

Radiate  a  signal  using  an  antenna  or  stub  radiator  at  the 
highest measurement frequency of each antenna. 

(b) 

Tune  the  measurement  receiver  to  the  frequency  of  the 
applied  signal  and  verify  that  a  received  signal  of 
appropriate amplitude is present. 

NOTE  

This  evaluation  is  intended  to  provide  a  coarse 
indication that the antenna is functioning properly. 


background image

ECSS‐E‐ST‐20‐07C Rev. 1 

7 February 2012 

56 

There is no requirement to measure accurately the 
signal level. 

d. 

The  EUT  shall  be  tested  by  using  the  measurement  path  of  Figure  5‐13 
and  by  determining  the  radiated  emissions  from  the  EUT  and  its 
associated cabling as follows: 

1. 

Turn on the EUT and wait until it is stabilized. 

2. 

Scan  the  measurement  receiver  for  each  applicable  frequency 
range, using the bandwidths and minimum measurement times in 
5.2.9.1 

3. 

Orient the antennas for both horizontally and vertically polarized 
fields. 

4. 

Repeat  steps  5.4.6.4d.2  and  5.4.6.4d.3  for  each  antenna  position 
determined under 5.4.6.3c, 5.4.6.3d, and 5.4.6.3e. 

5.4.6.5 

Data Presentation 

a. 

In  addition  to  5.2.9.4,  data  presentation  shall  provide  a  statement 
verifying  the  electrical  continuity  of  the  measurement  antennas  as 
determined in 5.4.6.4c.1(c). 

5.4.7 

CS, power leads, 30 Hz to 100 kHz 

5.4.7.1 

Purpose 

This test procedure is used to verify the ability of the EUT to withstand signals 
coupled on input power leads. 

5.4.7.2 

Test equipment 

a. 

The test equipment shall be as follows: 

1. 

Signal generator, 

2. 

Power amplifier, 

3. 

1,5   to  2,7   power  metal  film  resistor  with  inductance  lower 
1 000 nH and peak power capability, 

4. 

Oscilloscopes, 

5. 

Current probe, 

6. 

Differential high voltage‐probe, 

7. 

injection transformer, 

8. 

LISN defined in 5.2.4 optional. 

5.4.7.3 

Setup 

a. 

The test setup shall be as follows: 

1. 

Maintain  a  basic  test  setup  for  the  EUT  as  specified  in  5.2.6  and 
Figure 5‐3. 


background image

ECSS‐E‐ST‐20‐07C Rev. 1 

7 February 2012 

57 

2. 

Check  measurement  system  by  configuring  the  test  equipment  in 
accordance  with  Figure  5‐16,  and  setting  up  the  oscilloscope  to 
monitor the voltage across the resistor. 

3. 

Test the EUT by configuring the test equipment as shown in Figure 
5‐17.
 

 

O s c illo sc o p e  

d iffe re n tial p ro b e

S ig n a l 

g e n e ra to r

P o w e r 

a m p lifie r

C u rre n t 

p ro b e  

In je ctio n  

tran sfo rm e r  

D a ta  

re co rd e r 

O s cillo sc o p e  

R e sisto r 

1 ,5  to  2 ,7

 

Figure 5‐16: CS, power leads, measurement system check set‐up 

EU T 

Stim ulation and 

m onitoring of 

EU T 

LISN 

Current 

probe 

Power 
inputs 

Injection 

transformer

Data 

recorder 

O scilloscope 

O scilloscope 

differential probe 

Signal 

generator

Power 

am plifier

1,5 to 2,7

 

Figure 5‐17: CS, power leads, signal injection 


background image

ECSS‐E‐ST‐20‐07C Rev. 1 

7 February 2012 

58 

5.4.7.4 

Procedures 

a. 

The  measurement  equipment  shall  be  turned  on  and  waited  until  it  is 
stabilized. 

b. 

The  measurement  system  shall  be  checked  using  the  measurement 
system check setup for waveform verification as follows: 

1. 

Set the signal generator to the lowest test frequency. 

2. 

Increase  the  applied  signal  until  the  oscilloscope  indicates  the 
voltage level specified by application of clause 4.2.8, verify that the 
output waveform is sinusoidal, and verify that the indication given 
by  the  current  probe  is  within  3 dB  of  the  expected  level  derived 
from the 1  resistor voltage. 

3. 

Repeat 5.4.7.4b.2 by setting the signal generator to the highest test 
frequency. 

c. 

The EUT shall be tested as follows: 

1. 

Turn on the EUT and wait until it is stabilized. 

2. 

Set the signal generator to the lowest test frequency, and increase 
the  signal  level  until  the  testing  voltage  or  current  limit  specified 
by application of clause 4.2.8, is reached on the power lead. 

3. 

Repeat  5.4.7.4c.2  at  all  frequency  steps  through  the  testing 
frequency range. 

4. 

Evaluate the susceptibility as follows. 

(a) 

Monitor the EUT for degradation of performance. 

(b) 

If  susceptibility  is  noted,  determine  the  threshold  level  in 
accordance with 5.2.10.3. 

5. 

Repeat 5.4.7.4c.2 to 5.4.7.4c.4 for each power lead. 

5.4.8 

CS, bulk cable injection, 50 kHz to 100 MHz 

5.4.8.1 

Purpose 

This  test  procedure  is  used  to  verify  the  ability  of  the  EUT  to  withstand 
sinusoidal waves coupled on the EUT associated cables and power leads. 

5.4.8.2 

Test equipment 

a. 

The test equipment shall be as follows: 

1. 

Signal generator with amplitude or pulse modulation capability, 

2. 

pulse generator, 1 kHz – 100 kHz, adjustable duty cycle, 

3. 

power amplifier, 50 kHz – 100 MHz, 

4. 

current injection probe, 50 kHz – 100 MHz, 

5. 

current measurement probe, 50 kHz – 100 MHz, 

6. 

one or two calibration fixture(s) (jigs) defined in 5.2.8.3


background image

ECSS‐E‐ST‐20‐07C Rev. 1 

7 February 2012 

59 

7. 

one two‐channels oscilloscope, 50  input impedance, 

8. 

waveform recording device, 

9. 

50  coaxial load, 

10. 

LISN defined in 5.2.4, 

11. 

spectrum analyzer (optional). 

5.4.8.3 

Setup 

a. 

The test setup shall be as follows: 

1. 

Maintain a basic test setup for the EUT as shown and described in 
5.2.6 and Figure 5‐3. 

2. 

For calibration: 

(a) 

Configure  the  test  equipment  in  accordance  with  Figure 
5‐18

(b) 

Place the injection probe and the monitor probe around the 
central conductor of their respective jigs.  

NOTE  

The  monitor  probe  and  associated  jig  are 
optional. 

(c) 

Terminate  one  end  of  the  jig  with  a  50 ‐coaxial  load  and 
connect the other end to a 50 ‐input oscilloscope. 

(d) 

If a current monitor probe is used, connect it to another 50  
oscilloscope input. 

3. 

For testing the EUT: 

(a) 

Configure the test equipment as shown Figure 5‐20. 

(b) 

Place  the  injection  and  monitor  probes  around  a  cable 
bundle interfacing an EUT connector. 

(c) 

Position the monitor probe: 

  5 cm from the connector if the overall length of the 

connector and backshell does not exceed 5 cm, 

  at the overall length of the connector and backshell, 

otherwise. 

(d) 

Position the injection probe 5 cm from the monitor probe. 

5.4.8.4 

Test procedures 

a. 

The  measurement  equipment  shall  be  turned  on  and  waited  until  it  is 
stabilized. 

b. 

The measurement system shall be calibrated by performing the following 
procedures using the calibration setup: 

1. 

Set  the  frequency  of  the  generator  to  50 kHz  and  apply  the  pulse 
modulation, Figure 5‐19. 


background image

ECSS‐E‐ST‐20‐07C Rev. 1 

7 February 2012 

60 

2. 

Increase  the  applied  signal  until  the  oscilloscope  indicates  the 
voltage specified by application of clause 4.2.8. 

3. 

Verify  that  both  inputs  of  the  oscilloscope,  voltage  monitored  on 
50   and  current  monitored  by  the  current  probe,  are  consistent 
within  3 dB.  This  is  applicable  only  if  a  current  probe  is  used 
during calibration 

4. 

Record the generator settings. 

5. 

Repeat  5.4.8.4b.2  through  5.4.8.4b.4  for  each  measurement 
frequency. 

c. 

The  EUT  shall  be  tested  by  performing  the  following  procedures  and 
using the EUT test setup: 

1. 

Turn on the EUT and wait until it is stabilized. 

2. 

Select  a  bundle  for  testing  and  clamp  the  current  probes  into 
position. 

(a) 

Set the modulated sine generator to a test frequency, at low 
output level. 

(b) 

Adjust the modulation in duty cycle and frequency. 

(c) 

Increase the generator output to the level determined during 
calibration, without exceeding the current limit specified by 
application  of  clause  4.2.8  and  record  the  peak  current 
obtained. 

(d) 

Monitor the EUT for degradation of performance. 

(e) 

If  susceptibility  is  noted,  determine  the  threshold  level  as 
measured  by  the  current  monitor  probe  in  accordance  with 
5.2.10.3. 

(f) 

Repeat  5.4.8.4c.2(a)  through  5.4.8.4c.2(e)  for  each  test 
frequency. 

3. 

Repeat  5.4.8.4c.2.  applying  the  test  signals  to  each  bundle 
interfacing with each connector or all bundles taken together. 

d. 

The  calibration  need  not  be  re‐performed  before  testing  each  EUT 
bundle. 


background image

ECSS‐E‐ST‐20‐07C Rev. 1 

7 February 2012 

61 

Signal 

generator

50

Power 

amplifier

50

coaxial load

Oscilloscope 50

 input

or spectrum analyser

Injection probe

Monitor probe

External

modulation 

source

Ext mod

IN

Jig

Jig

Signal 

generator

50

Power 

amplifier

50

coaxial lo

Oscilloscope 50

 input

or spectrum analyser

Injection probe

Monitor probe

External

modulation 

source

Ext mod

IN

Jig

Jig

 

Figure 5‐18: Bulk cable injection, measurement system check set‐up 

Time

Vo

lt

Burst length

Period

Time

Vo

lt

Burst length

Perio

 

Figure 5‐19: Signal test waveform 

EUT 

LISN  

(or EUT, or 

EGSE) 

Monitor 

probe 

Data 

recorder 

Injection probe 

Oscilloscope/ 

Spectrum analyser

Signal 

generator 

50 

Power 

amplifier

External 

modulation 

source 

Ext mod 

IN 

 

Figure 5‐20: CS of power and signal leads, bulk cable injection 


background image

ECSS‐E‐ST‐20‐07C Rev. 1 

7 February 2012 

62 

5.4.9 

CS, power leads, transients 

5.4.9.1 

Purpose 

This  test  procedure  is  used  to  verify  the  ability  of  the  EUT  to  withstand  short 
spikes coupled on EUT power leads, including grounds and returns that are not 
grounded internally to the equipment or subsystem. 

5.4.9.2 

Test equipment 

a. 

The test equipment shall be as follows: 

1. 

Spike generator with following characteristics: 

(a) 

Pulse width of 10 μs and 0,15 μs, 

(b) 

Pulse repetition rate capability up to 10 pulses per second, 

(c) 

Voltage output as required, positive then negative, 

(d) 

Output control, 

(e) 

Adequate  transformer  current  capacity  commensurate  with 
line being tested, 

(f) 

Output impedance 5  or less for 0,15 μs and 1  or less for 
10μs transient, 

(g) 

External synchronization and triggering capability. 

2. 

Oscilloscope with 50 MHz bandwidth or greater. 

3. 

Differential high‐voltage probe. 

4. 

Isolation transformer. 

5. 

5   resistor  power  metal  film  resistor  with  inductance  lower 
100 nH and peak power capability. 

6. 

LISN  defined  in  5.2.4,  with  added  inductor  for  a  total  inductance 
not less than 20 μH for parallel injection. 

5.4.9.3 

Setup 

a. 

The test setup shall be as follows: 

1. 

Maintain  a  basic  test  setup  for  the  EUT  as  specified  in  5.2.6  and 
Figure 5‐3. 

2. 

For calibration: 

(a) 

Configure the test equipment in accordance with Figure 5‐21 
for verification of the waveform. 

(b) 

Set  up  the  oscilloscope  to  monitor  the  voltage  across  the 
5  resistor. 

(c) 

For  EUT  testing  configure  the  test  equipment  as  shown  in 
Figure 5‐22  (series  test  method)  or Figure  5‐23 (parallel  test 
method). 


background image

ECSS‐E‐ST‐20‐07C Rev. 1 

7 February 2012 

63 

NOTE 1  With series injection, the internal LISN capacitor at 

the input power side is protecting the source.  

NOTE 2  With  parallel  injection,  the  internal  inductance  is 

protecting  the  source,  so  a  minimum  value  is 
needed as specified in 5.4.9.2a.6. 

5  resistor 

Data 

recorder 

Oscilloscope 

Differential probe 

Spike generator 

Series or parallel 

output 

 

Figure 5‐21: CS of power leads, transients, calibration set‐up 

EUT 

Oscilloscope 

Differential probe 

Stimulation and 

monitoring of 

EUT 

LISN 

Spike generator

Series output 

Power 
inputs 

Data 

recorder 

 

Figure 5‐22: CS of power leads, spike series injection test setup 


background image

ECSS‐E‐ST‐20‐07C Rev. 1 

7 February 2012 

64 

EUT 

Oscilloscope 

Differential probe 

Stimulation and 

monitoring of EUT 

LISN 

Spike generator

Parallel output 

Power 
inputs 

Data recorder 

Inductors 

 

Figure 5‐23: CS of power leads, spike parallel injection test setup 

5.4.9.4 

Procedures 

a. 

The test procedures shall be as follows: 

1. 

Turn on the measurement equipment and wait until it is stabilized. 

2. 

Perform the following procedure using the calibration setup: 

(a) 

Adjust  the  pulse  generator  for  the  pulse  width,  and  pulse 
repetition rate. 

(b) 

Adjust  the  amplitude  of  the  signal  to  the  level  specified  in 
associated limit. 

(c) 

Verify that the waveform complies with the requirements, if 
not, correct accordingly. 

(d) 

Record the pulse generator amplitude setting. 

3. 

Test the EUT by performing the following procedure using the test 
setup: 

(a) 

Turn on the EUT and wait until it is stabilized. 

(b) 

Adjust the spike generator to a pulse duration. 

(c) 

Apply  the  test  signal  to  each  power  lead  and  increase  the 
generator  output  level  to  provide  the  specified  voltage 
without  exceeding  the  pulsed  amplitude  setting  recorded 
during calibration. 

(d) 

Apply repetitive (6 to 10 pulses per second) positive spikes 
to the EUT ungrounded input lines for a period not less than 
2  minutes  in  duration,  and  if  the  equipment  employ  gated 
circuitry, trigger the spike to occur within the time frame of 
the gate. 

(e) 

Repeat 5.4.9.4a.3(d) with negative spikes. 

(f) 

Monitor the EUT for degradation of performance. 


background image

ECSS‐E‐ST‐20‐07C Rev. 1 

7 February 2012 

65 

(g) 

If  susceptibility  is  noted,  determine  the  threshold  level  in 
accordance  with  5.2.10.3  and  verify  that  it  is  above  the 
specified requirements. 

(h) 

Record the peak current as indicated on the oscilloscope. 

(i) 

Repeat  5.4.9.4a.3(b)  through  5.4.9.4a.3(h)  on  each  power 
lead. 

5.4.10 

RS, magnetic field, 30 Hz to 100 kHz 

5.4.10.1  Purpose 

This test procedure is used to verify the ability of the EUT to withstand radiated 
magnetic fields. 

5.4.10.2  Test equipment 

a. 

The test equipment shall be as follows: 

1. 

Signal source, 

2. 

Power amplifier, 

3. 

Radiating loop having the following specifications: 

(a) 

Diameter: 

 

12 cm 

(b) 

Number of turns: 

20 

(c) 

Wire:   

 

N°12 AWG, insulated copper 

(d) 

Magnetic flux density:  9,5107 pT/A  of  applied  current  at  a 
distance of 5 cm from the plane of the loop. 

4. 

Loop sensor having the following specifications: 

(a) 

Diameter: 

 

4 cm 

(b) 

Number of turns: 

51 

(c) 

Wire:   

 

7‐41 Litz wire (7 strands, N°41 AWG) 

(d) 

Shielding: 

 

electrostatic 

(e) 

Correction Factor: 

manufacturer’s  data  for  factors  to 

convert  measurement  receiver  readings  to  decibels  above 
one picotesla (dBpT) 

5. 

Measurement receiver, 

6. 

Calibration  fixture:  coaxial  transmission  line  with  50  
characteristic  impedance,  coaxial  connections  on  both  ends,  and 
space for a current probe around the centre, 

7. 

Current probe, 

8. 

LISN. 


background image

ECSS‐E‐ST‐20‐07C Rev. 1 

7 February 2012 

66 

5.4.10.3  Setup 

a. 

The test setup shall be as follows: 

1. 

Maintain  a  basic  test  setup  for  the  EUT  as  specified  in  Figure  5‐3 
and 5.2.6.  

2. 

Check  the  measurement  system  by  configuring  the  measurement 
equipment,  the  radiating  loop,  and  the  loop  sensor  as  shown  in 
Figure 5‐24. 

3. 

Test the EUT by configuring the test setup as shown in Figure 5‐25. 

Measurement 

receiver A 

Signal source 

and power 

amplifier 

Measurement 

receiver B 

5 cm 

Radiating loop 

Field monitoring loop 

Current probe 

inside jig 

 

Figure 5‐24: Measurement system check configuration of the radiating system 

Signal source and

power amplifier 

5 cm

Radiating 

loop 

EUT 

 

Figure 5‐25: Basic test set‐up 


background image

ECSS‐E‐ST‐20‐07C Rev. 1 

7 February 2012 

67 

5.4.10.4  Test procedures 

a. 

The  measurement  equipment  shall  be  turned  on  and  waited  until  it  is 
stabilized. 

b. 

The  following  procedure  shall  be  performed  using  the  calibration  setup 
for verification of levels. 

1. 

Set the signal source to a frequency of 1 kHz and adjust the output 
to  provide  a  magnetic  flux  density  of  110 dBpT  as  determined  by 
the  reading  obtained  on  measurement  receiver  A  and  the 
relationship given in 5.4.10.2a.3(d). 

2. 

Measure  the  voltage  output  from  the  loop  sensor  using 
measurement receiver B. 

3. 

Verify  that  the  output  on  measurement  receiver B  is  within  ±3 dB 
of the expected value based on the antenna factor and record this 
value.  

c. 

The  EUT  shall  be  tested  by  performing  the  following  procedures  for 
determination of location and level of susceptibility. 

1. 

Turn on the EUT and wait until it is stabilized. 

2. 

Select test frequencies as follows: 

(a) 

Locate  the  loop  sensor 5 cm  from  the  EUT  face  or  electrical 
interface connector being probed and orient the plane of the 
loop sensor parallel to the EUT faces and parallel to the axis 
of connectors. 

(b) 

Supply  the  loop  with  such  a  current  to  produce  magnetic 
field strengths at least 10 dB greater than the limit specified 
by  application  of  clause  4.2.8  but  not  to  exceed  15 A 
(183 dBpT). 

(c) 

Scan the frequency range. 

(d) 

If  susceptibility  is  noted,  select  no  less  than  three  test 
frequencies  per  octave  at  those  frequencies  where  the 
maximum indications of susceptibility are present. 

(e) 

Reposition the loop successively to a location in each 30 by 
30 cm  area  on  each  face  of  the  EUT  and  at  each  electrical 
interface 

connector, 

and 

repeat 

5.4.10.4c.2(c) 

and 

5.4.10.4c.2(d)    to  determine  locations  and  frequencies  of 
susceptibility. 

(f) 

From  the  total  frequency  data  where  susceptibility  was 
noted  in  5.4.10.4c.2(c)  through  5.4.10.4c.2(e),  select  three 
frequencies per octave over the frequency range. 

3. 

At  each  frequency  determined  in  5.4.10.4c.2(f)  apply  a  current  to 
the radiating loop that corresponds to the specified limit, move the 
loop  to  search  for  possible  locations  of  susceptibility  without 
omitting  the  locations  determined  in  5.4.10.4c.2(e)  while 
maintaining the loop 5 cm from the EUT surface or connector, and 
verify that susceptibility is not present. 


background image

ECSS‐E‐ST‐20‐07C Rev. 1 

7 February 2012 

68 

5.4.10.5  Data Presentation 

a. 

In addition to 5.2.10.4, data presentation shall provide: 

1. 

Tabular data showing verification of the radiating loop in.5.4.10.4b. 

2. 

Tabular data, diagrams, or photographs showing the locations and 
test frequencies determined in.5.4.10.4c.2(e) and 5.4.10.4c.2(f)

5.4.11 

RS, electric field, 30 MHz to 18 GHz 

5.4.11.1  Purpose 

This  test  procedure  is  used  to  verify  the  ability  of  the  EUT  and  associated 
cabling to withstand electric fields. 

NOTE  

Additional  requirements  can  apply  beyond 
18 GHz if SHF or EHF payloads are present. These 
are beyond the scope of the present standard. 

5.4.11.2  Test equipment 

a. 

The test equipment shall be as follows: 

1. 

Signal generators, 

2. 

Power amplifiers, 

3. 

Receive antennas, 

(a) 

under 1 GHz, not applicable. 

(b) 

1 GHz  to  18 GHz,  double  ridge  horn,  24.2  by  13.6 cm 
opening. 

NOTE  

Above  1 GHz  receive  antennas  may  be  not  used, 
see 5.4.11.3b.2. 

4. 

Linearly polarized transmit antennas 

NOTE  

The following antennas are commonly used: 
  30 MHz to 200 MHz, biconical, 137 cm tip to tip, 
  200 MHz to 1 GHz, double ridge horn, 69,0 cm by 

94,5 cm opening, or log‐periodic, 

  1 GHz to 18 GHz, double ridge horn, 24,2 cm by 

13,6 cm opening. 

5. 

Electric field sensors (physically small ‐ electrically short), 

6. 

Measurement receiver, 

7. 

Power meter, 

8. 

Directional coupler, 

9. 

Attenuator, 

10. 

Data recording device, 

11. 

LISN defined in 5.2.4, optional. 


background image

ECSS‐E‐ST‐20‐07C Rev. 1 

7 February 2012 

69 

5.4.11.3  Test setup 

a. 

A  basic  test  setup  shall  be  maintained  for  the  EUT  as  shown  and 
specified in 5.2.6. and Figure 5‐3. 

NOTE  

The LISN can be used. 

b. 

For measurement system check, following sensors shall be used: 

1. 

electric field sensors from 30 MHz to 1 GHz. 

2. 

either receive antennas or electric field sensors above 1 GHz. 

NOTE  

For  the  electric  sensors  and  receiving  antennas  to 
be used, see 5.4.11.2a.3 and 5.4.11.2a.5. 

c. 

Test equipment shall be configured as specified in Figure 5‐26. 

d. 

The measurement system shall be checked as follows: 

1. 

Place the electric field sensors 1 m from, and directly opposite, the 
transmit  antenna  as  shown  Figure  5‐27  and  a  minimum  of  30 cm 
above the ground plane, not directly at corners or edges of EUT. 

2. 

Place the receive antennas prior to placement of the EUT, as shown 
Figure 5‐28, on a dielectric stand at the position and height above 
the ground plane where the centre of the EUT will be located. 

e. 

For testing EUT, the transmit antennas shall be placed 1 m from the test 
setup boundary as follows: 

1. 

30 MHz to 200 MHz 

(a) 

For test setup boundaries  3 m (including all enclosures of 
the EUT and the 2 m of exposed interconnecting and power 
leads  specified  in  5.2.6.6.),  centre  the  antenna  between  the 
edges  of  the  test  setup  boundary,  ensuring  that  the 
interconnecting  leads  represent  the  actual  platform 
installation and are shorter than 2 m. 

(b) 

For  test  setup  boundaries  > 3 m,  use  multiple  antenna 
positions  (N)  at  spacings  as  specified  in  Figure  5‐27,  where 
the  number  of  antenna  positions  (N)  is  determined  by 
dividing the edge‐to‐edge boundary distance (in metres) by 
3 and rounding up to an integer. 

2. 

200 MHz and above, use multiple antenna positions (N) as shown 
Figure  5‐27,  where  the  number  of  antenna  positions  (N)  is 
determined as follows: 

(a) 

For testing from 200 MHz up to 1 GHz, place the antenna in 
a number of positions such that the entire width of each EUT 
enclosure and the first 35 cm of cables and leads interfacing 
with  the  EUT  enclosure  are  within  the  3 dB  beamwidth  of 
the antenna 

(b) 

For  testing  at  1 GHz  and  above,  place  the  antenna  in  a 
number of positions such that the entire width of each EUT 
enclosure  and  the  first  7 cm  of  cables  and  leads  interfacing 
with  the  EUT  enclosure  are  within  the  3 dB  beamwidth  of 
the antenna. 


background image

ECSS‐E‐ST‐20‐07C Rev. 1 

7 February 2012 

70 

f. 

For  testing  EUT,  the  placement  of  electric  field  sensors  shall  be 
maintained as specified in 5.4.11.3d.1. 

Shielded enclosure

Antenna

Signal 

generator 

LISN 

EUT 

Electric field 

sensor 

display 

Test setup boundary

Electric field 

sensor 

RF amplifier

3 m

1,5 m 

 

EGSE 

 

Figure 5‐26: Test equipment configuration 


background image

ECSS‐E‐ST‐20‐07C Rev. 1 

7 February 2012 

71 

Shielded enclosure 

Antenna

Antenna 

Antenna 

x/N (m)

x/N (m)

x/2 N (m) 

x/2 N (m) 

1m 

Electric field 

sensor 

Electric field 

sensor 

Electric field 

sensor 

Test setup boundary

 

N electric field sensor positions

N antenna positions

x(m) = edge‐to‐edge boundary distance

Electric field 

sensor

Electric field 

sensor

Electric field 

sensor 

 

Figure 5‐27: RS Electric field. Multiple test antenna positions 

Signal source 

RF amplifier 

Power meter

Test setup boundary 

Directional 

coupler 

Signal 

 source 

Shielded enclosure 

Measurement 

receiver 

Connected for 

system check

Connected for 

measurement 

Transmit 

antenna 

Receive 

antenna

 

Figure 5‐28: Receive antenna procedure 


background image

ECSS‐E‐ST‐20‐07C Rev. 1 

7 February 2012 

72 

5.4.11.4  Test procedures 

a. 

The  measurement  equipment  and  EUT  shall  be  turned  on  and  waited 
until they are stabilized. 

NOTE  

It  is  important  at  this  point  to  assess  the  test  area 
for  potential  RF  hazards  and  take  precautionary 
steps  to  assure  safety  of  test  personnel  and  fire 
avoidance. 

b. 

The measurement system shall be checked and calibrated as follows:  

1. 

Procedure when using electric field sensors: 

(a) 

Record  the  amplitude  shown  on  the  electric  field  sensor 
display unit due to EUT ambient.  

(b) 

Reposition the sensor until the level measured in (a) above is 
< 10 % of the field strength to be used for testing. 

2. 

Procedure when calibrating with the receive antenna: 

(a) 

Connect a signal generator to the coaxial cable at the receive 
antenna  connection  point  (antenna  removed),  set  the  signal 
source to an output level of 0 dBm at the highest frequency 
to  be  used  in  the  present  test  setup  and  tune  the 
measurement receiver to the frequency of the signal source. 

(b) 

Verify  that  the  output  indication  is  within  ±3 dB  of  the 
applied  signal,  considering  all  losses  from  the  generator  to 
the measurement receiver and, if deviations larger than 3 dB 
are  found,  locate  the  source  of  the  error  and  correct  the 
deficiency before proceeding. 

(c) 

Connect the receive antenna to the coaxial cable as specified 
in  Figure  5‐28,  set  the  signal  source  to  1 kHz  pulse 
modulation, 50 % duty cycle, establish an electric field at the 
test  frequency  by  using  a  transmitting  antenna  and 
amplifier, and gradually increase the electric field level until 
it reaches the limit specified by application of clause 4.2.8. 

(d) 

Scan  the  test  frequency  range  and  record  the  input  power 
levels to the transmit antenna to maintain the required field. 

(e) 

Repeat  procedures  5.4.11.4b.2(a)  through  5.4.11.4b.2(d) 
whenever  the  test  setup  is  modified  or  an  antenna  is 
changed. 

NOTE  

The  ground  plane  tends  to  short‐circuit 
horizontally  polarized  fields,  so  that  more 
power is needed to achieve the same field value 
in  horizontal  polarization  as  in  vertical 
polarization. 

c. 

The EUT shall be tested as follows: 

1. 

Procedure when using electric field sensors: 

(a) 

Establish  an  unmodulated  electric  field  at  the  test  start 
frequency  by  using  an  amplifier  and  transmit  antenna,  and 


background image

ECSS‐E‐ST‐20‐07C Rev. 1 

7 February 2012 

73 

gradually increase the electric field level until it reaches the 
limit specified by application of clause 4.2.8. 

(b) 

Set the signal source to 1 kHz pulse modulation, 50 % duty 
cycle and apply the modulation. 

(c) 

Repeat the test at all frequency tests while maintaining field 
strength  levels  in  accordance  with  the  associated  limit,  and 
monitor EUT performance for susceptibility effects. 

2. 

Procedure when calibrating with the receive antenna: 

(a) 

Remove  the  receive  antenna  and  reposition  the  EUT  in 
conformance with 5.4.11.3e. 

(b) 

Set the signal source to 1 kHz pulse modulation, 50 % duty 
cycle, establish an electric field at the test start frequency by 
using  an  amplifier  and  transmit  antenna,  and  gradually 
increase  the  input  power  level  until  it  corresponds  to  the 
level recorded during the calibration routine. 

(c) 

Repeat  the  test  at  all  test  frequencies  while  assuring  the 
transmitter  input  power  is  adjusted  in  accordance  with  the 
calibration  data  collected,  and  constantly  monitor  the  EUT 
for susceptibility conditions. 

3. 

If  susceptibility  is  noted,  determine  the  threshold  level  in 
accordance with 5.2.10.3. 

4. 

Perform  testing  over  the  frequency  range  with  the  transmit 
antenna  vertically  polarized,  and  repeat  the  testing  with  the 
transmit antenna horizontally polarized. 

NOTE  

The  settings  needed  to  achieve  the  specified 
field level in vertical polarization are reused as 
is for the test in horizontal polarization. 

5. 

Repeat 5.4.11.4c.4 for each transmit antenna position determined in 
5.4.11.3e. 

5.4.11.5  Data presentation 

a. 

In addition to 5.2.10.4 , data presentation shall provide: 

1. 

graphical  or  tabular  data  listing  (receive  antenna  procedure  only) 
all calibration data collected to include input power requirements 
used versus frequency, and results of system check in 5.4.11.4b.2(c) 
and 5.4.11.4b.2(d). 

2. 

the  correction  factors  used  to  adjust  sensor  output  readings  for 
equivalent peak detection of modulated waveforms. 

3. 

diagrams or photographs showing actual equipment setup and the 
associated dimensions. 


background image

ECSS‐E‐ST‐20‐07C Rev. 1 

7 February 2012 

74 

5.4.12 

Susceptibility to electrostatic discharges 

5.4.12.1  Overview 

The  purpose  of  this  test  is  to  determine  the  existence  of  susceptibility  to 
electromagnetic effects of electrostatic discharges. 

5.4.12.2  Test equipment 

a. 

The test equipment shall be as follows: 

1. 

DC  high  voltage  supply  or  an  ESD  generator  as  specified  in 
IEC 61000‐4‐2 (Edition 1.2). 

NOTE  

Use of the ESD generator is less hazardous than 
use  of  the  DC  high  voltage  supply  for  test 
operators. 

2. 

The discharge primary circuit is constituted of: 

(a) 

6 kV spark gap, 

NOTE 1  An air spark gap or an overvoltage suppressor 

in a sealed pressurized envelop can be used. 

NOTE 2  An  air  spark  gap  is  less  stable  and  has  longer 

rise time. 

(b) 

50 pF  capacitance,  high‐voltage  capacitor  with  inductance 
less than 20 nH,  

(c) 

47  damping resistor (high voltage specification),  

NOTE  

The  value  can  be  adjusted  at  critical  damping 
depending  on  value  of  capacitance  C  and  self‐
inductance of the discharge circuit; 

(d) 

10 k resistors (high voltage specification). 

NOTE  

Choke 

resistors 

prevent 

high‐frequency 

components  of  discharge  from  flowing  in 
uncontrolled paths so the discharge parameters 
are  not  dependent  on  length  and  position  of 
high‐voltage source wires. 

3. 

Monitoring devices: 

(a) 

Two  current  probes,  100 A  peak  capability  and  more  than 
100 MHz bandwidth, 

(b) 

One high‐voltage probe, 10 kV range, 1 MHz bandwidth, 

NOTE  

If  the  probe  input  impedance  is  not  high 
enough,  it  can  prevent  gap  arcing  by  lowering 
the available voltage. 

(c) 

One  two‐channels  digital  oscilloscope  with  pretriggering 
capability. 

NOTE  

Typical  values  are  100 ns  pretrigger  time, 
display window in the range 1  μs to 10 μs and 
resolution better than 4 ns. 


background image

ECSS‐E‐ST‐20‐07C Rev. 1 

7 February 2012 

75 

5.4.12.3  Setup 

a. 

The test setup shall be as follows: 

1. 

Maintain  a  basic  test  setup  for  the  EUT  as  specified  in  5.2.6.  and 
Figure 5‐3. 

NOTE  

It  is  important  at  this  point  to  assess  the  test 
area  for  potential  high‐voltage  hazards  and 
take  necessary  precautionary  steps  to  assure 
safety of test personnel. 

2. 

When  using an  ESD  generator as a  high‐voltage  power  supply as 
shown Figure 5‐30 or Figure 5‐31, it is set in the contact discharge 
mode. 

3. 

Connect  the  high‐voltage  electrode  to  the  discharge  circuit  at  the 
node between the spark gap and the capacitor. 

4. 

The discharge circuit length is not larger than what is necessary to 
place in series the 20 cm long coupling wire, the damping resistor, 
the discharge capacitor, the spark gap and the current probe. 

NOTE  

It is important to ensure that the discharge loop 
is  as  small  as  possible  for  achieving  the 
transient  pulse  duration  objective  defined  in 
5.4.12.4a.2(d). 

5. 

For  calibration  the  test  equipment  is  configured  as  shown  Figure 
5‐30,
 and meeting following provisions: 

(a) 

the discharge circuit is not coupled to the EUT, 

(b) 

choke resistors are near the capacitor, 

(c) 

the  current  probe  monitoring  the  primary  current  from  the 
ESD  source  is  near  the  damping  resistor,  at  the  capacitor 
side, 

(d) 

the  high  voltage  probe  is  measuring  the  voltage  across  the 
capacitor, grounded at the damping resistor side. 

NOTE  

The high‐voltage probe is not meant to measure 
the voltage during the discharge but the voltage 
reached before discharge 

6. 

Test  the  EUT  by  configuring  the  test  equipment  as  specified  in 
Figure 5‐31 and meeting the following provisions: 

(a) 

the high voltage probe used for calibration is removed, 

(b) 

the EUT is mounted on a conductive ground plane using the 
space  vehicle  mount  and  attach  points,  and  operated  using 
the  actual  electrical  harness,  or  an  EMC  test  harness  of 
identical construction to the actual harness. 

NOTE  

It  is  preferable  to  use  the  actual  electrical 
harness. 


background image

ECSS‐E‐ST‐20‐07C Rev. 1 

7 February 2012 

76 

(c) 

the  discharge  circuit  is  supported  5  cm  above  the  ground 
plane  by  a  non‐conductive  standoff  with  high‐voltage 
insulation capability, 

(d) 

from  calibration,  the  discharge  circuit  is  kept  unchanged  in 
size  and  shape,  and  tightly  electromagnetically  coupled 
20 cm along an EUT bundle, held by dielectric bonds 

NOTE  

A  maximum  separation  distance  of  1 cm 
between  the  injection  wire  and  the  outer 
circumference  of  the  bundle  under  test  is  a 
condition  for  achieving  a  tight  electromagnetic 
coupling. 

(e) 

a current probe is monitoring the primary current from the 
ESD source near the damping resistor, 

(f) 

a  current  probe  is  monitoring  the  current  in  the  EUT 
harness, 5 cm from the EUT connector. 

 

3

5 cm

2

7

1: EUT 
2: EUT or EGSE 
3: Access panel 
4: Interconnecting cable 
5: Non‐conductive 
standoff 
6: Grounding plane 
7: HV source 

 

Figure 5‐29: Spacecraft charging ESD susceptibility test  

 


background image

ECSS‐E‐ST‐20‐07C Rev. 1 

7 February 2012 

77 

 

Damping 

resistor 

Choke 

resistor 

Choke 

resistor 

ESD sparker 
or high‐voltage dc power supply 

Spark gap 

Current 

probe 

High‐voltage 

capacitor 

High‐voltage 

probe

Injection wire

 

Figure 5‐30: Susceptibility to ESD: calibration configuration 

 

Damping 

resistor 

Choke 

resistor 

Choke 

resistor 

Current 

probe 

High‐voltage 

capacitor 

Bundle under 

test 

20cm 

coupling 

Current 

probe 

Injection wire 

tightly coupled 

to the bundle 

under test 

ESD sparker 
or high‐voltage dc power supply 

Spark gap

 

Figure 5‐31: Susceptibility to ESD: test equipment configuration 


background image

ECSS‐E‐ST‐20‐07C Rev. 1 

7 February 2012 

78 

5.4.12.4  Procedure 

a. 

The test procedures shall be as follows: 

1. 

Turn on the measurement equipment and wait until it is stabilized. 

2. 

Perform a calibration using the calibration setup: 

(a) 

Select the spark gap device or adjust the spark length at the 
voltage breakdown to be used for the test, 

(b) 

Turn on the high voltage generator, 

(c) 

Using the high voltage probe, check the breakdown voltage 
value is stable and within  30 % from the value to be used 
for the test. 

(d) 

Monitor the transient current pulse. 

NOTE  

A  goal  is  30 A,  30 ns  duration  at  mid‐height, 
rise  time  as  short  as  possible.  Means  for 
minimizing  the  rise  time  are  adjusting  the 
damping  resistor,  reducing  the  size  loop, 
checking  that  both  choke  resistors  are  as  close 
as  possible  to  the  capacitor,  and  technology  of 
the  spark  gap  (nature  of  gas  and  shape  of 
electrodes). 

(e) 

Record the last current and voltage couple, displayed with a 
common time reference, 

(f) 

Repeat  5.4.12.4a.2(d)  and  5.4.12.4a.2(e)  with  opposite 
polarity. 

3. 

Test the EUT as follows: 

(a) 

Fully power the unit during the complete ESD test, 

(b) 

Turn on the high voltage generator, 

(c) 

Establish  a  pulse  discharge  at  a  pulse  rate  of  1 Hz,  with  a 
pulse direction of at least 15 positive and 15 negative, 

(d) 

Record  the  last  primary  and  secondary  current  couple, 
displayed with a common time reference, 

(e) 

Repeat  5.4.12.4a.3(c)  and  5.4.12.4a.3(d)  on  each  bundle 
interfacing with each electrical connector. 

5.4.12.5  Data presentation 

a. 

Superseding clause 5.2.10.4, data presentation shall be as follows: 

1. 

Provide  tables  showing  statements  of  compliance  with  the 
requirement  and  the  induced  current  level  for  each  interface 
connector. 

2. 

Provide  oscilloscope  records  taken  during  calibration  and  EUT 
testing procedures. 

3. 

The requirement of 5.2.10.3 does not apply. 


background image

ECSS‐E‐ST‐20‐07C Rev. 1 

7 February 2012 

79 

Annex A (informative) 

Subsystem and equipment limits 

A.1 Overview 

There is no single method for achieving EMC. 

 

Low susceptible equipment is for telecommunication spacecraft flying in 
a  severe  EMI  environment  due  to  on  board  large  power  and  possible 
residual ESD. 

 

Low  emission  equipment  is  for  scientific  spacecraft  for  preserving  high 
sensitivity of detectors. 

Therefore, it is not possible to define a same set of limits for all equipments of 
all spacecraft and launchers. The EMCCP is the vehicle for tailoring limits and 
test methods. 

However, it is a legitimate demand of equipment supplier to ask for EMI limits 
outside the frame of a specific project. Conducted and radiated emission limits 
and susceptibility limits defined hereafter are recommended for space projects. 

A.2  CE on power leads, differential mode, 

30 Hz to 100 MHz 

In differential mode, on each independent power bus, conducted emissions on 
power leads, induced by loads, can be limited in the frequency domain under 
following conditions: 

 

limits are in the range extending from 30 Hz to 100 MHz, 

 

a  maximum  INB  in  units  of  dB  referenced  to  1 μA  is  a  function  of 
frequency defined in Figure A‐1, 

 

in the low frequency range the limit ICE  in units of dB referenced to 1 μA 
(dBμA) is function of the consumption Idc (in amperes) of the equipment 
on the line, see Figure A‐1:   
Idc < 1 A 

 

 

ICE = 80   

1 A < Idc < 100 A 

 

I = 80 + 20 log10(Idc) 

 

Idc > 100 A   

 

I = 120 

The  mode  is  called  “differential”  because  measurements  are  done 
separately on hot and return wires, however it comprises common mode 
components. 

“Independent” means connected to separate power sources. 


background image

ECSS‐E‐ST‐20‐07C Rev. 1 

7 February 2012 

80 

100 Adc

30 Adc

10 Adc

3 Adc

1 Adc

0

10

20

30

40

50

60

70

80

90

100

110

120

130

10

100

1 000

10 000

100 000

1 000 000

10 000 000

100 000 000

Frequency (Hz)

C

u

rr

e

n

t l

im

it (d

B

µ

A

)

 

Figure A‐1: Power leads, differential mode conducted emission limit 


background image

ECSS‐E‐ST‐20‐07C Rev. 1 

7 February 2012 

81 

A.3  CE on power leads, in-rush currents 

The  inrush  current  of  an  equipment  on  the  power  lines  can  be  limited  in  the 
time  domain  with  following  characteristics  in  order  to  limit  the  voltage 
transients on the power bus: 

 

During  any  nominal  change  of  configuration,  the  rate  of  change  of 
current is limited to 5×104 A/s. 

 

At  switching  ON  the  rate  of  change  of  current  is  lower  than  2×106 A/s, 
absolute value of rise and fall slopes. 

 

Specific  requirements  are  usually  defined  for  pulsed  radars,  plasma 
thrusters power units. 

Limits can also be specified for the following characteristics in order to achieve 
compatibility with the upstream protections of the spacecraft power subsystem. 

 

inrush current duration (in ms); 

 

total charge (in mC); 

 

inrush current slope (in A/μs). 

A.4  CE on power and signal leads, common mode, 

100 kHz to 100 MHz 

The  conducted  emissions  on  bundles  in  common  mode  can  be  limited  with 
following characteristics: 

 

limits are in the range extending from 100 kHz to 100 MHz, 

 

ICE  in  units  of  dB  referenced  to  1 μA  (dBμA)  is  lower  than  the  curve  of 
Figure A‐2, 

 

the  same  limit  is  defined  for  all  cables  taken  together  or  bundle  per 
bundle. 


background image

ECSS‐E‐ST‐20‐07C Rev. 1 

7 February 2012 

82 

0

10

20

30

40

50

60

70

80

90

100,000

1,000,000

10,000,000

100,000,000

Frequency (Hz)

Cur

re

n

t l

imi

t (dBµA)

 

Figure A‐2: Common mode conducted emission limit 

A.5  CE on antenna ports 

Spurious  conducted  emissions  on  antenna  ports  can  be  limited  to  following 
values: 

 

receivers 34 dBμV, 

 

transmitters (stand‐by mode): 34 dBμV, 

 

transmitters (transmit mode): 

 

harmonics,  except  the  second  and  third,  and  all  spurious 
emissions: 80dB down the level at the fundamental, 

 

the second and third harmonics 50 +10 log P (where P is the peak 
power output) or 80 dB whichever is less.  

Equipment  with  antennas  permanently  mounted  are  not  in  the 
scope of this clause. 

A.6  DC magnetic field emission 

A.6.1 General 

The  DC  magnetic  field  emission  generated  by  subsystems,  equipment  and 
elementary components is limited or characterized for following purposes: 

 

for establishing the magnetic momentum of the whole space vehicle, 

 

for establishing the composite DC magnetic field at critical locations. 

The  components  of  the  magnetic  emission  are  DC  current  loops, 
solenoids, the permanent field of hard magnetic materials (magnets) and 


background image

ECSS‐E‐ST‐20‐07C Rev. 1 

7 February 2012 

83 

the  induced  magnetic  moment  by  the  Earth‐field  on  soft  magnetic 
materials, including hysteresis. 

A.6.2 Characterization 

Following  parameters  of  magnetic  properties  can  be  determined  or 
characterized: 

 

permanent  induction  parameters  of  operating  EUT  by  determination  of 
magnetic induction B in units of μT under magnetic zero‐field condition, 

 

induced parameters of not operating EUT by determination of magnetic 
induction B in units of μT when immerged in a uniform controlled field 
of 30 μT (calibrated in absence of EUT) in each of 3 rectangular semi‐axes, 
in both directions, 

 

determination of the DC magnetic field emission is performed by either 
measurement or similarity, 

 

determination  by  similarity  is  applied  to  equipment  or  subsystems 
coming  from  other  programs,  where  re‐use  as  it  is  or  re‐use  with  only 
little modification. 

 

assessment of the dipole model by measurement of magnetic induction B 
at  least  at  two  different  distances  r  and  comparing  respective  products 
r3(m) B(μT), 

NOTE  

Distances in the range 0,5 m to 1,5 m can be used. 

 

magnitude of the magnetic dipole, (when the equipment is assimilated to 
a dipole) either: 

 

by its magnetic moment, or 

 

by the magnetic induction at some distance of reference. 

When  the  unit  is  assimilated  to  a  dipole,  the  inverse  cube  law 
dependence  with  distance  applies,  the  following  relation  (worst 
case)  is  used  for  the  equivalence  between  the  magnetic  moment 
and the induction at the distance d:   

 

   

3

2

7

m

d

Am

M

10

2

T

B

 

 

characterization of the magnetic source when the dipole approximation is 
inadequate, either by: 

 

a multiple moment model, or 

 

a spherical harmonics model, or 

 

the magnetic induction at the distance of measurement. 

The distance of reference is specified by the EMCAB in function of 
the  size  of  the  space  vehicle  or  of  the  actual  distance  between 
magnetic sources and susceptible equipment. 

The magnetic induction is a rough indication that can be sufficient 
for some applications. 

The multiple‐moment model or the spherical harmonics model is a 
precise determination sometimes needed for sensitive payloads. 


background image

ECSS‐E‐ST‐20‐07C Rev. 1 

7 February 2012 

84 

Specific  characterization  methods  are  implemented  for  the 
multiple‐moment model or the spherical harmonics identification. 

A.6.3 Limit 

The  DC  magnetic  emission  of  subsystems  or  equipments  can  be  limited  at  a 
level of 0,2 μT at a distance of 1m from any face of the equipment. 

This  limit  corresponds  to  dipole‐like  equipment  with  a  magnetic  moment  of 
1 Am2. 

The  limitation  is  achieved  through  a  combination  of  techniques:  current  loop 
area minimization and coaxial or twisted cables use, non‐magnetic material use, 
magnetic shields use, compensation techniques with magnets. 

A.7  RE, low-frequency magnetic field 

From  a  few  hertz  to  50 kHz,  the  magnetic‐field  radiated  emissions  can  be 
measured. 

Measurement  can  be  performed  at  several  distances  for  characterizing  the 
accuracy of a dipole model. 

If  the  EUT  can  be  assimilated  to  a  magnetic  dipole,  emission  limits  are 
expressed by its magnetic dipole momentum. 

No limit is defined at equipment level. 

The measurement is only for characterization and useful to verify compliance at 
system level through analysis. 

Techniques  for  fulfilling  EMC  requirement  at  system  level  are  an  appropriate 
grounding network, magnetic shields, an optimized location of equipments on 
the space vehicle. 

A.8  RE, low-frequency electric field 

From  a  few  hertz  to  30 MHz  frequency  range  the  electric‐field  radiated 
emissions of units can be measured. 

The  frequency  limits  are  determined  by  the  EMCAB  from  payload 
specifications. 

The electric field emission from the equipment is expressed in units of dB above 
1 μV/m at a distance of 1 m. 

Measurements  at  several  distances  are  performed  for  characterizing  the  decay 
law. 

No limit is defined at equipment level. 

The  measurement  is  only  for  characterization  and  useful  to  verify  compliance 
with system level requirements through analysis. 


background image

ECSS‐E‐ST‐20‐07C Rev. 1 

7 February 2012 

85 

Techniques  for  fulfilling  EMC  requirement  at  system  level  are  reduction  of 
common  mode  conducted  emission  from  bundles,  and  electric  shields  or 
appropriate location of equipments on the space vehicle. 

A.9  RE, electric field, 30 MHz to 18 GHz 

In  the  30 MHz  to  18 GHz  frequency  range,  electric‐field  radiated‐emissions 
from equipment and subsystem including interconnecting cables can be limited 
under following conditions: 

 

the limit applies to: 

 

non‐RF equipment, 

 

RF  equipment  connected  to  passive  loads  or  EGSE,  in  nominal 
mode, at nominal power, 

 

the limit is defined by the curve in Figure A‐3

 

the limit is for both horizontally and vertically polarized fields, 

 

the  limit  comprises  notching  lines  for  launchers  or  spacecraft  receiving 
bands not represented in Figure A‐3. 

Additional  requirements  can  apply  beyond  18 GHz  if  SHF  or  EHF 
payloads  are  present.  These  are  beyond  the  scope  of  the  present 
standard. 

For  equipment  having  all  internal  rise  times  longer  than  35 ns,  the 
specified upper frequency limit can be reduced to 1 GHz. 

For  non‐RF  equipment  if  the  emission  is  lower  than  20 dB  below  the 
requirement between  500 MHz and 1 GHz  the  specified  upper limit  can 
be reduced to 1 GHz, with the exception of notches above 1 GHz, still to 
be tested. 

40

50

60

70

80

90

100

1.E+07

1.E+08

1.E+09

1.E+10

1.E+11

Frequency (Hz)

E-

fi

e

ld

 (

d

B

µV

/m)

 

Figure A‐3: Radiated electric field limit 


background image

ECSS‐E‐ST‐20‐07C Rev. 1 

7 February 2012 

86 

A.10  CS, power leads, differential mode, 30 Hz to 100 kHz 

The  following  levels,  known  to  be  achievable  and  already  specified  in  other 
standards  or  project  specifications,  are  proposed  for  the  susceptibility  test  on 
the power leads specified in clause 5.4.7.  

 

the injected voltage level is equal or larger than the level shown in Figure 
A‐4
,  

 

a limitation of the injected current before the specified voltage is reached 
is applied: 

 

the limit of current is 1 Arms 

 

the voltage level when the current limit is reached is measured and 
reported. 

The current applied is reported. 

Independent power lines are tested separately. 

NOTE  

Independent means “connected to separate power 
sources”. 

Except in the case of structure return, for each power line, hot and return wires 
are tested separately. 

NOTE  

In case of structure return, the test is only applied 
to hot wires. 

The test signal covers the [30 Hz‐100 kHz] frequency range. 

0

0,2

0,4

0,6

0,8

1

1,2

10

100

1 000

10 000

100 000

1 000 000

Frequency (Hz)

Vol

tag

e

 (

V

rm

s)

 

Figure A‐4: Conducted susceptibility limit, frequency domain 


background image

ECSS‐E‐ST‐20‐07C Rev. 1 

7 February 2012 

87 

A.11  CS, power and signal leads, common mode, 50 kHz to 

100 MHz 

The  following  levels,  known  to  be  achievable  and  already  specified  in  other 
standards  or  project  specifications,  are  proposed  for  the  susceptibility  test  on 
the power and signal leads specified in clause 5.4.8

 

the common mode level of 3 volts peak to peak or larger is applied, 

 

the limit of the current induced on the bundle is 3 A peak‐to‐peak,  

 

the test signal is pulse modulated, 

NOTE  

Square  wave  modulation  is  a  particular  case  of 
pulse modulation. 

 

the duty cycle is depending on the carrier frequency, according to Table 
A‐1.
 

The same level is applied to all cables together or to bundles taken separately. 

The common mode induced current on the bundle is reported. 

The test signal covers the [50 kHz‐100 MHz] frequency range. 

Table A‐1: Equipment: susceptibility to conducted interference, test signal 

Frequency range  Pulse repetition frequency Duty cycle 

50 kHz‐1 MHz 

1 kHz 

50 % (squarewave) 

1 MHz‐10 MHz 

100 kHz 

20 % 

10 MHz‐100 MHz 

100 kHz 

5 % 

 

A.12  CS, power leads, short spike transients 

The  following  levels,  known  to  be  achievable  and  already  specified  in  other 
standards or project specifications, are proposed for the transient susceptibility 
test on the power lines specified in clause 5.4.9: 

 

a series of positive spikes, then a series of opposite spikes superposed on 
the power voltage shall be applied, 

 

at any time step, the voltage spike amplitude is: 

 

+100 %  or  ‐100 %  of  the  actual  line  voltage  if  the  nominal  bus 
voltage is lower than 100 V, Figure A‐5. 

 

+50 %  or  ‐100 %  of  the  actual  line  voltage  if  the  nominal  bus 
voltage is equal or larger than 100 V 

Level 0 in Figure A‐5 represents the DC bus voltage. 

Only the positive spike is represented in Figure A‐5. 

When  a  negative  spike  is  applied,  the  absolute  instantaneous 
transient voltage goes down to 0, never negative. 


background image

ECSS‐E‐ST‐20‐07C Rev. 1 

7 February 2012 

88 

 

tests are performed with two spike durations, the first zero‐crossing is at 
T=150 ns and at T=10 μs. 

Independent power lines are tested separately. 

Independent means “connected to separate power sources”. 

-60

-40

-20

0

20

40

60

80

100

120

0

0,5

1

1,5

2

2,5

3

3,5

4

4,5

Normalized time (in units of T=150ns or T=10µs)

P

e

rcen

tag

e

 o

f lin

e v

o

ltage

 

Figure A‐5: CS, voltage spike in percentage of test bus voltage 

A.13  RS, magnetic field, 30 Hz to 100 kHz 

The  following  levels,  known  to  be  achievable  and  already  specified  in  other 
standards or project specifications, are proposed for the radiated susceptibility 
test, magnetic field, specified in clause 5.4.10: 

 

the  amplitude  of  the  test  signal  is  equal  to  or  larger  than  the  level  in 
Figure A‐6, 

 

the source is located at 5 cm of any face of the EUT. 

The signal test covers the [30 Hz‐100 kHz] frequency range. 


background image

ECSS‐E‐ST‐20‐07C Rev. 1 

7 February 2012 

89 

100

110

120

130

140

150

160

170

180

190

10

100

1 000

10 000

100 000

Frequency (Hz)

Lim

it

 level

 (

d

BpT)

 

Figure A‐6: Radiated susceptibility limit 

A.14  RS, electric field, 30 MHz to 18 GHz 

The  following  levels,  known  to  be  achievable  and  already  specified  in  other 
standards or project specifications, are proposed for radiated susceptibility test, 
electric field, specified in clause 5.4.11

 

the amplitude of the test signal is: 

 

equipment  in  the  vicinity  of  beams,  outside  of  the  main  frame 
considered as a Faraday cage: 10 V/m, 

 

An  electric  field  of  more  than  10 V/m  is  applied  if  RF  analysis 
demonstrates  that  the  expected  electric  field  seen  in  flight  by  the 
equipment is larger, 

 

equipment far from main lobes and secondary lobes, outside of the 
main frame: 1 V/m, 

 

equipment inside the main frame: 1 V/m. 

At  RF  transmit  frequencies,  the RS level  should  be tailored  up;  at 
RF  receive  frequencies,  the  RS  level  should  be  tailored  down  for 
receivers. 

 

an AM or PAM test signal is used, 

 

both horizontally and vertically polarized fields are used, 

 

circular‐polarized fields are not used. 

The signal test covers the [30 MHz‐18 GHz] frequency range. 

Additional requirements can apply beyond 18 GHz if SHF or EHF payloads are 
present. These are beyond the scope of the present standard. 


background image

ECSS‐E‐ST‐20‐07C Rev. 1 

7 February 2012 

90 

A.15  Susceptibility to electrostatic discharge 

The  following  dispositions,  known  to  be  achievable  and  already  specified  in 
other standards or project specifications, are proposed for the ESD test specified 
in clause 5.4.12. 

The test is performed on following equipment, including or not digital circuits: 

 

units comprising high‐voltage power sources, 

 

units man‐handled during normal operation, 

This condition applies to manned‐flight, 

For  man‐handled  equipment,  an  ESD  test  by  the  contact  discharge 
method as defined in IEC‐61000‐4‐2, is more appropriated, 

 

units outside the main frame of the space vehicle designed as a Faraday 
cage, 

 

units  connected  to  sensors,  actuators,  or  other  units  located  outside  the 
main  frame  designed  as  a  Faraday  cage  with  the  exception  of  the  solar 
array power bus. 

Specific tests defined in ECSS‐E‐ST‐33‐11 are applied to EEDs. 

Test of models expected to be or to become flight models is not performed. 

ESD testing can cause latent failures of test article. 


background image

ECSS‐E‐ST‐20‐07C Rev. 1 

7 February 2012 

91 

Bibliography 

ECSS‐S‐ST‐00 

ECSS system – Description, implementation and general 
requirements  

MIL‐STD‐461E 

Requirements for the control of electromagnetic interference, 
characteristics of subsystems and equipment, 20 August 
1999; Department of Defence, USA.