PDF문서(1606)한국항공우주연구원 경영성과계획서.pdf

닫기

background image

2014~2017  경영성과계획서

2015.  1.

한국항공우주연구원


background image

background image

background image

background image

개관

 

경영성과계획서

2015~2017 

1

개관


background image

background image

개관

 

경영성과계획서

2015~2017 

3

Ⅰ 개    관

1 .

일반현황

 

❏ 설립목적  및  임무

설립목적

 

항공우주과학기술영역의 새로운 탐구 ․ 기술선도 ․ 개발 및 보급을 통하여

국민경제의 건전한 발전과 국민생활 향상에 기여

임무

 

◦ 항공기 ․ 인공위성 ․ 우주발사체의 종합시스템 및 핵심기술 연구개발

◦ 항공우주 안전성 품질확보를 위한 기술개발 항공우주생산품 법적 품질인증 국가 간 상호인증

/

,

/

◦ 국가 항공우주개발 정책수립 지원 항공우주 기술정보의 유통 및 보급 확산

,

◦ 시험평가시설의 산 학 연 공동활용

ㆍ ㆍ

◦ 정부 민간 법인 단체 등과 연구개발 협력 및 기술용역 수탁 위탁

,

,

,

◦ 중소 중견기업 등 관련 산업계 협력 지원 및 기술사업화

◦ 주요 임무 분야의 전문인력 양성

❏  연혁

1989. 10. 10.

한국기계연구소 부설 항공우주연구소 설립

항공우주산업개발촉진법

제정 제

-

(1987.12.4.

)

17

1996. 11. 15.

재단법인 한국항공우주연구소 로 독립법인화

1999.

1. 29.

한국항공우주연구소 설립근거 변경

• 「

정부출연 연구기관 등의 설립

-

․ 운영 및 육성에 관한 법률

2001. 1.

1.

한국항공우주연구원 으로 명칭 변경

• 「

2004. 10. 23.

한국항공우주연구원 설립근거 변경

• 「

과학기술분야 정부출연 연구기관 등의 설립

-

․ 운영 및 육성에 관한 법률

2014.

6. 30.

국가과학기술연구회 편입


background image

4

❏ 조직

❏ 인력  및  예산 


background image

개관

 

경영성과계획서

2015~2017 

5

❏ 임무  유형별  예산  투입  현황

(2015 )

구분

기초 미래선도형

·

공공 인프라형

·

산업화형

금액

백만원

(

)

비중
(%)

금액

백만원

(

)

비중
(%)

금액

백만원

(

)

비중
(%)

금액

백만원

(

)

비중
(%)

주요사업

1,633

3.9

35,415

84.6

4,808

11.5

41,856

10.2

수탁사업

0

0.0

362,688

98.2

6,656

1.8

369,344

89.8

1,633

0.4

398,103

96.8

11,464

2.8

411,200

100.0

금액은 주요사업은 직접비 수탁사업은 직접비 인건비 기준

*

,

,

정책연구지원형 연구교육형 일부 산업화형 경영부문으로 분류 는 제외함

*

,

,

(

)

❏ 임무  유형별  연구인력  투입  현황

(2015 )

구분

기초미래선도형

공공인프라형

산업화형

인력

(m/y)

비중
(%)

인력

(m/y)

비중
(%)

인력

(m/y)

비중

(%)

인력

(m/y)

비중
(%)

주요사업

44

18.3

177

72.9

21

8.8

243

33.9

수탁사업

0

0.0

435

91.9

39

8.1

474

66.1

44

6.2

612

85.4

60

8.4

716

100.0

인력은

기준

*

man/year

정책연구지원형 연구교육형 일부 산업화형 경영부문으로 분류 은 제외함

*

,

,

(

)


background image

6

2 .

경쟁력  분석

 

환경  분석

1) 

정책  환경

(Policy) 

◦ 기회요인

(

) 세계 각국은 항공우주 분야를 국가경제의 새로운 성장 모멘텀으로 인식하여 항공우주 

분야  발전을  위한  정책  수립 시행

– 미국 국가우주정책

과 

승인법

의 

(

)  ‘

(’10)’

‘NASA 

(’11~’13)’

기본  방향에  따라  소행성 화성으로 

이어지는  새로운  유인탐사  추진

– 일본 제 차 우주기본계획

에 의거하여 우주기술 

(

) ‘ 2

(’13)’

활용을 통한 경제사회 발전과 독자 우주개발 

능력  확대  강화  추진

– 국내

(

) 박근혜  정부는  우주분야를  국정과제로  채택하고 과제  추진을  위해  우주개발 

중장기 계획

수립 및  항공산업발전 기본계획

(’13)

(’10)

」 수립을 통해 장기적인 항공우주개발 

추진  기반  확보

◦ 위협요인 항공우주 분야는 장기적인 계획을 바탕으로 

(

지속적인 투자가 요구되기 때문에 정책 

의지  변화  및  대형사업  성공 실패  등에  따른  변동성  내포

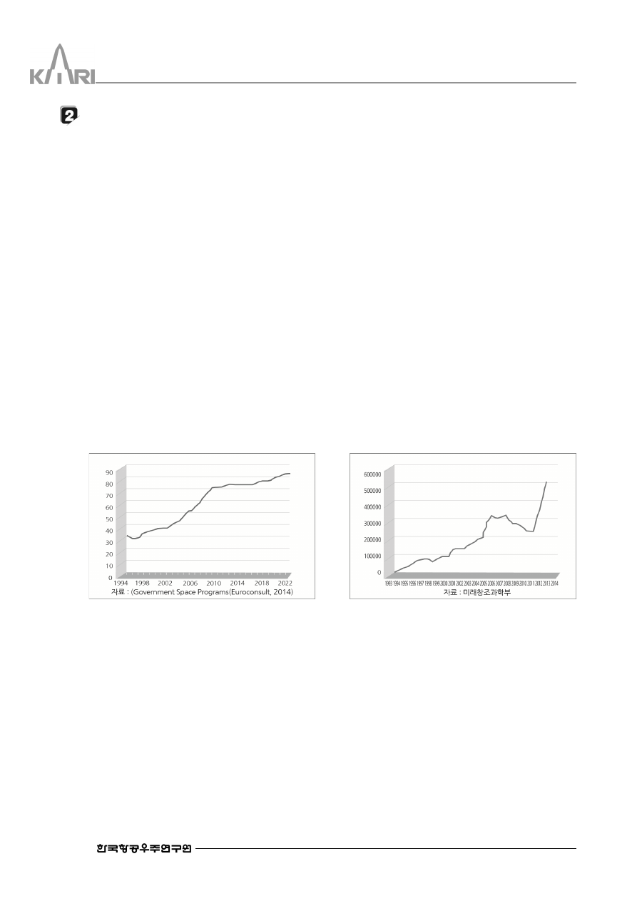
세계 정부 우주분야 투자 전망

<

단위 십억불

(

)

>

한국 우주개발 예산 변화 추이

<

단위 백만원

(

)

>

 

경제  환경

(Economy) 

◦ 기회요인 세계  정부의  항공우주  분야  투자  확대와  산업  육성을  통한  경제  활성화로 

(

항공우주  분야  경제활동  규모가  지속  증가

– 신흥국

등  신흥  경제권의  항공기  및  위성  수요  증가

(

)  BRICs,  MARVINs 

– 선진국 증가하는  우주발사  수요에  대응해  저비용 고효율  발사체를  개발하고  민간기업 을 

(

*

육성하여,  상업발사시장  진입을  시도  및  점유율  확대  추진

* 미국

러시아 후르니체프

일 미쯔비시

(SpaceX, Orbital Science),

(

),

(

), EU(Arianespace)

– 국내 정부는 위성수출 목표를 제시하고 우주사업에 

(

산업체 참여 비중 확대를 통한 산업육성 추진

※ 우주개발 중장기 계획에 의하면 2040년까지

기의 인공위성 개발 계획을 수립하고 있으며 한국형발사체

115

,

개발 추진 및 정지궤도 발사체 개발 예정


background image

개관

 

경영성과계획서

2015~2017 

7

◦ 위협요인 충분한  내수시장을  형성하고  있지 

(

못하기  때문에 세계  시장  진입을  위한  기반이 

부족하며, 세계 시장에서의 경쟁력 확보를 위한 신뢰성 및 가격 경쟁력 확보에도 어려움 존재

– 미국 유럽 등 항공우주 선진국을 중심으로 시장 과점 현상이 뚜렷하기 때문에 해외 항공우주 

시장  진출이  어려움

세계 우주 경제 규모

<

단위 십억불

(

)

세계 항공 시장 전망

>

<

>

※ 경제규모에  따른  주요국  우주개발  역량비교 우주전담기구  기준

(

)

명목 GDP

억불

(‘14,

)

우주전담기구

예산

억불

(‘13,

)

우주전담기구

인력

(‘13,

)

운용 위성수

2)

(‘13,

)

발사체 발사횟수

(‘13,

)

한국(KARI)

14,495

3.06

751

8

1

인도(ISRO)

20,478

11.00

18,561

31

3

러시아(FSA)

20,573

56.00

200

136

32

이탈리아(ASI)

1),3),4)

21,293

3.07

5,134

17

7

유럽기준

(

)

영국(UKSA)

1),3),4)

28,476

4.20

3,413

20

프랑스(CNES)

3),4)

29,023

9.66

2,400

19

독일(DLR)

3),4)

38,205

7.86

7,700

25

일본(JAXA)

47,698

20.30

1,523

60

3

중국(CNSA)

103,554

13.00

-

116

15

미국(NASA)

174,163

168.65

18,068

526

19

1) 우주전담기구의  인력  중  이탈리아/영국의  자료는  2012년  수치임

운용 중인 위성수는 정부 민수 군수 상용위성을 모두 포함

2)

/

/

/

그래프의 경우 조사국 중 이탈리아 영국 프랑스 독일을 묶어 유럽 개국으로 표현

3)

/

/

/

4

유럽 개국의 경우

분담금을 제외한 순수 우주전담기구 예산을 조사

4)

4

ESA

출처:

명목

기준년도

1)

GDP: IMF(International Monetary Fund),

(2014 )

우주전담기구 예산

및 각국 우주전담기구

2)

: The Space Report 2014(Space Foundation)

Annual Report

우주전담기구 인력

3)

: The Space Report 2014(Space Foundation)

운용중인 위성수

기준

4)

: UCS Satellite Database(2014. 7. 31.

)

발사체 발사횟수

5)

: Commercial Space Transportation(FAA, 2013)


background image

8

주요 국가별 경제규모에 따른 우주개발 역량 비교

<

>

시사점

(

) 국력과 상관관계가 높은 경제규모의 관점에서 주요국은 경제규모가 클수록 활발한 우주개발

활동을 실시하고 있으며 이에 따라 우주전담기구에 대한 투자와 인력확보가 병행되며 특히 러시아의

,

,

경우 경제규모 대비 우주개발활동에 대한 집중도가 높음

사회  환경

(Society) 

◦ 기회요인

(

) 현대  사회가  보다  스마트한  시스템으로  발전함에  따라  인공위성  정보의  필요성 

및 활용은 더욱 커지고 있으며 소득수준 향상에 따라 라이프스타일이 다양화 되어 교통수단 

외에  관광  및  레저  등  다양한  목적으로의  항공기  수요  증가

– 국내 외

(

)

자연재해 환경오염 대형 산불 선박 사고에 의한 기름 오염 등의 사회적 문제에 

대한 예방 및 사후 관리의 중요성이 증가하고 있어 이에 대한 인공위성 개발 및 발사 수요 증가

※ 지난

년간

발사된 위성 수

향후

년 간

발사될 위성 수

10

(2004-2013)

817

10

(2014-2023)

1,155 (2014,

Satellite to be built & launched by 2023)

– 국내

(

)

수리온 나라온 등 항공기 개발 

T-50, 

성공과 

다양한  위성  발사  성공 나로호  발사  성공을 

통한 

진입  등  항공우주  분야에서  창출된 

Space  Club 

다양한  성과를  바탕으로  항공우주개발에  대한 

국민적  기대와  관심  고조

◦ 위협요인 고령화  사회의  진전에  따라  국민  복지

(

국민  건강  등  보건  분야에  대한  재정  수요가 

확대되고 생명기술 정보통신기술  등에  대한  투자 

확대 최근  고조되고  있는  사회  안전  분야에  대한 

재정 투자 수요 확대 등에 따라 재정  투자의 효율성 제고와 관련하여  항공우주  개발  투자의 

실효성  논란  심화  우려

우주개발 지지도

<

>


background image

개관

 

경영성과계획서

2015~2017 

9

기술  환경

(Technology) 

◦ 기회요인

(

) 항공우주  기술은  기계 전기 전자 정보통신  등  다양한  기술이  결합된  융복합 

기술로서 관련  분야의  국내  기술  수준이  높기  때문에 상호  협력을  강화할  경우 해외 

선진국들보다  짧은  기간  안에  선진국  수준의  항공우주  기술  확보  가능

◦ 위협요인

(

) 항공우주  기술은  국제  협약이나  기술이전  통제에  따라  관련  기술  및  물자의 

이전이  자유롭지  못하기  때문에  해외  협력을  통한  기술  확보  어려움

– 장기적 관점에서 항공우주개발 추진을 위한 기초 핵심 연구역량 전문 인력 국제협력 등 

기반  취약


background image

10

❏ 환경변화에  대한  대응전략

구분

기회요인

위협요인

정책

- 세계 각국은 항공우주 분야를 국가경제의 새로운

성장 모멘텀으로 인식하여 항공우주 분야 발전을

,

위한 정책 수립 시행

- 항공산업발전 기본계획

우주개발 중장기

(’10) ,

」 「

계획

등을 통해 장기적인 항공우주개발 추진

(’13)」

- 항공우주 분야는 장기적인 계획을 바탕으로

지속적인 투자가 요구되기 때문에 정책 의지
변화 등에 따른 변동성 내포

경제

- 세계 정부의 항공우주 분야 투자 확대와 산업 육성을

통한 경제 활성화로 항공우주 분야 경제활동

규모가 지속 증가

- 미국 유럽 등 항공우주 선진국을 중심으로 시장

,

과점 현상이 뚜렷하기 때문에 해외 항공우주

,

시장 진출이 어려움

사회

- 현대 사회가 스마트한 시스템으로 발전함에 따라

인공위성 정보의 필요성 및 활용 확대

- 라이프스타일이 다양화 되어 교통수단 외에 관광

및 레저 등 다양한 목적으로의 항공기 수요 증가

- 복지 분야에 대한 재정 수요 확대 생명기술

,

,

정보통신기술 등에 대한 투자 확대 사회 안전

,

분야에 대한 재정 투자 수요 확대 등에 따라

항공우주 개발 투자의 실효성 논란 심화 우려

기술

- 항공우주 기술은 기계 전기 전자 정보통신 등

,

,

,

기술이 결합된 융복합 기술로서 수준이 높은 국내

,

관련 분야와 상호 협력을 강화할 경우 짧은 기간

,

안에 선진국 수준 기술 확보 가능

- 기초 핵심 연구역량

전문인력

국제협력 등

,

,

기반은 취약

- 선진국의 기술이전 통제 정책에 의해 해외 협력을

통한 확보가 어려움

대응
전략

- 항공우주개발에 대한 장기적이고 지속적인 육성 정책으로 항공우주 산업의 성장 기반 조성 확대

정부 정책 견인

(

)

- 우주개발의 대국민 이해 증진을 위한 홍보강화
- 우리나라 강점분야 기술을 선택하여 신흥국 대상 수출 전략 마련

- 해외 선진국의 기술통제 정책 연구 및 전략 마련
- 기 확보한 항공우주 기술을 토대로 부족한 핵심기술에 대한 자립화 촉진

- 세계시장 진출을 위한 산업체 경쟁력 확보를 위해 연구원의 기술 노하우 지원 강화


background image

개관

 

경영성과계획서

2015~2017 

11

내부  역량  분석

2) 

1)

기관의  공유  가치

(Shared  Values) 

◦ 강점요인

(

) 한국항공우주연구원은  항공우주 기술 개발 을 선도하는 국가 유일의 정부출연연구

기관으로  타  기관과  구별되는  정체성을  보유

◦ 약점요인

(

) 명확한 기관 임무와 타 기관과 구별되는 정체성을 가지고 있어 중 단기 기간에   

,  ㆍ

우리가  집중해야할  목표에  대한  조직  내의  합의  및  공유  필요

년 연구원 내부직원만족도 조사에 의하면 기관의 비전 및 전략 이해는

점 미래부 산하

개 기관

2013

,

68.4 (

17

평균

기관에 대한 주인의식은

점 미래부 산하

개 기관 평균

으로 나타남

71.7 ),

76.4 (

17

78.6)

기관  전략

(Strategy) 

◦ 강점요인

(

) 정부의  우주개발  중장기  계획

항공산업발전  기본계획

등과  연계한 

(’13)’,  ‘

(’10)’ 

한국항공우주연구원  비전 

을  통해  관련  기술  개발에  대한  장기적인  전략  및 

2040(’13)’

방향성  확보

◦ 약점요인

(

) 장기적인  기술  개발  목표  및  방향성은  확보하고  있지만 기관의  자원  집중

경쟁우위 원천인 핵심기술 개발 미래 기술 및 미 자립 기술 확보 등에 대한 전략 투자 방향 

및  포트폴리오  등은  강화  필요

1)

에서 개발한

모델을 기반으로 기관 내부 요소를

Mckinsey

7S(Shared value, Strategy, Structure, System, Style, Staff, Skills)

진단하였음


background image

12

기관  조직

(Structure) 

◦ 강점요인 연구원의 주요 기술개발 분야인 항공 위성 발사체로 구분되는 조직으로 구성되어 

(

있으며 각  조직의  해당  분야  전문성이  높음

◦ 약점요인 항공우주 각 분야의 연구개발 능력을 발휘하기 좋은 조직구성이나 융합 및 협업 

(

등의  연구  추진을  위한  유연성  강화  필요

기관  시스템

(System) 

◦ 강점요인 경영 연구 성과 등의 조직 관리를 위해 특화된 시스템을 구축하여 효율적 안정적 

(

기관  운영을  추진하고  있음

– 국가  연구개발사업의  효율적  수행  지원을  위한  연구지원시스템  KPMS(KARI  Project 

위탁 협동과제  연구협약관리  시스템 등  운영

Management  System, 

◦ 약점요인 기관  운영  및  사업  관리  시스템은  구축되어  있으며 다양한  혁신  방안  노력을 

(

기울이고  있지만 대형  항공우주사업의  성공적인  추진을  위한  기관  차원의  위험도  관리 

시스템은  미흡한  상황으로  이에  대한  구축  필요

기관  구성원

(Staff) 

◦ 강점요인 항공우주  분야의  전문성을  가진  우수인력을  확보

년  말  기준  박사  인력 

(

(2014

하고 있으며

년 말 직원 총원 대비 비정규직 인력 비율

은 

로 출연 연

47%)

, 2014

(903:116)

13%

( ) 

최저  수준

– 중장기  인력  운영계획을  수립하고  있으며 해외우수  전문인력  채용  확대  및  우수인력 

유치를  위한  채용박람회  등에  참가

년까지 총

명 확보 목표 위성

명 발사체

명 항공

명 융복합

명 지원

’18

1,146

(

247 ,

430 ,

193 ,

131 ,

145 )

◦ 약점요인 세계 주요 항공우주 연구개발 기관에 비해 인력 규모가 매우 작으며 출연연 특성상 

(

인력  확충이  어려움 정부의  승인  필요

(

)

– 또한 교육 및 경력개발을 위한 전담조직 구성 및 다양한 활동을 강화하고 있지만 교육훈련의 

기회  및  양은  아직까지  부족한  실정으로  질적 양적  강화  필요

·

년 연구원 내부직원만족도 조사에 의하면 교육 및 경력개발의 점수는

점 미래부 산하

개 기관

2013

,

56.7 (

17

평균

점 이며 인재 육성 적극성 부분이 상대적으로 낮게 나타났으며 다양한 능력 기술 요구 에 대한

62.5 )

, ‘

/

부분은 상대적으로 높게 나타남


background image

개관

 

경영성과계획서

2015~2017 

13

기관  관리  스타일

(Style) 

◦ 강점요인 기관장은 

년 이상 로켓분야 연구개발에  참여한  기술  전문가이며 나로호 발사를 

(

25

성공적으로  수행한  사업단장으로 연구개발  및  기관운영에  대한  현장의  전문성과  경험을 

축적하고  있음

– 기술  개발 을  최우선  목표로  선정하여 창조적  혁신  연구  분위기  확산  추진

– 자율적  참여의식을  고취하고  협업  체계를  강화하며 연구원과  양방향  소통의  협의  과정을 

통한  서로  이해하고  동의하는  연구개발  수행체계  구축

◦ 약점요인 기관장의  리더십을  발휘할  수  있는  조직  구성과  원내외  협력  및  관계  부처와의 

(

합의를  이루는  과정  필요

기관  기술력

(Skill) 

◦ 강점요인 국가 항공우주 분야의 국가 수요를  충족할 수  있는 우주자산을 보유하고 있으며

(

대형사업 추진역량과 다양한  전공의 최고인력 산업체 지원을 위한 기술 노하우 등 보유

– 고해상도  지구관측  위성  개발 달  탐사 한국형발사체  개발 헬기  개발  등  국가적  미션 

수행을  위한  기술력  확보

※ 스마트무인기 개발 성공으로 세계 번째 틸트로터 기술 확보

2

※ 아리랑

호 위성 개발로 세계

번째 상용 서브미터급 광학영상 제공 및 아리랑

호 위성개발로 세계

3

4

5

번째로 레이더영상

제공

5

(SAR)

※ 천리안위성 개발로 세계 최초 정지궤도 해양위성 및 세계 번째 기상위성 보유국 지위 획득

7

※ 나로호 개발을 통해

억원의 생산유발효과 및

명의 고용창출효과

한국형발사체개발로

3,629

4,647

,

억원의 생산유발효과 및

명의 고용창출효과 예측

한국형발사체 예타보고서

20,955

26,834

(KISTEP,

, 2009)

※ 아리랑위성

호 개발을 통해

억원의 생산유발효과 및

명의 고용창출효과 창출

1 , 2 , 3

4,032

7,419

분석 산업연구원 다목적실용위성 개발의 경제적 효과 분석

(

,

, 2006)


background image

14

◦ 약점요인 항공우주개발  체계  기술 발사체  제외 수준은  선진국  수준이나 주요  핵심기술에 

(

(

있어서는  아직  선진국과  격차가  존재2)

– 위성  탑재체 달  및  행성탐사선  개발  관련  기술은  선진국  대비  기술수준이  낮으며  기술 

격차도 

년  이상으로  큼

10

– 우주  발사체  기술은  최고  기술  보유국 러시아 대비 

년  이상의  기술  격차가  존재

(

15

– 미래형 유인항공기 기술은 최고 기술 보유국 미국 대비 

년 지능형 무인 비행체 기술의 

(

10 , 

경우  약  년  정도의  기술  격차  존재

5

3)

의 선진국 대비 기술 수준

<KARI

(%)>

3

2) 기술 격차는

년도 특정분야 기술수준평가 보고서를 참조하였으며 보고서의 우리나라 기술 수준이 항우연의 기술

KISTEP

‘2013

,

수준과 동일하다고 가정하였음

3) 기술 수준은

년도 특정분야 기술수준평가 보고서를 참조하였으며 보고서의 우리나라 기술 수준이 항우연의 기술

KISTEP

‘2013

,

수준과 동일하다고 가정하였으며 최고 기술 보유국 기술을

로 설정

,

100%


background image

개관

 

경영성과계획서

2015~2017 

15

분석과 기관장의 연구원 발전 및 경영혁신 계획 경영철학 간의 연계성

<7S

(

)

>

7S

강점

약점

기관장 경영철학

공유 가치

(Shared

Value)

국내 유일의 항공우주 기술

개발 전문 기관이라는 인식

공유

비전 공유 및 주인

의식 강화 필요

▪ 항공우주기술 자립으로 항공우주

강국 실현 이라는 연구원이 집중

할 수 있는 목표 제시

전략

(Strategy)

▪정부 장기 발전 계획과 연계된

연구원 발전 방향 확보

▪기술 개발에 대한 자원

집중 전략 포트폴리오

,

등 필요

우주발사체 자력개발에 총력

위성 및 위성활용 기술의 산업화

강화

항공핵심기술 개발에 중점

조직 구조

(Structure)

기관 연구 개발 임무 수행을

위한 전문적 조직 구성

융합 및 협업을 위한

조직의 유연성 필요

큰 단위 조직구성으로 조직간

칸막이 허물기

미래전략 담당부서 설치

시스템

(System)

연구 개발의 안정적 수행 및

지원 업무의 효율적 수행을

위한 특성화 시스템 구축

위험도 관리 시스템

강화 필요

사업별 위험도 관리 위원회

구성 및 운영

단계별 개발결과 검증 체계 강화

구성원

(Staff)

우수인력 확보 및 출연 연

( )

최저 수준의 비정규직 비율

교육전담 부서 구축 및 교육

프로그램 강화

대형 연구개발 사업

대비 인력 부족

교육훈련의 기회 및

양 증대 필요

부족 연구 인력 확보 추진

고경력자 활용 제도 및 연구

재교육 프로그램 활성화

관리

스타일

(Style)

▪연구 현장의 전문성과 경험을

가진 기관장
소통을 통한 연구개발 추진

의지

원내외 협력 및

관련

정부 부처와의 협의
고도화 필요

직원의 자긍심을 되살리는 사기

진작

연구성과 홍보를 통한 국민과

양방향 소통 강화

▪자율적 참여의식 고취 협업체계

,

강화

기술

(Skill)

국가 항공 위성 발사체

,

,

개발을 위한 전문 인력 경험

,

,

기술 보유

핵심 기술 부족 수탁

(

사업 이외 핵심기술
연구 인력 부족)

▪선진국이 기술이전을 기피하는

핵심기술의 독자개발


background image

16

선진  연구기관 미 

과의  비교분석

3) 

(

NASA)

◦ 세계  항공우주 관련  기관  중에서  선도적  지위를  가지고  있는  미 

의  임무  달성을 위한 

NASA

전략적  목표를  분석하고 이에  대응하는  항우연의  발전  방향을  제시

의 전략 목표 분석

NASA

항우연

항우연

임무와의

관련성

대비

NASA

역량수준

현재

(

)

경영성과 계획

년 후

3

역량수준

목표

지식 역량 우주영역의 기회 개척

(Goal 1)

,

,

1-1

탐구 과학 혁신 인류 기여 국제협력을 발전시키기 위해 태양계

,

,

,

,

및 화성에 인류영역 확대

달 탐사 연구

글로벌 파트너쉽 강화를 통한

전략적 국제협력 활성화

1-2

미래 우주탐사 실현 상업적 측면의 우주 산업 활성화 인류에

,

,

기여할 수 있는 기초 생명 물리학을 발전시키 위해

에서의

/

ISS

연구 지속적 추진

×

-

-

1-3

우주 유인 및 화물 수송을 위해 상업 역량의 활용 및 발전 촉진

한국형발사체 자력 개발 추진

발사체 발사 인프라 구축

1-4

태양 및 우주 기상을 포함한 태양과 지구 태양계간 상호 영향

·

연구

×

-

-

1-5

태양계의 본질 기원 진화 및 지구 외의 생명체에 대한 가능성

,

,

탐구

×

-

-

1-6

우주 작용의 원리 시작과 진화 다른 항성 주변 행성의 생명체

,

,

등을 탐구

×

-

-

1-7

여러 분야에 적용 가능하고

혁신적인 우주기술을

(crosscutting)

개발하여

의 미션을 변화시키고 국가 역량을 발전시킴

NASA

우주항공 융복합 핵심기술 개발

위성항법 핵심 응용 기술 개발

/

(Goal 2) 지구에 대한 이해를 높이고 인류 삶의 질을 향상시키

는 기술 개발

2-1

항공 연구를 발전시켜 안전하고 지속가능한 미국 및 글로벌 항공
시스템의 혁신적인 변화를 일으킴

시장 선점형 미래비행체 개발

헬기독자개발 능력 확보

항공기 엔진 기술 개발

2-2

지구 환경 변화의 위험요소들을 해결하고 지구의 생명체에
이로움을 주기 위해 지구 시스템의 이해를 높임

다목적실용위성 차세대중형위성

,

,

정지궤도 복합위성 개발
위성운용 및 위성정보 서비스 향상

2-3

기술 투자를 최적화하고

을 촉진하며 기술

, open innovation

,

융합을 촉진

우주항공 융복합 핵심기술 개발

위성항법 핵심 응용 기술 개발

/

2-4

국가

교육을 발전시키며

임무에 학생 교사

STEM

, NASA

,

,

교직원들을 참여시키고 다른

와 협력함으로써 취업

agency

루트를 제공

◾산 학 연 협력 및 융합 협동연구 강화

/ /

/

국민 소통을 통한 항공우주

과학기술 발전

국민에 기여하고 인력 기술역량 인프라를 효과적으

(Goal 3)

,

,

로 활용하여

임무를 성공적으로 수행

NASA

3-1

숙련되고 역량있는 다양한 인력을 고용 및 개발하고 생산성이

,

높고 혁신을 유도하는 기관 환경을 조성하며 연구 수행에 필요한
시설 도구 서비스를 제공함

,

우수인력 확보 및 양성

비정규직 관리 시스템 개선


◾연구시설 장비 구축 관리 효율성 제고

/

/

3-2

의 미션을 수행하기 위한 전략적 기술적 및 프로그램에

NASA

,

적합한 역량의 확보와 지속적인 개발을 추진

항공핵심요소기술 개발

위성 핵심기술 자립화

발사체 핵심기술 확보

3-3

미션을 수행하기 위한 안전하고 효과적이고 확보 가능한

NASA
정보 기술과 정보 서비스 제공

위성정보 서비스 향상

국가정책적 기여도 향상

항공우주 전략방향 정립

3-4

의 미션 성공을 위해 프로그램 운영 및 관리를 효과적으로

NASA
수행

◾위험도 관리 종합점검 등 체계 강화

,

※ 역량 수준

낮음

높음

:


background image

개관

 

경영성과계획서

2015~2017 

17

4)

분석  및  대응전략

  SWOT 

분석

SWOT 

◦ 환경  분석과  내부  역량  분석을  종합적으로  고려한 

분석

SWOT 

강점(Strength)

약점(Weakness)

•정부 장기 발전 계획과 연계된 연구원 발전 방향 확보
•국가 항공 위성 발사체 개발을 위한 전문 인력

,

,

,

경험 기술 보유

,

출연연 특성으로 정부 연구개발 사업 이외의 미래

핵심기술 개발 추진 어려움

•핵심 기술 부족 수탁 사업 이외 핵심기술 연구 인력 부족

(

)

기회(Opportunity)

위협(Threat)

•세계 각국은 항공우주 분야를 국가경제의 새로운 성장

모멘텀으로 인식

•세계 수준의 국내 타 분야 기술과 협력 강화 시 선진국

수준 기술 확보 가능

항공우주 기술 및 정보 활용 확대

•정책 의지 변화 등에 따른 항공우주 개발 투자 위축

등 변동성 내포

•선진국 중심의 시장 과점 현상이 뚜렷하기 때문에,

세계 항공우주 시장 진출 어려움

•선진국의 기술이전 통제 정책에 의해 해외 협력을

통한 핵심기술 확보 어려움

❏ 대응전략

분석  내용과  기관장  경영  철학  등을  종합적으로  반영하여  대응전략  마련

SWOT 

강점 기회

전략

-

(SO)

약점 기회

전략

-

(WO)

장기적인 발전 계획에 대한 핵심기술 개발 강화

기 확보 기술을 활용한 산업화 강화 중소기업과 협력

(

)

및 신규 산업 모델 발굴 추진

정부 사업과 연구원 사업에 대한 연구 역량 자원

,

집중 등 연구개발 포트폴리오 확립

타 분야 선진 기술과 결합한 융합연구 추진

강점 위협

전략

-

(ST)

약점 위협

전략

-

(WT)

항공우주개발 투자 변동성 최소화를 위한 지속적

성과 창출 및 대외 지지 기반 확보 추진

기관 보유 기술을 활용한 국내 산업체 역량 강화로

국제 경쟁력 제고

홍보 과학문화 확산 등을 통해 항공우주개발에 대한

,

국민적 공감대 강화

기관 보유 기술을 활용한 기술 선도형 국제 협력 추진

출연금 활용 자체 연구 역량 강화 추진 미래 선도

(

기술 개발 등)


background image

18

3 .

기관운영  방향

 

❏ 외부환경  변화와  내부역량을  고려한  대응방안과  기관장  경영철학을  반영한  기관운영 

주요방향  도출

분석

SWOT

기관장 경영철학

전략

[SO

]

•장기적인 발전 계획에 대한 핵심기술 개발 강화

기 확보 기술을 활용한

산업화 강화

중소기업과 협력 및 신규

(

)

산업 모델 발굴 추진

전략

[ST

]

항공우주개발 투자 변동성 최소화를 위한

지속적 성과창출 및 대외 지지 기반 확보 추진
기관 보유 기술을 활용한

국내 산업체 역량

강화로 국제 경쟁력 제고

전략

[WO

]

정부 사업과 연구원 사업에 대한 연구 역량,

자원 집중 등 연구개발 포트폴리오 확립
타 분야 선진 기술과 결합한

융합연구 추진

전략

[WT

]

홍보 과학문화 확산 등을 통해

,

항공우주개발에 대한 국민적 공감대 강화

기관 보유 기술을 활용한

기술 선도형 국제

협력 추진

출연금 활용

자체 연구 역량 강화 추진 미래

(

선도 기술 개발 등)

• 공유가치

[

] ‘항공우주기술 자립 이라는 연구원이

집중 할 수 있는 목표 공유

전략

[

]

우주발사체 자력개발에 총력 위성 및

,

위성활용 기술의 산업화 강화 항공핵심기술

,

개발에 중점

조직구조

[

]

조직간 칸막이 허물기 및 대내외

협업체계 강화

시스템

[

]

사업별 위험도 관리 및 단계별 검증

체계 강화

구성원

[

]

부족 연구 인력 확보 추진 고경력자

,

활용 및 연구위원 재교육 프로그램 활성화

관리스타일

[

]

연구원 자율적 참여의식 고취 및

국민과 양방향 소통 강화

기술

[

]

선진국이 기술이전 기피하는 핵심기술

독자개발 중점

기관운영 주요방향

국책 중요 사업 성공적 수행 및 핵심기술 독자개발에 총력

1.

연구개발사업 위험도 관리 및 검증체계 강화

2.

융합연구 활성화를 위한 조직 예산 인력 시설 등 개방성 강화

3.

,

,

,

중소기업 산 학 연 기관과의 협력 확대 및 연구성과 활용을 통한

강화

4.

,

Open Innovation

ㆍ ㆍ

전략적 국제협력 추진 및 우주외교 역량 강화

5.

항공우주 기술 개발 성공을 위한 본부체제 조직 운영

6.


background image

개관

 

경영성과계획서

2015~2017 

19

❏ 중장기  연구방향

환경 분석

강점 기술

정책 환경

[

]

세계는 항공우주 분야를 국가 경제의 새로운

성장 모멘텀으로 인식

•항공우주 개발의 장기적 지속적 산업 성장 기반

,

조성을 위한 중장기 계획 수립

경제 환경

[

]

세계 우주 분야 경제활동 규모의 지속적 증가

충분하지 않은 항공우주 내수시장

선진국

,

중심의 항공우주 시장 과점으로 인한 해외

항공우주 시장 진출 어려움

사회 환경

[

]

위성 정보 필요성 및 활용 확대 추세 다양한

,

목적의 항공기 수요 증가
다양한 재정 수요 확대로 인해 항공우주 개발

투자 실효성 논란

기술 환경

[

]

항공우주 기술의 융복합 특성으로 관련 분야

협력을 통한 시너지 효과 증가 예상
선진국 기술이전 통제로 인해 해외협력을 통한

기술 확보 한계

무인기 틸트로터 기술

•고해상도 지구관측 위성 버스 및 광학 탑재체 기술

위성영상 처리 및 정보화 기술

기술 지도 및 기술 산업화 지원 관리 노하우

산업체 항공기 검사 인증 전문역량 및 시스템

/

위성 조립 및 활용 등 국가 전략적으로 중요한

인프라와 산업체를 지원하는 공동활용 장비 보유

연구방향

항공 미래 비행체 핵심기술 개발을 통한 국가 항공산업 도약 기반 구축

국가 위성정보 수요 충족을 위한 위성 지속적 개발 및 실용위성 성능 첨단화 위성 부품 개발 경쟁력 향상

,

위성 운영기술의 선진화 및 위성영상 품질 향상

발사체 자력개발을 통한 관련 산업 육성 및 우주산업 인프라 구축

달 탐사 독자개발 능력 확보와 미래 우주탐사 및 항공우주 융합 핵심기술 연구


background image

20

❏ 중장기  기술  개발  로드맵

전략
목표

성과목표

주요성과지표

2014

실적

(

)

2015

2016

2017

2018

2019

2020

항공

미래

비행체

핵심
기반

기술

확보

항공핵심요소기술

개발 및

기술수준입증으로 시장 선점형

미래비행체 개발 및 실용화

비행고도

HALE

8km

12km

 

 

 

 

 

위험장애물 탐지율

 

설계

90(

)

시험

90(

)

 

 

 

헬기개발 국책사업을 통한
헬기독자개발능력 확보 및

독자엔진개발을 위한 항공기 엔진

핵심기술 개발

엔진출력증대

10%

15%

시장선점형 무인기

핵심기술 개발 및 실용화

함상 착륙오차(CEP)

2.5m

2m

2m

지상시연

(

)

2m

함상시연

(

)

2023

1m

함상시연

(

)

항공우주제품에 대한 제품보증 기반
구축 및 적합성입증 시험평가기술

개발을 통한 산업체 기술 지원

인증기술 및 신뢰성평가 기술 지원

10

10

10

10

 

 

 

고흥항공센터 확충을 통한 국가

항공기개발 비행시험센터 구축

비행시험 시설 구축의 계획 대비 공정률

12%

25%

50%

100%

 

 

 

대형 항공시험평가 설비 가동률

61%

73%

75%

75%

실용

위성

성능

첨단화

국가적 미션과 국가 우주개발 역량

향상을 위한 고해상도

다목적실용위성 개발

서브미터급

광학 관측위성

(0.55m)

개발 진척율

(

)

PSR

(90%)

발사

(100%)

 

 

 

 

 

서브미터급

레이더 관측위성

(0.5m)

개발 진척율

(

)

SDR

(20%)

PDR

(40%)

CDR

(60%)

IRR

(70%)

 

 

 

차세대 중형위성 개발을 통한

국내공공위성수요 충족 및

우주산업화 촉진

급 표준 플랫폼 설계 진척율

500kg

(

)

 

SDR

(20%)

PDR

(40%)

CDR

(60%)

 

 

 

급 해상도 정밀광학탑재체

0.5m

개발 진척율

(

)

 

SDR

(20%)

PDR

(40%)

CDR

(60%)

 

 

 

기상 해양 및 환경관측을 위한

,

정지궤도복합위성의

독자적인 개발 및

핵심기술 자립화

시스템 본체 지상국 핵심기술

,

,

개발

진척율

(GK2A/GK2B

)

PDR

(40%)

/PDR

(40%)

CDR

(60%)/-

IRR

(70%)

/CDR

(60%)

TRR

(80%)

/IRR

(70%)

 

 

 

기상 및 우주기상 탑재체

개발 진척율

(

)

PDR

(40%)

CDR

(60%)

TRR

(80%)

PSR

(90%)

 

 

 

해양탑재체 개발 진척율

(

)

PDR

(40%)

CDR

(60%)

TRR

(80%)

PSR

(90%)

 

 

 

환경탑재체 개발 진척율

(

)

PDR

(40%)

CDR

(60%)

TRR

(80%)

PSR

(90%)

 

 

 

위성 탑재체 핵심기술 개발

광학계 해상도@500Km 진척율

(

)

0.5m

(100%)

0.3m

(80%)

0.3m

(90%)

0.3m

(100%)

0.2m

탑재체 해상도 진척율

GEO

(

)

20m

(80%)

20m

(90%)

10m

위성부품 개발 경쟁력 향상

능동형 안테나 기술 공학인증 모델

공학
모델

공학

인증모델

 

 

 

 

 

용 우주 베이링 모듈 및

CMG

구동제어장치 실험모델

0.25deg

해석

(

)

0.25deg

시험

(

)

 

 

 

 

 

위성
운영

및 위성

정보

서비스

향상

효율적인 위성운영을 통한

국가개발위성의 안정적인 운영 지속

우주임무 누적시간

개월

291

개월

347

개월

395

개월

443

 

 

 

위성 및 발사체 등 국가 우주자산의

안정적 운영을 위한 우주충돌감시

우주물체감시 레이더 모델링 및

시뮬레이터 기술

달성도

TRL

 

3

4

6

 

 

 

위성활용 증진을 위한

통합 플랫폼 구축 및 운영

위성정보서비스

5,764

4,500

5,000

5,500

6,000

 
 

 
 

발사체

자력

개발

인프라

확충

한국형발사체 자력개발 추진

한국형발사체

주요

달성도

CTE

TRL

4.79

(3)

5.48

(4)

6.09

(5)

6.61

(6)

7.45

(6)

7.64

(7)

8

(8)

단형 시험발사체 진척율

2

(

)

예비설계

상세설계,

조립

PSM

착수

PSM

조립 시험

/

,

EM

조립 시험

/

시험

EM

,

QM

조립 시험

/

,

FM

조립 발사

/

한국형발사체 개발지수

50%

58%

66%

75%

85%

94%

100%

발사체 핵심기술 확보 추진

페어링 음향 저감

2.8dB

4.8dB

 

 

 

 

 

상단 로켓엔진 고성능화

연소압

8MPa

연소기

제작

연소압

20MPa

예연소기-

산화제
토출압

24.6MPa

TP 10

연계 시험

연소압

20MPa

산화제

PB-

토출압

24.6MPa

연소압

TP-

8MPa

CC 10

연계 시험

진공환산

추력

8 ,

비추력

340

기능

확인용

엔진 제작

 

 

정지궤도위성 발사체 개념도출

 

 

40%

70%

 

 

 

한국형발사체 발사 나로우주센터

(

)

인프라 구축

해외다운레인지 추적소 구축

10%

30%

60%

80%

 

추적레이더 성능개선

20%

60%

80%

90%

 

미래
융합

기술

개발

역량

확충

달 탐사선 핵심기술 확보를 통한

시험용 달 궤도선 개발

달 궤도선 독자개발에 필요한

핵심기술 확보율

60%

70%

75%

80%

84%

87%

90%

파장분해능(R= /

)

λ Δλ

250

300

 

 

 

 

 

시험용 달 궤도선 개발 진척율

(

)

 

SRR

(10%)

PDR

(40%)

CDR

(60%)

PRR

(80%)

LEOP

(100%)

 

미래 우주항공 융복합

핵심기술 개발

초소형위성 자세제어오차

6deg

5deg

4deg

3deg

 

 

 

소형 드론 내풍속도

 

 

12m/s

15m/s

 

 

 

소형 드론 위치제어오차 실내 실외

(

/

)

10cm

/-

5cm

/20cm

4cm

/20cm

4cm

/15cm

 

 

 

위성항법 핵심기술 및

응용기술 개발

지상시스템 설계 진척율

SBAS

(

)

SDR

(20%)

SRR

(30%)

PDR

(40%)

CDR

(60%)

 

 

 

지상시스템 제작 진척율

SBAS

(

)

 

 

30%

50%

70% 

90% 

100%

(2022)


background image

개관

 

경영성과계획서

2015~2017 

21

❏ 기관장  경영철학에  의한 

분석

As-is  &  To-be 

 

본  분석에는  앞서  실시한  선진  연구기관  비교분석  결과를  반영

  ※ 


background image

22

❏ 주요  예상  성과

고고도 장기체공 무인기

준우주 항공산업 창출,

미래형 친환경 동력 기술 확보

시장선점형 무인기 핵심기술 개발 및 실용화

틸트로터 무인기 세계 최초 실용화

개발로 세계시장 선점

다목적실용위성

고정밀 광학 및 레이더 탑재 관측위성

기술자립 달성 및 수출을 위한 기반 확보

정지궤도복합위성

독자적인 기상 우주기상 환경

,

,

및 해양관측 능력 확보

달 탐사선

우주탐사 임무개발 역량 확보

위성항법보정시스템(SBAS)

공역 혼잡도 해소 및 항공안전 강화

급 초소형위성

<6U

>

멀티콥터 프로펠러 복합형 드론

<

/

>

한국형발사체

저궤도 실용위성 발사 능력 확보

미래 우주항공 융복합 핵심기술

저비용 우주탐사 능력 제고

기술 융합형 초소형위성 및

, IT

소형 드론 개발 기술 확보


background image

경영성과목표  요약


background image

background image

경영성과목표  요약

 

경영성과계획서

2015~2017 

25

Ⅱ 경영성과목표  요약

1 .

경영목표  체계

 

경영목표  체계도

(1) 

비전

하늘과 우주를 향한 대한민국의 꿈과 새로운 가치의 실현

경영
목표

항공우주 기술개발을 통한 항공우주 강국 실현

급 광학계 해상도 시제품 제작 및 개발

- 0.3m

(’

기준

14

, 0.7m)

한국형발사체 개발지수

달성

-

75%

(’

기준

14

, 50%)

-

비행고도

도달

HALE

12km

(’

기준

14

, 8km)

국가 항공우주 인프라 구축 및 활용을 통한 미래가치 창출

발사장비 추가구축과 기존장비 성능개선 세계최고수준 대비

달성

- KSLV-

90%

위성 임무운영 성공률

수준으로 개선

-

98%

(’

기준

14

, 95%)

위성정보활용 통합플랫폼 개발 및 위성영상

장 배포

-

5,500

(’11~’

평균

14

, 3,850 )

대형 항공시험평가 설비 가동률

이상 유지

기준

70%

(’14

, 61%)

선진 전략경영체제 구축 및

신뢰성 제고를 통한 사업성공과 파급

R&D

연구 행정 및 지원 업무의 지속적 개선을 통한 효율성 제고

-

연구위험 관리주기 단축과 종합 검증으로

신뢰성 강화

-

R&D

-

성과확산을 통한 기술료 수입액 증대

억원 및 중소기업 기술지원

R&D

(’15~’17,

43.4

)

업무협약 강화 누적

개 기업

(

66

)

핵심
가치

■ Knowledge

항공우주 연구개발을 통한 과학기술 지식의 고양 및 활용

■ Advancement

세계적 수준의 역량을 갖춘 기관으로의 발전

■ Responsibility

위험도 관리 등을 통한 국가 사업의 책임완수 및 신뢰성 제고

■ Innovation

기술혁신 및 융합 강화를 통한 창조경제 기여

경영부문

연구사업부문




창조적 조직혁신 및 인사관리 공통

(

)




항공 미래 비행체 핵심 기반기술 확보

② 예산 연구관리 효율화와 청렴연구문화 정착 공통

(

)

실용위성 성능 첨단화

항공우주개발 성과활용을 통한 창조경제

성장동력 창출 공통

(

)

위성운영 및 위성정보 서비스 향상

④ 정부정책에 부합하는 합리적 운영체제 구축 공통

(

)

발사체 자력개발 및 인프라 확충

⑤ 항공우주 전략방향 정립 및 연구 신뢰성

구축 자율

(

)

미래 융합기술 개발 역량 확충


background image

26

※ 경영부문  성과목표  체계

성과목표1

추진계획 1-1

우수인력 확보 및 양성

추진계획 1-2

여성과학기술인 육성 및 고용환경 개선

창조적 조직혁신 및

인사관리

조직 인사 복리후생

(

)

공통

(

)

추진계획 1-3

비정규직 처우 및 관리 개선

추진계획 1-4

고유임무 달성 및 핵심기술 확보를 위한 조직구성ㆍ운영

추진계획 1-5

개인평가 제도 개선 및 인사제도의 개방성 확대

추진계획 1-6

합리적 보수 복리후생제도 및 노사관계 정립

추진계획 1-7

연구몰입 집중 환경 조성

(

)

성과목표2

추진계획 2-1

예산 회계 업무의 투명성 및 집행의 적절성 강화

예산 연구관리 효율화와

청렴 연구문화 정착

예산 연구윤리 보안

(

)

공통

(

)

추진계획 2-2

연구윤리 준수

추진계획 2-3

내부책임성 강화 및 반부패 문화 확산

추진계획 2-4

연구개발 보안 별도평가

(

)

성과목표3

추진계획 3-1

연구개발 성과 관리 확산 활용 체계 고도화

항공우주개발 성과활용을

통한 창조경제 성장동력 창출

성과창출 활용 확산

(

)

공통

(

)

추진계획 3-2

중소기업 지원 및 창업지원 체계 강화

추진계획 3-3

지역 조직의 지역 산업 과학기술에의 기여 강화

/

추진계획 3-4

대외 공공 서비스 수준 향상 및 국가정책적 기여도 향상

(

)

추진계획 3-5

산 학 연 협력 및 융합 협동연구 강화

ㆍ ㆍ

성과목표4

추진계획 4-1

국민 소통과 항공우주 과학교육을 통한 항공우주 과학기술 발전

정부정책에 부합하는

합리적 운영체제 구축

정책분야 공통

(

)(

)

추진계획 4-2

글로벌 파트너쉽 강화를 통한 전략적 국제협력 활성화

추진계획 4-3

정부

비전과 가치를 반영하는

구현

3.0

KARI 3.0

추진계획 4-4

연구시설 장비 구축 관리 효율성 제고 및 안전관리 강화

성과목표5

항공우주 전략방향 정립 및

연구 신뢰성 구축

기관장 리더십반영 자율

(

)(

)

성과지표 5-1

미래지향적 항공우주 전략방향 정립

성과지표 5-2

연구개발사업 위험도 관리 및 종합점검 조정 검증 체계 강화

,

,


background image

경영성과목표  요약

 

경영성과계획서

2015~2017 

27

※ 연구사업부문  전략목표  및  성과목표  체계

전략목표

임무유형

성과목표

1.

항공 미래

비행체 핵심

기반기술 확보

기초 미래선도형

1-1 항공핵심요소기술 개발 및 기술수준입증으로 시장 선점형 미래비행체

개발 및 실용화

산업화형

1-2 헬기개발 국책사업을 통한 헬기독자개발능력 확보 및 독자엔진개발

을 위한 항공기 엔진 핵심기술 개발

공공 인프라형

시장선점형 무인기 핵심기술 개발 및 실용화

1-3

공공 인프라형

1-4 항공우주제품에 대한 제품보증 기반 구축 및 적합성입증 시험평가기술

개발을 통한 산업체 기술 지원

공공 인프라형

고흥항공센터 확충을 통한 국가 항공기개발 비행시험센터 구축

1-5

2.

실용위성 성능

첨단화

공공 인프라형

국가적 미션과 국가 우주개발 역량 향상을 위한 고해상도 다목적실용

2-1

위성 개발

산업화형

2-2 차세대 중형위성 개발을 통한 국내공공위성수요 충족 및 우주산업화 촉진

공공 인프라형

2-3 기상 해양 및 환경관측을 위한 정지궤도복합위성의 독자적인 개발 및

,

핵심기술 자립화

공공 인프라형

위성 탑재체 핵심기술 개발

2-4

산업화형

위성부품 개발 경쟁력 향상

2-5

3.

위성운영 및

위성정보

서비스 향상

공공 인프라형

효율적인 위성운영을 통한 국가개발위성의 안정적인 운영 지속

3-1

공공 인프라형

위성 및 발사체 등 국가 우주자산의 안정적 운영을 위한 우주충돌감시

3-2

공공 인프라형

위성정보 활용 증진을 위한 통합 플랫폼 구축 및 운영

3-3

4.

발사체

자력개발 및

인프라 확충

공공 인프라형

한국형발사체 자력개발 추진

4-1

공공 인프라형

발사체 핵심기술 확보 추진

4-2

공공 인프라형

한국형발사체 발사 나로우주센터 인프라 구축

4-3

(

)

5.

미래 융합기술

개발 역량 확충

공공 인프라형

달 탐사선 핵심기술 확보를 통한 시험용 달 궤도선 개발

5-1

기초 미래선도형

미래 우주항공 융복합 핵심기술 개발

5-2

공공 인프라형

위성항법 핵심기술 및 응용기술 개발

5-3


background image

28

❏ 경영목표와  세부목표의  연계

◦ 발사체 인공위성  등  국가우주자산의  개발  및  운영  임무  완수에  총력

◦ 선택과  집중을  통한  미래선도형  핵심기술을  확보하고 이를  뒷받침하기  위한  인프라  구축

◦ 국가  정책에  부합하는  동시에  혁신적인  경영  체제  구축을  위한  전략  수립

경영목표

세부목표

항공우주 기술개발을 통한

항공우주 강국 실현

국가 항공우주 인프라 구축 및

활용을 통한 미래가치 창출

선진 전략경영체제 구축

신뢰성 제고를

R&D

통한 사업성공과 파급

연구부문

경영부문

전략목표 1

항공 미래

비행체 핵심

기반기술 확보

[1-1] 항공핵심요소기술 및

시장 선점형
미래비행체 개발

[1-2] 헬기독자개발능력

확보 및 항공기 엔진
기술

[1-3] 시장선점형 무인기

핵심기술 개발 및
실용화

[1-4] 항공우주제품

제품보증 기반 구축 및
산업체 기술 지원

[1-5] 국가 항공기개발

비행시험센터 구축

성과목표

창조적

1.

조직혁신 및 인사관리

성과목표

예산 연구 관리

2.

·

효율화와 청렴 연구문화 정착

성과목표

항공우주개발

3.

성과활용을 통한 창조경제
성장동력 창출

성과목표

정부정책에

4.

부합하는 합리적 운영체제
구축

성과목표 5. 항공우주
전략방향 정립 및 연구 신뢰성
구축

전략목표2

실용위성 성능

첨단화

[2-1] 고해상도 다목적실용

위성 개발

[2-2] 국내공공위성수요 충족

및 우주산업화 촉진

[2-3] 정지궤도복합위성

독자적 개발 및
핵심기술 자립화

[2-4] 위성 탑재체 핵심기술

개발

[2-5] 위성부품 개발 경쟁력

향상

전략목표3

위성운영 및

위성정보

서비스 향상

[3-2] 국가 우주자산의

안정적 운영을 위한
우주충돌감시

[3-1] 국가개발위성의

안정적인 운영

[3-3] 위성활용 증진을 위한

통합 플랫폼 구축 및 운영

전략목표4

발사체

자력개발 및
인프라 확충

[4-1] 한국형발사체

자력개발

[4-2] 발사체 핵심기술 확보

[4-1] 한국형발사체

자력개발

[4-3] 한국형발사체

발사 나로우주센터

(

)

인프라 구축

전략목표5

미래 융합기술

개발 역량 확충

[5-1] 달 탐사선 핵심기술

확보를 통한 시험용 달
궤도선 개발
미래 우주항공 융복합

[5-2]

핵심기술 개발

[5-3] 위성항법 핵심기술 및

응용기술 개발

[5-3] 위성항법 핵심기술 및

응용기술 개발


background image

경영성과목표  요약

 

경영성과계획서

2015~2017 

29

❏ 경영전략 핵심가치 과  세부목표의  연계

(

)

경영전략

세부목표

Knowledge

Advancement

Responsibility

Innovation

항공우주 연구개발을

통한 과학기술 지식의

고양 및 활용

세계적 수준의 역량을
갖춘 기관으로의 발전

위험도 관리 등을 통한
국가 사업의 책임완수

및 신뢰성 제고

기술혁신 및 융합

강화를 통한

창조경제 기여

연구부문

전략목표 1

항공 미래

비행체 핵심

기반기술

확보

[1-1] 항공핵심요소기술

및 시장 선점형
미래비행체 개발

[1-2] 헬기독자개발능력

확보 및 항공기
엔진 기술

[1-4] 항공우주제품

제품보증 기반
구축 및 산업체
기술 지원

[1-5] 국가 항공기개발

비행시험센터 구축

[1-2] 헬기독자개발능력

확보 및 항공기
엔진 기술

[1-4] 항공우주제품

제품보증 기반
구축 및 산업체
기술 지원

[1-1] 항공핵심요소기술

및 시장 선점형
미래비행체 개발

[1-3] 시장선점형

무인기 핵심기술
개발 및 실용화

전략목표2

실용위성

성능 첨단화

[2-4] 위성 탑재체

핵심기술 개발

[2-3] 정지궤도복합위성

독자적 개발 및
핵심기술 자립화

[2-4] 위성 탑재체

핵심기술 개발

[2-5] 위성부품 개발

경쟁력 향상

[2-1] 고해상도 다목적

실용위성 개발

[2-2] 국내공공위성수요

충족 및
우주산업화 촉진

[2-3] 정지궤도복합위성

독자적 개발 및
핵심기술 자립화

[2-2] 국내공공위성수요

충족 및
우주산업화 촉진

[2-5] 위성부품 개발

경쟁력 향상

전략목표3

위성운영 및

위성정보

서비스 향상

[3-3] 위성활용 증진을

위한 통합 플랫폼
구축 및 운영

[3-2] 국가 우주자산의

안정적 운영을
위한 우주충돌감시

[3-1] 국가개발위성의

안정적인 운영

[3-2] 국가 우주자산의

안정적 운영을
위한 우주충돌감시

전략목표4

발사체

자력개발 및
인프라 확충

[4-2] 발사체 핵심기술

확보

[4-3] 한국형발사체 발사

나로우주센터

(

)

인프라 구축

[4-1] 한국형발사체

자력개발

전략목표5

미래

융합기술

개발 역량

확충

[5-2] 미래 우주항공

융복합 핵심기술
개발

[5-3] 위성항법

핵심기술 및
응용기술 개발

[5-1] 달 탐사선

핵심기술 확보를
통한 시험용 달
궤도선 개발

[5-1] 달 탐사선

핵심기술 확보를
통한 시험용 달
궤도선 개발

[5-3] 위성항법

핵심기술 및
응용기술 개발

[5-2] 미래 우주항공

융복합 핵심기술
개발

경영부문

성과목표

창조적

1.

조직혁신 및 인사관리

성과목표

창조적

1.

조직혁신 및 인사관리

성과목표

예산 연구

2.

·

관리 효율화와 청렴
연구문화 정착

성과목표

예산 연구

2.

·

관리 효율화와 청렴
연구문화 정착

성과목표

항공우주

3.

개발 성과활용을 통한
창조경제 성장동력 창출

성과목표

항공우주

3.

개발 성과활용을 통한
창조경제 성장동력 창출

성과목표

항공우주

3.

개발 성과활용을 통한
창조경제 성장동력 창출

성과목표

정부정책에

4.

부합하는 합리적
운영체제 구축

성과목표

정부정책에

4.

부합하는 합리적
운영체제 구축

성과목표

정부정책에

4.

부합하는 합리적
운영체제 구축

성과목표 5. 항공우주
전략방향 정립 및 연구
신뢰성 구축

성과목표 5. 항공우주 전
략방향 정립 및 연구 신뢰
성 구축

성과목표 5. 항공우주
전략방향 정립 및 연구
신뢰성 구축

성과목표 5. 항공우주
전략방향 정립 및 연구
신뢰성 구축


background image

30

연구부문  전략목표  및  성과목표  유형  및  비중

(2) 

❏ 전략목표  간  비중

연구부문  전략목표별  평가비중을  설정하되  배점의  총합이 

이  되도록  부여

 

100

전략목표

#1

#2

#3

#4

#5

합 계

비 중

20

25

5

40

10

100

❏ 고유임무유형  간  비중 임무  포트폴리오

(

)

기관의  중장기  비전  및  설립취지  등을  고려하여  대  임무유형별  비중 임무  포트폴리오 을  제시

5

(

)

임무유형

기초ㆍ

미래선도형

공공ㆍ

인프라형

산업화형
실용화형

(

)

합 계

비 중

6

86

8

100

❏ 사업유형별  비중

출연금  사업의  경우  기관고유연구와  출연 연 간  융합 협동연구  비중을  구분하여  제시

( ) 

사업유형

출연금 사업

수탁사업 과제

(

)

합 계

고유연구

융합 협동연구

비 중

16

4

80

100

20


background image

경영성과목표  요약

 

경영성과계획서

2015~2017 

31

❏ 항목별  배점  부여  총괄표

전략목표1

전략목표2

전략목표3

출연

수탁

출연

수탁

출연

수탁

단독

융합

단독

융합

단독

융합

기초 미래

선도형

성과목표1-1

항공핵심요소기술

개발 및

기술수준입증으로

시장 선점형

미래비행체 개발 및

실용화

(3)

성과목표1-1

항공핵심요소기술

개발 및

기술수준입증으로

시장 선점형

미래비행체 개발

및 실용화

(1)

-

-

-

-

-

-

-

공공ㆍ

인프라형

성과목표1-4

항공우주제품에 대한

제품보증 기반 구축

및 적합성

입증 시험평가기술

개발을 통한 산업체

기술 지원

(0.5)

성과목표1-5

고흥항공센터

확충을 통한

국가 항공기개발

비행시험센터

구축

(0.5)

-

성과목표1-3

시장선점형 무인기

핵심기술 개발 및

실용화

(6)

성과목표1-4
항공우주제품에

대한 제품보증

기반 구축 및

적합성

입증 시험평가기

술 개발을 통한

산업체 기술 지원

(1)

성과목표1-5

고흥항공센터

확충을 통한

국가

항공기개발

비행시험센터

구축

(6)

성과목표2-4

위성 탑재체

핵심기술 개발

(2)

성과목표2-4

위성 탑재체

핵심기술 개발

(1)

성과목표2-1

국가적 미션과
국가 우주개발

역량 향상을

위한 고해상도

다목적실용위성

개발

(3)

성과목표2-3

기상 해양 및

,

환경관측을 위한

정지궤도복합위

성의 독자적인

개발 및

핵심기술 자립화

(10)

성과목표2-4

위성 탑재체

핵심기술 개발

(3)

성과목표3-1

효율적인

위성운영을 통한

국가개발위성의

안정적인 운영

지속

(1)

성과목표3-2

위성 및 발사체

등 국가

우주자산의

안정적 운영을

위한

우주충돌감시

(1)

성과목표3-3

위성활용

증진을 위한
통합 플랫폼

구축 및 운영

(1)

성과목표3-2

위성 및 발사체

등 국가

우주자산의

안정적 운영을

위한

우주충돌감시

(1)

성과목표3-1

효율적인

위성운영을 통한

국가개발위성의

안정적인 운영

지속

(0.5)

성과목표3-2

위성 및 발사체

등 국가

우주자산의

안정적 운영을

위한

우주충돌감시

(0.5)

산업화형

실용화형

(

)

-

-

성과목표1-2

헬기개발

국책사업을 통한

헬기독자개발능력

확보 및

독자엔진개발을

위한 항공기 엔진

핵심기술 개발

(2)

성과목표2-5

위성부품 개발

경쟁력 향상

(2)

-

성과목표2-2

차세대 중형위성

개발을 통한

국내공공위성수

요 충족 및

우주산업화 촉진

(3)

성과목표2-5

위성부품 개발

경쟁력 향상

(1)

-

-

-

4

1

15

4

1

20

3

1

1

20

25

5

전략목표4

전략목표5

출연

수탁

출연

수탁

출연

수탁

단독

융합

단독

융합

단독

융합

기초 미래

선도형

-

-

-

성과목표5-2

미래 우주항공

융복합

핵심기술 개발

(1)

성과목표5-2

미래 우주항공

융복합

핵심기술 개발

(1)

6

4

2

0

공공ㆍ

인프라형

성과목표4-2

발사체 핵심기술

확보 추진

(1)

성과목표4-3

한국형발사체

발사 인프라

구축

(2)

-

성과목표4-1

한국형발사체

자력개발 추진

(37)

성과목표5-1

달 탐사선

핵심기술 확보를

통한 시험용 달

궤도선 개발

(0.5)

성과목표5-3

위성항법

핵심기술 및

응용기술 개발

(0.5)

-

성과목표5-1

달 탐사선

핵심기술 확보를

통한 시험용 달

궤도선 개발

(5)

성과목표5-3

위성항법

핵심기술 및

응용기술 개발

(2)

86

10

2

74

산업화형

실용화형

(

)

-

-

-

-

-

-

8

2

-

6

3

-

37

2

1

7

100

16

4

80

40

10


background image

32

2 .

목표  개요

 

경영부문

(1) 

성과목표

추진계획 성과지표

(

)

최종목표

성과목표 1

창조적 조직혁신

및 인사관리

조직 인사

(

복리후생)

우수인력 확보 및 양성

1-1.

- 연간 채용 예상인원

이상 우수인력으로 확보

80%

- 연구 및 지원 인력의 직무전문성 교육실적 매년

이상 확대

10%, 7%

1-2. 여성과학기술인 육성 및 고용환경

개선

- 항우연 여성인력종합지수

확대

(’14)4.4 (’17)10.2

- 자체 영유아 보율시설 신규 설립

및 운영

(’15)

1-3. 비정규직 처우 및 관리 개선

- 비정규직의 정규직 대비 동일 수준의 처우 제공
- 비정규직 비율

유지 출연연 평균목표

15%

(

26.9%)

1-4. 고유임무 달성 및 핵심기술 확보를

위한 조직구성 운영

- 국가 대형 연구개발사업의 성공적 수행에 적합한

기관 특성을 반영한 조직 개편

- 자율과 책임의 효율적 경영운영체계 확립

1-5. 개인평가 제도 개선 및 인사제도의

개방성 확대

- 개인평가시 질적지표

까지 반영

50%

- 출연 연 간 융복합연구 해외 공동연구 등 개방형

( )

,

인력교류 확대

1-6. 합리적 보수 복리후생제도 및

노사관계 정립

- 정부 공공기관 정상화 지침 준수
- 노사협의회 연 회 이상 추진

5

연구몰입 집중 환경 조성

1-7.

(

)

- 연구활동 외 행정업무 경감을 위한 실무차원의 지원
- 건강관리 선택적근무시간제 등 근무여건 개선

,

성과목표 2

예산ㆍ

연구관리

효율화와 청렴
연구문화 정착

예산 연구윤리

(

보안)

2-1. 예산 회계 업무의 투명성 및

집행의 적절성 강화

- 예결산 차이

이내 축소

±5%

- 연구비 부적정 집행 비율 0.3% 미만 축소

연구윤리 준수

2-2.

- 연구윤리 교육 강화 회

(1

2

*

및 참여율 확대

)

(35%→90% 증대

)

- 연구노트 논문 표절 방지 검증시스템 구축

,

2-3. 내부책임성 강화 및 반부패 문화 확산

- 상시 모니터링

감사시스템 운영

e-

- 협동감사인 명 감사 실시 및 청렴교육을 통한

(4 )

반부패 문화 정착

성과목표 3

항공우주개발

성과활용을 통한

창조경제

성장동력 창출

성과창출

(

활용 확산)

3-1. 연구개발 성과 관리 확산 활용

체계 고도화

- 기술이전 및 우수 특허 창출 지원 체계 강화로

연구개발 성과 향상

- 기술료 수입 총

억원 특허활용률

43.4

,

2.4% 달성

3-2. 중소기업 지원 및 창업지원 체계 강화

- 중소기업 기술 지원 체계 구축 및 운영
- 기술 지원 업무협약 체결기업

기업

38

66

기업누적기준

(

),

중소기업 해외진출 지원

기업

기업

5

12

등 기술

지원 분야 확대 및 목표치 달성

3-3. 지역 조직의 지역 산업 과학기술에의

/

기여 강화

- 지역조직의 시설 공동활용 확대
- 지자체 및 지역기관과의 협력교류 및 교육체험

프로그램 확대

3-4. 대외 공공 서비스 수준 향상 및

(

)

국가정책적 기여도 향상

- 항공우주 지식정보서비스 확대 및

개 기관

30

서비스 실시

Open-API

-

정책정보센터 및 정부 항공우주개발 계획수립

e-
지원의 질적 수준 제고

3-5. 산 학 연 협력 및 융합 협동연구

ㆍ ㆍ

강화

- 융복합연구 기획사업 신규 추진
- 융합협력연구 사업규모 확대

(63

95 )

이하 목표 상승 수치는

년도와

년도 비교 수치

*

’14

’17


background image

경영성과목표  요약

 

경영성과계획서

2015~2017 

33

성과목표

추진계획 성과지표

(

)

최종목표

성과목표 4

정부정책에

부합하는

합리적

운영체제 구축

정책분야

(

)

4-1. 국민 소통을 통한 항공우주 과학

기술 발전

- 언론홍보를 통한 국민이해 제고 연간 언론보도 건수

(

건 목표

2,000

)

- 온라인 국민 소통 체계 확대 및 컨텐츠 개발(SNS

소통지수

만명 수준으로 확대

1,700

)

4-2. 글로벌 파트너쉽 강화를 통한

전략적 국제협력 활성화

- 맞춤형 국제협력을 통한 우주협력 다변화
- 항공우주 국제사회 역할 확대를 위한 다양한 국제기구

회의 개최

(OECD Space Forum

)

4-3. 정부

비전과 가치를 반영하는

3.0

구현

KARI 3.0

-

체계확립 및 성과창출

KARI 3.0

- 행정정보 사전정보공개 확대

개 및 공공

(50

80 )

데이터 개방 확대 건

건 누적기준

(7

13 (

))

4-4. 연구시설 장비 구축 관리

효율성

제고 및 안전관리 강화

- 연구시설장비 중복구매 방지 및 공동활용 유도,

심의결과 이행여부 적극적 검증

- 등록관리 강화 및 안전관리시스템을 통한 연구원

안전지도 구축

성과목표 5

항공우주

전략방향 정립

및 연구 신뢰성

구축

자율분야

(

)

기관장

(

리더십반영)

5-1. 미래지향적 항공우주 전략방향

정립

- 세계 항공우주 발전방향을 분석을 토대로 정책방향

설정 및 관련 연구 수행

- 산 학 연 관 항공우주정책 결정자 및 수요자

ㆍ ㆍ ㆍ

니즈에 대응하여 정책연구 분야 확대

5-2. 연구개발사업 위험도 관리 및

종합점검 조정 검증 체계 강화

,

,

- 위험관리 업무체계 구축 및 운영을 통한 기관 위험관리

기능 강화 및 수행 안정화

- 연구사업 종합점검 조정 검증 강화를 위한 규정 개정

,

,

및 연구사업관리위원회 기능 강화


background image

34

연구부문

(2) 

전략목표

성과목표

최종목표

전략목표1.

항공 미래

비행체 핵심

기반기술

확보

성과목표

항공핵심요소기술 개발 및 기술수준입증으로 시장 선점형 미래비행체 개발 및 실용화

1-1.

◦ 세계적으로 개발중인 항공 핵심기술을 선도적으로

개발하고 입증을 통해 세계시장을 선점할 수 있는

미래비행체 핵심기술개발

전기동력무인기

<

>

미래비행체 핵심기술

<

>

◦ 고고도 장기체공 무인기 고고도

이상

(12km

)

상승 시연

◦ 무인기 비행성능 향상

◦ 고고도(18

운용 수소왕복엔진 설계기술

km)

해석 검증

성과목표

헬기개발 국책사업을 통한 헬기독자개발능력 확보 및 독자엔진개발을 위한 항공기

1-2.

엔진 핵심기술 개발

◦ 헬기 핵심기술 확보 및 항공기용 엔진 요소기술

및 성능시험 기술 개발

헬기

<

>

엔진 출력증대

<

>

 

냉각터빈

<

>

엔진제어장치

<

>

◦ 헬기의 주로터블레이드 자동비행

,

조종장치

능동진동 제어시스템 개발기술 확보

S/W,

◦ 엔진 출력 증대 기술

◦ 항공용 가스터빈엔진 고압터빈 냉각설계기술

및 시험평가기술 개발

◦ 항공기 가스터빈엔진

FADEC

EECU

플랫폼용 응용 소프트웨어 개발

◦ 항공기용 엔진의 고공시험 측정 정확도 향상

성과목표

시장선점형 무인기 핵심기술 개발 및 실용화

1-3.

◦ 틸트로터 무인기 시장경쟁력 확보를 위한 핵심

기술 개발

- 함상 운용능력 확보를 위한 함상이착륙 기술 개발

- 비행효율 제고를 위한 가변회전수 드라이브 및

로터 기술 개발

- 무인기 복수운용 능력 확보를 위한 편대비행기술 개발

함상이착륙 기술

<

>

편대비행 기술

<

>

년까지 함상착륙오차

수준을

2017

CEP 2m

비행시험으로 검증

년까지 가변회전수 드라이브 및 로터

2017

기술 검증용 축소모델 개발

년까지 무인기 대의 편대비행 기술을

2017

2

로 검증

HILS


background image

경영성과목표  요약

 

경영성과계획서

2015~2017 

35

전략목표

성과목표

최종목표

전략목표1.

항공 미래

비행체 핵심

기반기술

확보

성과목표

항공우주제품에 대한 제품보증 기반 구축 및 적합성입증 시험평가기술 개발을 통한

1-4.

산업체 기술 지원

◦ 국가 항공우주 제품보증 기술 기반 구축

- 항공우주산업 제품보증 기반 조성을 통한 국내개발

항공우주제품의 안전성 및 신뢰성 향상

◦ 국가 주도 항공기 개발사업에 대한 적합성입증 기술

연구

- 대형국책 개발사업의 적합성입증기술 지원

◦ 항공우주제품의 안전성 신뢰성 확보를 위한 항공

,

우주산업체 지원

- 항공우주 중소업체에 대한 설계 및 제작에 관한

기술 지원 및 교육

간접낙뢰영향시험 설비 구축

<

>

◦ 항공우주제품에 대한 제품보증 및 신뢰성

보증 기반 구축

◦ 항공우주 안전성 평가기준 및 소프트웨어

검증 기술 개발

◦ 항공전자 환경시험 기술 개발

◦ 신규 개발 항공기 및 장비품에 대한 적합성

입증기술 지원체계 구축

◦ 항공기 장비품 및 부품 주요 적합성입증기술

,

및 신뢰성평가 기술 지원

◦ 항공전자부품 관련 인증요건 교육
◦ 항공우주 품질 신뢰성 소프트웨어 검증

등 전문인력 양성

성과목표

고흥항공센터 확충을 통한 국가 항공기개발 비행시험센터 구축

1-5.

◦ 국내의 항공기 개발 지원을 담당할 시험 인프라를

구축하고 이를 통해 국내 산 학 연에 기술 지원을

ㆍ ㆍ

수행

- 항공비행시험평가 기반확충
- 항공센터운영
- 항공시험평가 설비운영
- 주 로터 블레이드 동적 밸런싱 시험

고흥항공센터

<

>

항공센터 확장계획

<

>

지상시험 인프라

<

>

고흥 훨타워

<

>

년까지 항공센터 년 비행시간을

2017

720h

달성

년 기준

을 확대

2013

550h

- 일 최대 이용 기관

개 이하로 운영

1

4

년 내 항공센터 확장 완료

2017

- 소형기 무인기 시험활주로 준공

/

◦ 대형 항공시험평가 설비 풍동 구조시험

(

,

,

엔진 시험 훨타워 가동률

이상

,

)

70%

- 국가 항공우주 비행체 시험평가 지원

기반시험설비 안정적 유지관리

년내 주로터 블레이드 세트당 훨타워

2016

1

동적 밸런싱 시험소요 시간을

단축

50%

- 현재

주에서

주로 단축

2

1

- 시험비용 절감 및 국가 개발 헬리콥터

실배치 기간 단축


background image

36

전략목표

성과목표

최종목표

전략목표2.

실용위성

성능

첨단화

성과목표

국가적 미션과 국가 우주개발 역량 향상을 위한 고해상도 다목적실용위성 개발

2-1.

◦ 적외선 채널 및 서브미터급 해상도 광학카메라를 탑재한

첨단 저궤도 지구관측위성

개발

(KOMPSAT-3A)

(’06~’15)

- 서브미터급 광학카메라 탑재한 위성 총조립 및 환경시험

완료

및 발사 예정

(’14.9.)

(’15.3.)

◦ 서브미터급 해상도 영상레이더를 탑재한 첨단 저궤도

지구관측위성

개발

(KOMPSAT-6)

(’12~’19)

- 서브미터급

탑재체 레벨에서의 능동형

탑재체

SAR

SAR

파리미터 최적화 검증

- 경량 고안전성

소재의 일체형 본체 개발

/

DFRP

정밀도의 궤도조정

개발

200m

SW

◦ 적외선 채널 및 서브미터급 해상도

광학 카메라를 탑재한 첨단 저궤도
지구관측 위성

발사

(KOMPSAT-3A)

및 초기운영 완료

◦ 서브미터급 해상도 영상레이더를

탑재한 첨단 저궤도 지구관측위성

시스템 설계 완료

(KOMPSAT-6)
및 위성본체 시작품 제작 완료

성과목표

차세대 중형위성개발을 통한 국내공공위성수요 충족 및 우주산업화 촉진

2-2.

◦ 시스템 설계

- 시스템설계검토회의(’15.10.)
- 시스템예비설계회의(’16.8.)
- 시스템상세설계회의(’17.7.)

급 표준 플랫폼 설계완료

500kg

(’15.3.~’17.7.)

급 해상도 정밀광학탑재체 설계완료

0.5m

(’15.3.~’17.7.)

◦ 저궤도위성 시스템 독자개발능력

확보

◦ 저궤도위성 본체 시스템 독자설계능력

구축 및 기술자립화 추진

급 정밀광학탑재체 독자설계

0.5m
능력 확보 및 기술자립화 추진

◦ 위성시스템 설계기술 이전을 통해

위성산업화 역량배양


background image

경영성과목표  요약

 

경영성과계획서

2015~2017 

37

전략목표

성과목표

최종목표

전략목표2.

실용위성

성능

첨단화

성과목표

기상 해양 및 환경관측을 위한 정지궤도복합위성의 독자적인 개발 및 핵심기술 자립화

2-3.

,

◦ 다양한 임무 요건 조건을 충족시킬수 있는 정지궤도

위성 표준 플랫폼 개발

◦ 시스템의 독자개발 능력 구축 및 기술자립화 추진
◦ 향상된 성능의 기상탑재체 및 우주기상 센서 개발

채널의 가시해양 탑재체 개발

13

◦ 초분광 분광해상도

환경 탑재체 개발

(

0.6nm)

◦ 정지궤도복합위성의 국내주도개발을 통한

위성 본체 비행 모델 개발 및 관련 핵심기술
자립화

◦ 독자적인 기상 및 우주기상 환경 및 해양관측

,

탑재체 개발

성과목표

위성 탑재체 핵심기술 개발

2-4.

◦ 차세대 고해상도 광학탑재체 핵심광학부품 국산화와

조립 측정 및 시험기술 확보

,

◦ 상시 재난감시 및 산불감시를 위한 비디오 및 고해

상도 정지궤도 광학탑재체 개발

◦ 위성 영상레이더 탑재체 핵심기술의 자립 및

우주분야 신산업 창출에 필요한 기술기반 확충

◦ 위성 핵심기술 우주 종합 검증시험 시스템의 안정적

운영 및 시험장비 고도화

◦ 해상도

이하 광학계

개발

0.3m

EM

◦ 해상도

급 정지궤도 고해상도 광학탑재체

20m

설계

◦ 소형 경량 영상레이더 탑재체 공학인증

모델

제작

(EQM)

◦ 위성조립 및 시험

성공적 완수

100%

해상도

급 광학계 및

<

0.5m

정지궤도위성 탑재체>

우주시험동

<

>

성과목표

위성부품 개발 경쟁력 향상

2-5.

◦ 고속 자료전송용 능동형 위성안테나 독자기술

기반구축

◦ 우주용 베어링 모듈 및 초정밀 구동 제어장치개발

◦ 정지궤도위성 규격에 부합되는

수동소자 규격도출

RF

,

성능분석 및 인증체계 기술지도

◦ 우주환경시험용 핵심장비 개발 국산화

◦ 중 대형 위성체 환경시험기술 개발

/

◦ 국내 우주산업 역량을 강화하고 저비용 고효율의

,

우주제품을 위한 제품보증 체계 구축

◦ 위상배열기법을 적용한

밴드 자료전송용

X-

안테나 기술개발 및 실용화

◦ 중형위성의 기동성 향상을 위한 제어모멘트

자이로에 적용

◦ 위성용

부품의 설계 제작 우주인증 기술

RF

/

/

국제경쟁력 확보 및 위성용 부품시장
참여기틀 마련

◦ 우주환경시험용 핵심장비 해외 도입의

동등 이상 수준으로 국산화 개발 제작 및

,

상용화

◦ 위성 환경시험기술 자립화 및 중소기업

지원 확대

◦ 우주용 부품 제품보증 표준개발 및 우주용

소재 부품 인증체계의 산업체 적용

저주파 음향소스

<

>

능동형 위성안테나

<

>


background image

38

전략목표

성과목표

최종목표

전략목표3.

위성운영 및

위성정보

서비스 향상

성과목표

효율적인 위성운영을 통한 국가개발위성의 안정적인 운영 지속

3-1.

◦ 다목적실용위성 및 천리안위성 운영

◦ 후속위성의 운영을 위한 준비작업

◦ 위성운영기술의 선진화 효율화 연구 지속

,

위성운영 지상설비

<

>

◦ 다목적실용위성

호 및

2 , 3 , 5 , 3A

천리안위성의 임무완수

◦ 후속 저궤도 및 정지궤도위성의 안정적인

임무수행

◦ 저궤도 및 정지궤도위성 운영기술 향상과

미래의 첨단위성 운영을 위한 종합적인

기술의 연구개발

성과목표

위성 및 발사체 등 국가 우주자산의 안정적 운영을 위한 우주충돌감시

3-2.

◦ 국가 우주자산 충돌위험감시시스템

* 개발을 위한

우주물체감시레이더

모델링

시뮬레이터

핵심기술 확보

◦ 우주물체감시 국제공조 및 감시장비 개발을 위한

국제협력

체결

(MOU

)

* 충돌위험감시시스템 미래부 예타 심사 추진 중인

우주물체감시시스템 개발사업 내에 포함

다목적실용위성

호 및 천리안 위성의

*

2 , 3 , 5

우주충돌감시 지속 수행

* 우주파편제거시스템 연구

과제

(NRL

)

◦ 우주물체감시레이더 시뮬레이터 개발

◦ 우주물체감시 국제 협력체계 구축

우주물체감시레이더 예

<

>

우주파편제거 시스템 개념도

<

>

* 국가 우주자산에 대한 종합적인 충돌 감시

* 우주파편제거 지상시험모델 개발

성과목표

위성정보 활용 증진을 위한 통합 플랫폼 구축 및 운영

3-3.

◦ 통합 플랫폼 개발

◦ 위성 정보 서비스

위성정보 통합 플랫폼 개념도

<

>

◦ 위성정보 통합 플랫폼 구축 및 운영

◦ 다목적실용위성 영상의 안정적 지속적 공급

,

위성정보 활용도

<

>


background image

경영성과목표  요약

 

경영성과계획서

2015~2017 

39

전략목표

성과목표

최종목표

전략목표4.

발사체

자력개발 및
인프라 확충

성과목표

한국형발사체 자력개발 추진

4-1.

톤급 실용위성을 지구저궤도

1.5

(600~800km)

투입 할 수 있는 발사체 개발 및 우주발사체 기술 확보

- 발사체 개발 기반 확충을 위한 시험설비

종 구축

10

톤급 액체엔진을 한국형발사체의 기본엔진으로

75

개발

- 액체엔진의 개발 성공여부를 확인하기 위한 시험

발사체 발사

- 기본엔진 기를 클러스터링하여 단형 발사체 개발

4

3

톤급 액체엔진 개발

75

- 액체엔진 상세설계 완료

톤급 지상용 엔진 조립 및 검증

75

◦ 시험발사체 개발 및 발사

- 발사체 상세 설계 완료
- 단형 시험발사체 개발 및 조립

2

단형 한국형발사체 개발 및 시험발사 회

3

(2 )

- 액체엔진 기를 활용한 단 엔진 클러스터링

4

1

기술 개발

- 단형 발사체 비행모델

제작 및

3

(FM)

시험발사 회

(2 )

성과목표

발사체 핵심기술 확보 추진

4-2.

◦ 우주발사체 상용화 및 실용화를 위한 발사체 구조

경량화 기술 및 성능 향상 관련 핵심 기술 개발

경량화 충격저감

음향저감 안전장전장치

<

/

> <

/

>

◦ 복합재료 링 프레임 및 결함 평가를 통하여

경량 복합소재 적용 확대 및 형상설계를
통한 파이로 충격 저감기술 확보

◦ 발사체

윈도우 및 음향 하중 저감기술

RF

및 안전장전 장치 국산화 기술 연구를 통한
발사체 성능 향상 기술

◦ 다단연소사이클 엔진 핵심 기술 개발

예연소기

<

>

예연소기 연소시험

<

>

◦ 산화제 과잉 예연소기

개발

(TDM)

◦ 기체액체 연소기

개발

(TDM)

◦ 다단연소사이클 엔진 개발 기초기술 확보

TDM

:Technology Demonstration Model,

기술 시현 모델

◦ 액체엔진 고성능화 선행기술 연구

연소기 헤드

<

>

엔진

<

>

◦ 진공추력

톤 진공비추력

초 엔진

8 ,

342

개발 기술 확보

◦ 미국의

러시아의

와 같은

Centaur,

Block D

표준형 상단스테이지 개발 시 적용가능
엔진 기술 검증

◦ 케로신 엔진의 최첨단 기술을 보유하고

있는 러시아

와 비교하여 비추력

(RD-58)

기준으로

성능확보

98%

◦ 정지궤도 위성 발사체 선행기술 연구

정지궤도 위성 발사체

<

>

년까지 한국형 정지궤도 위성 발사체의

2016
요구조건 및 개념 안 도출

년까지 한국형 정지궤도 위성 발사체

2017
개념 설계 안의 기술 분석 수행


background image

40

전략목표

성과목표

최종목표

전략목표4.

발사체

자력개발 및
인프라 확충

성과목표

한국형발사체 발사 나로우주센터 인프라 구축

4-3.

(

)

톤급 실용위성을 지구저궤도

1.5

(600~800km)

투입 할 수 있는 발사장 개발

- 한국형발사체 발사를 위한 장비 추가 구축 및 개발

해외 다운레인지 추적소 구축안

발사통제 자료처리시스템

<

( )> <

>

- 한국형발사체 발사를 위한 기 도입장비 성능개선

추적레이더

광학추적장비

<

>

<

>

◦ 해외 다운레인지 추적소 구축

급 이동형안테나 시스템

7m

◦ 발사통제 자료처리시스템 개발

- 실시간 자료처리 기능 확장

◦ 고 신뢰성 비행종단지령송신 장비 개발

명령방식 구현 보안성 증대

MHA

(

)

◦ 레인지시스템 추적레이더 광학 발사통제

(

/

/

원격자료수신 기상레이더 장비 성능개선

/

/

)

- 이중모드 동시추적 알고리즘 추적레이더

/

(

)

- 데이터 처리 시스템 감시 제어시스템

,

(TLM)

- 주파수 변조방식 송신기 광학장비

(

)

- 이중편파모드 기상레이더

(

)

전략목표

성과목표

최종목표

전략목표5.

미래

융합기술

개발 역량

확충

성과목표

달 탐사선 핵심기술 확보를 통한 시험용 달 궤도선 개발

5-1.

◦ 우주 탐사 핵심기술 및 검증 환경 개발

- 달 탐사 소요 핵심기술 개발 및 설계 검증 환경 구축

/

- 국제협력을 통한 시험용 달 궤도선 개발 주파수

,

확보 및 달 탐사 통신 시스템 핵심기술 연구

- 우주탐사용 중적외선분광기 기반기술 연구

시험용 달 궤도선

분광기 개념도

<

>

<

>

◦ 달 궤도선 독자개발에 필요한 핵심기술

이상 확보

80%

◦ 국제협력에 의한 시험용 달 궤도선 개발

파장대역 중 파장폭

범위에서

3~5

0.5

분광분해능

수준의 중적외선

(R= /

) 300

λ Δλ

분광기 지상모델 개발


background image

경영성과목표  요약

 

경영성과계획서

2015~2017 

41

전략목표

성과목표

최종목표

전략목표5.

미래

융합기술

개발 역량

확충

성과목표

미래 우주항공 융복합 핵심기술 개발

5-2.

◦ 미래 우주탐사 및 우주항공 비행체 융복합 핵심기술 개발

기반

급 초소형위성 고유모델 개발 및

IT

6U

랑데부 도킹 근접운영 핵심기술 개발

/

/

- 고성능 멀티콥터 프로펠러 복합형 드론 비행조종

/

,

컴퓨터 개발

급 초소형위성

<6U

>

랑데부 도킹 지상시험모델

<

/

>

   

멀티콥터 프로펠러 복합형 드론

<

/

>

년까지

급 초소형위성의 랑데부

2017

6U

/

도킹 근접운영을 위한 정밀 항법유도제어

/

기술 개발

급 위성의 자세 제어오차

이하

6U

3deg

◦ 고성능 멀티콥터 프로펠러 복합형 드론

/

,

비행조종컴퓨터 개발

- 내풍속도

이상

15m/s

-위치제어오차 실내 실외

/

4cm/15cm

성과목표

위성항법 핵심기술 및 응용기술 개발

5-3.

위성항법 핵심기술 및 응용기술개발

지상시스템 개발

APV-I

SBAS

※ SBAS(Satellite Based Augmentation System)

위성기반 보강항법시스템

※ APV(Approach Procedure with Vertical guidance)

수직유도 정보제공 접근절차

- 차세대 항법신호 모델연구
- 유무인기 복합항행 모델연구

중앙처리국 통합운영국 설계 및 제작

SBAS

,

- 중앙처리국 통합운영국 시스템의

,

SRR,

수행

PDR, CDR

- 중앙처리국 통합운영국 시스템 구성 장비

,

제작

◦ 운영 유지보수 시나리오 개발

/

◦ 차세대 항법신호 개념설계

◦ 유무인기 복합항행 개념설계


background image

42

3 .

주요성과  달성목표

 

고유임무유형별  투입자원

(1) 

고유임무유형

2014

2015

2016

2017

연구 사업비

백만원

(

)

비중
(%)

연구 사업비

백만원

(

)

비중
(%)

연구 사업비

백만원

(

)

비중
(%)

연구 사업비

백만원

(

)

비중
(%)

기초 미래선도형

1.

1,199

0.4

1,633

0.4

4,911

0.9

4,911

0.9

공공 인프라형

2.

288,905

96.1

398,103

96.8

527,061

93.7

479,331

90.1

산업화형 실용화형

3.

(

)

10,572

3.5

11,464

2.8

30,475

5.4

47,644

9.0

총 계(S)

300,676

100

411,200

100

562,447

100

531,886

100

기관  핵심  성과지표

(2) 

❏ 성과지표  및  지표별  목표치

성과유형

가중치

(

)

실적

목표

지표명

비중
(%)

’11

’12

’13

’14

’11~’14

평균

’15

’16

’17

과학적

성과

(10%)

표준화된

상위

IF

20%

논문비율

SCI

1)*

5

15.6%

17.6%

16.3%

19.0%

17.1%

17.6%

18.8%

20.0%

당해 연도

상위

논문수

(

IF

20% SCI

/

당해 연도 총

논문수

SCI

)

(12/77)

(13/74)

(13/80)

(16/84)

(15/85)

(16/85)

(17/85)

표준화된

상위

CI

10%

논문비율

SCI

2)*

5

-

-

2.6%

5.0%

3.8%

4.0%

4.3%

4.7%

최근 년 논문

상위

논문수

(

3

CI

10%

/

최근 년 전체

논문수

3

SCI

)

-

-

(6/231)

(12/238)

(10/249)

(11/254)

(12/255)

기술적

성과

(40%)

특허활용률

3)*

10

1.8%

1.6%

1.8%

2.2%

1.9%

2.0%

2.2%

2.4%

당해 연도 기술이전특허건수

(

/

특허등록보유 전체건수)

(6/336)

(7/435)

(11/599)

(16/742)

(16/820)

(18/830)

(20/840)

한국형발사체 개발지수4)**

30

29%

33%

41%

50%

38%

58%

66%

75%

우주임무 누적시간

5)**

P/F

개월

172

개월

203

개월

243

개월

291

개월

227

개월

347

개월

395

개월

443

경제적

성과

(25%)

연구비 대비 기술료 수입

6)*

8

0.5%

0.7%

0.2%

0.4%

0.4%

0.4%

0.4%

0.5%

기술료 수입

(

/

연구사업 직접비***)

(8.6 /

1,859 )

(14.2 /

2,014 )

(4.4 /

2,922 )

(10.5 /

2,960 )

(12.4 /

3,539 )

(14 /

3,646 )

(17 /

3,755 )

중소기업 협력지수

7)*

7

-

-

1.0

1.07

1.04

1.46

1.74

2.08

연구소기업

창업 포함 수 누적

(

)

(

)8)*

10

-

2

-

-

0.5

4

6

9

사회적

성과

(15%)

위성정보 서비스9)**

정부기관 대상 배포 영상

(

)

15

751

(84 )

5,875

(661 )

3,011

(339 )

5,764

(735 )

3,850

(455 )

4,500

(500 )

5,000

(550 )

5,500

(600 )

인프라

성과

(10%)

대형 항공시험평가

설비 가동률

10)**

10

75%

83%

68%

61%

72%

73%

75%

75%

합계

100

는 기관공통지표

는 기관자율지표

*

, **

, P/F

Pass/Fail


1)

에 등록된 항공우주 주제 분야 저널의

상위

저널에 실린

논문 수의 비율

Web of Science DB

Impact Factor

20%

SCI

2) 미반영 지표 최근

년간

항공우주 분야 인용도 상위

논문 수의 비율 평균은

기준

,

3

Web of Science DB

10%

(

’13~’14

)

특허등록보유 전체 수 대비 당해 연도에 유상 및 무상으로 기술이전된 특허건수

3)
4) 한국형발사체 개발지수

개발진척율

일정

예산

발사체 기술수준

연차평가

=

(50%)(

(25%)+

(25%)) +

(30%) +

(20%)

항우연 주관 개발 위성들 아리랑 위성 천리안 위성 의 위성정보 송수신 운영의 성공 일수 누적 기준

5)

(

,

)

(

)

연구비 대비 기술료 수입 연구생산성

기술료 수입

연구사업 직접비

6)

(

) =

/

***연구사업 직접비

결산 기준으로 정부수탁과 민간수탁 연구직접비

출연금사업 직접비 비

의 연구개발비 제외

=

+

( R&D

)

출연 연 중소중견기업

전진기지화 방안 에 제시된 지표별로 가중치를 부여하여 계산 평균은

기준

7) ‘

( )

R&D

(

’13~’14

)

연구소기업 창업 포함 은

년부터 누적된 수치

8)

(

)

2011

항우연이 정부대상으로 직접 배포한 영상 기준의 배포 건수 및 경제적 효과 추정치

9)
10) 대형 항공시험평가 설비 전기체 구조시험설비 풍동 추진시험설비 등 가동률

가동시간 연간 가동 가능시간 근로기준일 기준

(

,

,

)

=

/

(

)


background image

경영성과목표  요약

 

경영성과계획서

2015~2017 

43

경영성과계획서  부문별  분류

(3) 

❏ 연구부문  반영

투입자원

 

구분

현재수준

1)

2015

2016

2017

출연금 사업

연구사업비 백만원

(

)

48,317

41,856

43,912

45,548

인원 명

( )

190

243

198

209

수탁사업

연구사업비 백만원

(

)

201,305

369,344

518,535

486,338

인원 명

( )

430

474

538

519

개년 평균치

1) 2012~2014 3

❏ 성과  달성목표

출연금  사업

 

구분

성과유형

가중치

(

)

지표

현재수준 실적

(

)

목표

지표명

비중
(%)

2012

2013

2014

2015

2016

2017

전략
목표

1

과학

(3.7)

표준화된

상위

논문 편

IF

20% SCI

[ ]

3.7

1

0

0

1

1

1

논문 편

SCI

[ ]

P/F

9

9

13

11

11

11

기술

(40.5)

비행고도

HALE

[km]

7.0

1

5

8

12

 

 

헬기 로터 착륙접근비행 소음저감[dB]

2.3

2.0

해석

(

)

3.0

해석

(

)

 

 

항공기 내추락 해석오차 가속도

(

)[%]

3.3

±20

±10

±5

 

 

틸트로터 무인기 체공성능 향상

기준

(

TR-60

)[%]

3.7

10

15

20

 

 

추진시스템 램제트모드

RBCC

Isp[sec]

3.7

2,500

해석

(

)

2,000

시험

(

)

2,500

시험

(

)

 

 

추진 시스템 연료소모율

Hybrid

[kg/HPh] 4.2

 

0.25

해석

(

)

0.24

시험

(

)

위험장애물 탐지율[%]

4.2

 

 

90

설계

(

)

90

시험

(

)

비행체 중량감소[%]

3.7

 

 

10

15

호버링 로터 효율 증가

대비

(TR-60

)[%]

3.7

 

 

2

3

수소왕복엔진 운용고도[km]

4.7

 

설계

18(

)

 

해석

18(

)

경제

(2.3)

기술이전특허 건

[ ]

P/F

1

1

4

2

2

2

기술료 수입 억원

[

]

2.3

2.19

1.07

1.5

1.15

1.3

1.6

인프라
(53.4)

항공우주

제품의 안전성,

신뢰성 확보를
위한 항공우주

산업체지원

인증기술 및 신뢰성평가

기술 지원 건

[ ]

11.6

11

10

10

10

10

10

항공전자부품 관련

인증요건 교육 건

[ ]

1

1

1

2

2

2

항공우주 품질 신뢰성

소프트웨어 검증 등

전문인력 양성 명

[ ]

15

14

14

30

30

30

항공센터 비행시험 시간[hr]

24.4

250

550

600

650

700

720

대형 항공시험평가 설비 가동률[%]

17.4

83

68

61

73

75

75


background image

44

구분

성과유형

가중치

(

)

지표

현재수준 실적

(

)

목표

지표명

비중
(%)

2012

2013

2014

2015

2016

2017

전략
목표

2

과학

(5.5)

표준화된

상위

논문 편

IF

20% SCI

[ ]

5.5

3

0

1

1

0

1

논문 편

SCI

[ ]

P/F

6

3

4

4

4

2

기술

(63.0)

광학계 MTF[%]

7.4

33

(80%)

33

(90%)

33

(100%)

30

(80%)

30

(90%)

30

(100%)

영상레이더 지상모델[m]

11.1

2

(EM)

1

(EQM) 

탑재체 해상도

GEO

[m]

7.4

 

 

20

(80%)

20

(90%)

탑재체

GEO

MTF[%]

7.4

 

 

5

(80%)

5

(90%)

능동형 안테나 기술 공학인증 모델

[EIRP, dBW]

3.7

실험
모델

(>22)

공학
모델

(>22)

공학
인증
모델

(>22)

 

 

용 우주 베어링 모듈 및

CMG

구동제어장치 실험모델

위치제어에러

[

, deg]

3.7

0.25

설계

(

)

0.25

해석

(

)

0.25

시험

(

)

 

 

위성용 채널필터들의 삽입손실[dB]

3.7

 

1.5

해석

(

)

1.1

설계

(

)

1.1

시험

(

)

극저온 블로워 차압

[

, bar]

3.7

0.5

설계

(

)

0.5

해석

(

)

0.5

시험

(

)

 

 

저주파 음향소스 음압레벨

[

, dB]

1.9

140
설계

(

)

140
해석

(

)

140
시험

(

)

 

 

고주파 음향소스 음압레벨

[

, dB]

1.9

 

 

138

해석

(

)

138

시험

(

)

위성용 안테나 패턴 측정 기술 이득

[

, dB] 1.9

 

 

±1

±0.5

급 위성용 부품의

QM

검증 건

Screening

[ ]

3.7

 

 

5

5

시제품 제작 건

[ ]

5.5

3

2

1

경제

(16.7)

중소기업지원 건

[ ]

3.7

24

36

18

15

15

15

기술이전특허 건

[ ]

P/F

0

0

1

0

2

3

기술료 수입 억원

[

]

13.0

1.23

0.68

0.87

0.6

0.9

1

인프라
(14.8)

시험인증 건

[ ]

14.8

51

56

58

60

60

60


background image

경영성과목표  요약

 

경영성과계획서

2015~2017 

45

구분

성과유형

가중치

(

)

지표

현재수준 실적

(

)

목표

지표명

비중
(%)

2012

2013

2014

2015

2016

2017

전략
목표

3

과학

(1.5)

표준화된

상위

논문 편

IF

20% SCI

[ ]

1.5

1

2

1

1

1

1

논문 편

SCI

[ ]

P/F

10

7

7

8

8

8

기술

(25.9)

우주물체감시레이더 모델링 및

시뮬레이터 기술

달성도

TRL

8.2

 

3

4

6

호 검보정 및

3A

품질향상을 통한

향상

MTF

GSD

17.7

검보정

준비

검보정

준비

검보정

준비

검보정

수행 후,

MTF

이상

8%

영상품질

지표 완성

MTF=

15%

이상

영상품질
향상항목

정의

수행

/

GSD=

0.4m

경제

(53.0)

다목적실용위성 임무운영 성공률

27.2

95%

이상

95%

이상

95%

이상

96%

이상

97%

이상

98%

이상

위성정보 통합 플랫폼 구축을 통한

사용자 만족도

5.1

80%

이상

82%

이상

84%

이상

85%

이상

위성정보서비스

정부기관대상 배포 영상 장

(

)[ ]

16.2

5,875

3,011

5,764

4,500

5,000

5,500

기술이전특허 건

[ ]

P/F

2

0

2

2

2

2

기술료 수입 억원

[

]

3.2

1.2

0

0.1

0.43

0.6

1

연구소기업 창업 포함 수

(

)

1.3

2

0

0

2

2

3

기술

사회

&

(6.3)

위성운영기술 선진화 및 국제화 지속

6.3

위성상태
자동분석

편대비행

설계

궤도

정밀도

10cm

가상화

기술개발

호기

3

현업적용

여부

국제우주
운영대회

항우연

대전

(

)

개최여부

해외

수신소

추가운영

여부

사회

(13.3)

우주물체감시 해외기관

체결 건

MOU

[ ]

3.2

 

 

1

 

문화 확산 및 국제 협력

10.1

영상

전시회,

차터
주관

기관수행

영상

전시회 등

문화확산

행사

3

이상,

차터

ECO

수행

영상

전시회 등

문화확산

행사

4

이상,

차터

ECO

수행

영상

전시회 등

문화확산

행사

5

이상,

차터

ECO

수행


background image

46

구분

성과유형

가중치

(

)

지표

현재수준 실적

(

)

목표

지표명

비중
(%)

2012

2013

2014

2015

2016

2017

전략
목표

4

과학

(3.3)

표준화된

상위

논문 편

IF

20% SCI

[ ]

3.3

2

0

1

1

1

1

논문 편

SCI

[ ]

P/F

6

5

5

6

6

6

기술

(26.9)

파이로 분리장치 충격저감[%]

1.7

 

20

 

 

페어링 음향저감[dB]

1.7

1.8

2.8

4.8

 

 

안전장전장치

1.7

기본

성능시험

시스템

성능시험

환경 및

신뢰성

시험

 

 

복합재 프레임 경량화[%]

1.7

15

18

20

 

 

상단 로켓 엔진 고성능화

6.7

연소압

20MPa,

연소가스

700K

이하의

예연소기

제작

연소압

8MPa

연소기

제작

연소압

20MPa

예연소기-

산화제
토출압

24.6MPa

TP 10

연계 시험

연소압

20MPa

산화제

PB-

토출압

24.6MPa

연소압

TP-

8MPa

CC10

연계시험

진공환산
추력 톤

8 ,

비추력

340

기능확인용

엔진제작

정지궤도 위성발사체 개념도출[%]

6.7

 

 

40

70

시제품제작 건

[ ]

6.7

3

3

3

 

 

경제

(3.2)

기술이전특허 건

[ ]

P/F

0

1

0

1

1

1

기술료 수입 억원

[

]

3.2

0.15

0.15

0

0.38

0.4

0.5

인프라
(66.6)

한국형발사체

발사를 위한 장비

추가 구축 및 개발

해외다운레인지

추적소 구축[%]

33.3

0

5

10

30

(PDR)

60

(CDR)

80

(TRR)

발사통제 자료처리

시스템 개발[%]

0

0

0

10

규격작성

(

)

30

(PDR)

60

(CDR)

고 신뢰성 비행종단

지령송신장비 개발[%]

0

0

10

40

시제품

(

개발

완료)

60

(CDR)

80

(TRR)

한국형발사체

발사를 위한
기 도입장비

성능개선

추적레이더

성능개선[%]

33.3

0

5

20

60

(CDR)

80

(TRR)

90

(PST)

광학장비

성능개선[%]

0

10

20

30

(PDR)

60

(CDR)

90

(PST)

발사통제장비
성능개선[%]

0

5

10

20

음성전용

(

통신망

확장

구축)

40

(CT

생성기

개발

완료)

70

타이밍망

(
장비교체)

원격자료 수신장비

성능개선[%]

0

0

5

20

규격작

(

성 및

계약)

60

(CDR)

90

(PST)

기상레이더

성능개선[%]

0

0

0

20

규격작

(

성 및

계약)

60

(CDR)

100

(FAT)


background image

경영성과목표  요약

 

경영성과계획서

2015~2017 

47

수탁사업

 

구분

성과유형

가중치

(

)

지표

현재수준 실적

(

)

목표

지표명

비중
(%)

2012

2013

2014

2015

2016

2017

전략
목표

5

과학

(7.8)

표준화된

상위

논문 편

IF

20% SCI

[ ]

7.8

1

3

1

1

2

2

논문 편

SCI

[ ]

P/F

11

8

6

8

8

8

기술

(74.4)

달 궤도선 독자개발에 필요한

핵심기술 확보율[%]

27.8

50

60

70

75

80

파장분해능(R= /

)

λ Δλ

11.1

200

250

300

 

 

자세제어오차

초소형위성

[deg](

)

13.3

8

6

5

4

3

위치제어오차 실내 실외

소형 드론

(

/

)[cm](

) 11.1

35/-

10/-

5/20

4/20

4/15

내풍속도

소형 드론

[m/s](

)

11.1

 

 

12

15

경제

(17.8)

기술이전특허 건

[ ]

P/F

0

0

2

1

1

2

기술료 수입 억원

[

]

17.8

0.3

0.1

0.3

0.43

0.5

0.7

구분

성과유형

가중치

(

)

지표

현재수준 실적

(

)

목표

지표명

비중
(%)

2012

2013

2014

2015

2016

2017

전략

목표

1

과학

(1.4)

표준화된

상위

논문 편

IF

20% SCI

[ ]

1.4

0

3

3

2

2

2

논문 편

SCI

[ ]

P/F

7

12

10

11

11

11

기술

(75.8)

전진비행 최대양항비

2.1

 

 

6.0

해석

(

)

6.0

시험

(

)

동체 진동저감[%]

2.5

30

 

40

45

엔진출력증대[%]

2.1

 

10

15

 

엔진 고압터빈기술

고압터빈 입구온도

(

[ ])

2.6

1,400

해석

(

)

 

 

1,400

시험

(

)

 

엔진 제어

설계

S/W

2.5

 

 

 

Level A

엔진 고공시험기술
추력측정불확도

(

[%])

3.5

0.8

0.7

0.6

 

함상 착륙오차(CEP[m])

19.4

2.5

(HILS)

2

(HILS)

2

지상시연

(

)

2

함상시연

(

)

가변회전수 드라이브 및 로터

5.3

 

 

 

축소모델

개발

편대비행 대수 대

[ ]

5.3

 

 

 

2(HILS)

상대항법 측정정확도[CEP[m]]

10.0

0.5

차량시험

(

)

0.5

육상비행

(

)

0.5

해상비행

(

)

착륙 지점 이동속도(kt@Sea State II)

10.0

0

10

훨타워 시험기간 대당

[1

]

10.5

2

2

2

1.5

1.5

1

경제

(7.0)

기술이전특허 건

[ ]

P/F

0

0

2

1

2

2

기술료 수입 억원

[

]

7.0

6.98

0.2

1.03

1.94

2.3

2.7

인프라
(15.8)

국가 항공우주
제품보증 기술

기반 구축

항공우주 안전성

평가기준 및 소프트웨어

검증기술 개발 건

[ ]

7.9

 

1

1

1

항공전자 장비품

환경시험 건

[ ]

 

3

3

3

비행시험 시설 구축의 계획 대비 공정률[%] 7.9

2

5

12

25

50

100


background image

48

구분

성과유형

가중치

(

)

지표

현재수준 실적

(

)

목표

지표명

비중
(%)

2012

2013

2014

2015

2016

2017

전략
목표

2

과학

(4.9)

표준화된

상위

논문 편

IF

20% SCI

[ ]

4.9

2

2

1

2

3

3

논문 편

SCI

[ ]

P/F

7

12

9

11

11

13

기술

(81.5)

서브미터급(0.55m) 고해상도 광학 탑재

채널 탑재 다목적실용위성

IR

(K3A)

개발 진척율

(

)

13.9

시스템

종합준비

검토

(IRR)

(70%

시험

준비
검토

(TRR)

(80%)

선적전

검토

(PSR)

(90%)

발사,

초기
운영

(LEOP)

(100%)

 

 

서브미터급(0.5m) 고해상도 영상레이더

탑재 다목적실용위성

시스템

(K6)

설계 진척율

(

)

6.9

사업

착수

임무정의

검토

(MDR)

(5%)

시스템

설계검토

(SDR)

(20%)

예비

설계검토

(PDR)

(40%)

상세

설계검토

(CDR)

(60%)

시스템

종합준비

검토

(IRR)

(70%)

서브미터급(0.5m) 고해상도 영상레이더

탑재 다목적실용위성

본체 시작품

(K6)

제작 건

[ ]

6.9

3

급 표준플랫폼개발 진척율

500kg

(

)

3.5

시스템

설계검토

(SDR)

(20%)

예비

설계검토

(PDR)

(40%)

상세

설계검토

(CDR)

(60%)

급 정밀광학탑재체개발 진척율

0.5m

(

)

3.5

시스템

설계검토

(SDR)

(20%)

예비

설계검토

(PDR)

(40%)

상세설계

검토

(CDR)

(60%)

시작품개발 건

[ ]

3.5

9

시스템 위성본체

,

,

지상국 핵심기술

개발

진척율

GK2A

13.9

SRR

(10%)

SDR

(20%)

PDR

(40%)

CDR

(60%)

IRR

(70%)

TRR

(80%)

진척율

GK2B

SRR

(10%)

SDR

(20%)

PDR

(40%)

-

CDR

(60%)

IRR

(70%)

영상항법 정밀도

[ rad, 3 ]

μ

σ

31

30

29

28

궤도결정 정밀도[km]

<5

<4

<3

<3

기상 및 우주기상

탑재체 개발

진척율

6.9

PDR

(40%)

CDR

(60%)

TRR

(80%)

PSR

(90%)

가시대역

채널

0.4

신호대잡음비

[SNR@100%albedo]

270

270

270

270

적외채널 변조전달함수

[MTF@Nyquist

frequency]

0.22

0.22

0.22

0.22

해양탑재체 개발

진척율

6.9

PDR

(40%)

CDR

(60%)

TRR

(80%)

PSR

(90%)

복사분해능

신호대잡음비

(

)

[@250mGSD]

1,000

1,000

1,000

1,000

환경탑재체 개발

진척율

6.9

PDR

(40%)

CDR

(60%)

TRR

(80%)

PSR

(90%)

서브나노급

분광해상도[nm]

개념설계

0.6

0.6

0.6

0.6

시제품 제작 건 국산화 품목

[ ](

(H/W, S/W)) 6.9

5

27

24

17

광학계 해상도[m]@500Km

1.8

0.5

(80%)

0.5

(90%)

0.5

(100%)

0.3

(80%)

0.3

(90%)

0.3

(100%)

경제

(13.6)

산업화 예산이전 백만원

[

]

3.5

720

2,700

2,700

기술이전특허 건

[ ]

P/F

2

4

3

4

3

3

기술료 수입 억원

[

]

10.1

2.07

0.42

4.15

4.1

4.1

4.7


background image

경영성과목표  요약

 

경영성과계획서

2015~2017 

49

구분

성과유형

가중치

(

)

지표

현재수준 실적

(

)

목표

지표명

비중
(%)

2012

2013

2014

2015

2016

2017

전략
목표

3

경제

(100.0)

천리안위성 임무운영 성공률

100

95%

이상

95%

이상

95%

이상

96%

이상

97%

이상

98%

이상

우주임무 누적시간 개월

[

]

P/F

203

243

291

347

395

443

전략
목표

4

과학

(5.0)

표준화된

상위

논문 편

IF

20% SCI

[ ]

5.0

3

3

7

5

5

5

논문 편

SCI

[ ]

P/F

15

17

26

21

21

21

기술

(80.0)

한국형발사체 주요

달성도

CTE

TRL

30.0

3.24

(2)

4.45

(3)

4.79

(3)

5.48

(4)

6.09

(5)

6.61

(6)

단형 시험발사체 진척율

2

20.0

시스템

설계

예비
설계

예비
설계

톤 톤

7 ,75

엔진시험

착수

톤 톤

7 ,75

엔진시험

톤 톤

7 ,75

엔진시험

상세

설계,
PSM

조립
착수

PSM

조립

시험

/

,

조립

EM

시험

/

시험

EM

,

조립

QM

시험

/

,

조립

FM

발사

/

한국형발사체 개발지수[%]

30.0

33

41

50

58

66

75

경제

(15.0)

발사체 관련 기업육성실적[%]

10.0

85.5

88.1

83.9

83.9

83.9

83.9

기술이전특허 건

[ ]

P/F

2

3

0

3

3

3

기술료 수입 억원

[

]

5.0

0.04

1.17

2.47

3.18

3.6

4.2

전략
목표

5

과학

(2.7)

표준화된

상위

논문 편

IF

20% SCI

[ ]

2.7

0

0

1

1

1

1

논문 편

SCI

[ ]

P/F

3

7

4

5

5

5

기술

(94.6)

시험용 달 궤도선 개발 진척율

(

)

45.4

 

SRR

(10%)

PDR

(40%)

CDR

(60%)

지상시스템 설계 진척율

SBAS

(

)

16.4

SDR

(20%)

SRR

(30%)

PDR

(40%)

PDR

(60%) 

지상시스템 제작

SBAS

[%]

16.4

 

 

30

50

시제품 제작 건

[ ]

16.4

 

 

 

5

경제

(2.7)

기술이전특허 건

[ ]

P/F

0

2

2

2

2

2

기술료 수입 억원

[

]

2.7

0.05

0.6

0.1

0.23

0.3

0.6


background image

50

❏ 경영부문  반영

구분

현황

목표

성과목

추진
계획

항목

2014

2015

2016

2017

3

3-1

특허활용률[%]

2.2

2.0

2.2

2.4

3-2

중소기업 협력도 중소기업 협력지수

(

)

1.07

1.46

1.74

2.08

❏ 미반영  목표

지표

2014

2015

2016

2017

분야

유형

지표명

목표

비율1)

목표

비율

목표

비율

목표

비율

과학적

성과

논문

표준화된

상위

CI

10%

논문비율

SCI

[%]

5.0

5.0

4.0

5.0

4.3

5.0

4.7

5.0

(12

/238)

(10

/249)

(11

/254)

(12

/255)

기관 핵심 성과지표에서 제시한 해당년도 총 목표 대비 미반영 목표의 비율

1)


background image

경영성과목표  요약

 

경영성과계획서

2015~2017 

51

Ⅲ 부문별  계획


background image

background image

부문별  계획

 

경영성과계획서

2015~2017 

53

부문별  계획

1.

경영부문

 

목표체계

1) 

비전

하늘과  우주를  향한  대한민국의  꿈과  새로운  가치의  실현

경영
목표

항공우주 기술개발을 통한 항공우주 강국 실현

급 광학계 해상도 시제품 제작 및 개발

- 0.3m

(’

기준

14

, 0.7m)

한국형발사체 개발지수

달성

-

75%

(’

기준

14

, 50%)

비행고도

도달

- HALE

12km

(’

기준

14

, 8km)

국가 항공우주 인프라 구축 및 활용을 통한 미래가치 창출

발사장비 추가구축과 기존장비 성능개선 세계최고수준 대비

달성

- KSLV-

90%

위성 임무운영 성공률

수준으로 개선

-

98%

(’

기준

14

, 95%)

위성정보활용 통합플랫폼 개발 및 위성영상

장 배포

평균

-

5,500

(’11~’14

, 3,850 )

대형 항공시험평가 설비 가동률

이상 유지

기준

-

70%

(’14

, 61%)

선진 전략경영체제 구축 및

신뢰성 제고를 통한 사업성공과 파급

R&D

연구 행정 및 지원 업무의 지속적 개선을 통한 효율성 제고

-

연구위험 관리주기 단축과 종합 검증으로

신뢰성 강화

-

R&D

성과확산을 통한 기술료 수입액 증대

억원 및 중소기업 기술지원

- R&D

(’15~’17,

43.4

)

업무협약 강화 누적

개 기업

(

66

)

성과목표1

추진계획  1-1 우수인력  확보  및  양성

창조적  조직혁신 

및  인사관리

조직 인사 복리후생

(

)

공통

(

)

추진계획  1-2 여성과학기술인  육성  및  고용환경  개선
추진계획  1-3 비정규직  처우  및  관리  개선
추진계획  1-4 고유임무  달성 및  핵심기술  확보를  위한  조직구성 운영

 

추진계획  1-5 개인평가  제도  개선  및  인사제도의  개방성  확대
추진계획  1-6 합리적  보수 복리후생제도  및  노사관계  정립

추진계획  1-7 연구몰입 집중 환경  조성

(

성과목표2

추진계획  2-1 예산 회계  업무의  투명성  및  집행의  적절성  강화

예산 연구관리 

효율화와  청렴 

연구문화  정착

예산 연구윤리 보안

(

)

공통

(

)

추진계획  2-2 연구윤리  준수
추진계획  2-3 내부책임성  강화  및  반부패  문화  확산
추진계획  2-4 연구개발  보안 별도평가

(

)

성과목표3

추진계획  3-1 연구개발  성과  관리 확산 활용  체계  고도화

항공우주개발 

성과활용을  통한 

창조경제 

성장동력  창출

성과창출 활용 확산

(

)

공통

(

)

추진계획  3-2 중소기업  지원  및  창업지원  체계  강화
추진계획  3-3 지역  조직의  지역  산업 과학기술에의  기여  강화

/

추진계획  3-4 대외 공공 서비스  수준  향상  및  국가정책적  기여도  향상

(

)

추진계획  3-5 산 학 연  협력  및  융합 협동연구  강화

ㆍ ㆍ

성과목표4

추진계획  4-1 국민  소통과  항공우주  과학교육을  통한  항공우주  과학기술  발전

정부정책에 

부합하는  합리적 

운영체제  구축

정책분야

(

)

공통

(

)

추진계획  4-2 글로벌  파트너쉽  강화를  통한  전략적  국제협력  활성화
추진계획  4-3 정부 

비전과  가치를  반영하는 

구현

3.0 

KARI  3.0 

추진계획  4-4 연구시설 장비  구축 관리  효율성  제고  및  안전관리  강화

성과목표5

항공우주 

전략방향  정립  및 

연구  신뢰성  구축

기관장리더십  반영

(

)

자율

(

)

성과지표  5-1 미래지향적  항공우주  전략방향  정립
성과지표  5-2 연구개발사업  위험도  관리  및  종합점검 조정 검증  체계  강화 


background image

54

성과목표  총괄표

2) 

단위 개

(

)

성과목표

추진계획 수

창조적 조직혁신 및 인사관리

1.

조직 인사 복리후생

공통

(

) (

)

7

예산 연구관리 효율화와 청렴 연구문화 정착

2.

예산 연구윤리 보안

공통

(

) (

)

4

항공우주개발 성과활용을 통한 창조경제 성장동력 창출

3.

성과창출 활용 확산

공통

(

) (

)

5

정부정책에 부합하는 합리적 운영체제 구축

4.

정책분야

공통

(

) (

)

4

5. 항공우주 전략방향 정립 및 연구 신뢰성 구축

기관장리더십 반영

자율

(

) (

)

2

공통분야

2-1) 

성과목표

창조적 조직혁신 및 인사관리 조직 인사 복리후생 공통

1

(

)(

)

배점:

점 만점

28 /100

추진계획

배점

주요내용

우수인력 확보 및 양성

1- .

2

우수 인력 확보

우수 연구인력 전문역량 강화 교육

우수 지원인력 전문역량 강화 교육

여성과학기술인 육성 및

1- .

고용환경 개선

2

여성인력 고용환경 개선

여성 친화적 근무환경 조성

비정규직 처우 및 관리 개선

1- .

2

비정규직 처우 개선

비정규직 안정적 운영 및 관리 개선

1- .

④ 고유임무 달성 및 핵심기술 확보를 위한

조직구성 운영

3

전략집중형 조직체계 구성 운영

자율과 책임의 조직효율화

개인평가 제도 개선 및

1- .

인사제도의 개방성 확대

2

개인평가 질적지표 개발 및 비중확대

조직 부서성과 평가체계 정비

개방형 인력교류 확대

합리적 보수 복리후생 관리 운영 및

1- .

노사관계 정립

15

합리적인 보수 복리후생

총인건비 인상률 준수

화합하는 노사관계

연구몰입 집중 환경 조성

1- .

(

)

2

연구지원 전산시스템 운영

연구활동 외 행정업무 경감

건강관리 등 근무여건 개선

복무환경 개선

개 추진계획

7

28

-


background image

부문별  계획

 

경영성과계획서

2015~2017 

55

성과목표

예산 연구관리 효율화와 청렴 연구문화정착 예산 연구윤리 보안 공통

2

(

)(

)

배점:

점 만점

18 /100

추진계획

배점

주요내용

예산 회계 업무의 투명성 및 집행의

2- .

적절성 강화

8

사업계획 및 예산 안 예결산 차이 축소

( )

년 주요사업 발전계획 수립

‘16~’18

연구비 부적정 집행액 최소화

법인카드 집행 점검 강화

연구윤리 준수

2- .

2

연구윤리 실무교육 강화

연구노트 논문표절 방지 검증시스템 구축

,

2- .

③ 내부책임성 강화 및 반부패 문화 확산

3

기관 청렴도 수준 향상

감사 시스템 개선 및 상시모니터링

e-

자체감사 활동 내실화 및 감사인 전문성 제고

청렴교육을 통한 반부패 문화 정착

연구개발 보안 별도평가

2- .

(

)

5

-

개 추진계획

4

18

-

성과목표

항공우주개발 성과활용을 통한 창조경제 성장동력 창출 성과창출 활용 확산 공통

3

(

)(

)

배점:

점 만점

20 /100

추진계획

배점

주요내용

연구개발 성과 관리 확산 활용

3- .

체계 고도화

5

기술료 수입

특허활용률

중소기업 지원 및 창업지원 체계 강화

3- .

5

기술지원협약 기업지원

중소기업 해외진출 지원

창업교육 프로그램 운영

중소기업 협력도

지역 조직의 지역 산업 과학기술에의

3- .

/

기여 강화

2

비행시험시설 개방 및 공동 활용 확대

지자체 및 지역기관과의 협력교류 강화

과학기술 문화확산 및 과학인재 육성

대외 공공 서비스 수준 향상 및

3- .

(

)

국가정책적 기여도 향상

3

항공우주 지식정보 서비스 강화

정책정보센터 고도화

e-

정부 항공우주개발 계획수립 지원

산 학 연 협력 및 융합 협동연구

3- .

ㆍ ㆍ

강화

5

융합 협력연구 사업비 확대

산 학 연 협력 강화

ㆍ ㆍ

개 추진계획

5

20

-


background image

56

자율분야

2-2) 

성과목표 5 항공우주 전략방향 정립 및 연구 신뢰성 구축 자율분야

(

)

배점:

점 만점

22 /100

성과지표

배점

주요내용

5- .

① 미래지향적 항공우주 전략방향 정립

11

선도적 정책 연구 및 발전 방향에 대한 컨센서스 확보

항공우주개발의 사회적 경제적 기여 및 산업 환경 분석

한 미 우주협력 네트워크 구축 및 전략 연구

-

5- .

② 연구개발사업 위험도 관리 및

종합점검 조정 검증 체계 강화

,

,

11

위험관리체제 선진화

위험관리 운영

연구사업 종합점검 조정 검증체계 강화 위한 관련 규정

,

,

제정 개정

,

연구사업관리위원회

위원회 운영 검증 및 개선

개 성과지표

2

22

-

성과목표

정부정책에 부합하는 합리적 운영체제 구축 정책분야 공통

4

(

)(

)

배점:

점 만점

12 /100

추진계획

배점

주요내용

4- .

① 국민 소통과 과학교육을 통한

항공우주 과학기술 발전

4

언론홍보를 통한 국민 이해 제고 언론보도 건수

(

)

온라인 국민 소통 체계 확대 및 일상적 국민 소통 실현(SNS
소통지수)

미래 우수과학인재 양성 및 글로벌 항공우주 교육시스템 구축

글로벌 파트너쉽 강화를 통한 전략적

4- .

국제협력 활성화

3

항공우주 기술자립 위한 글로벌 공동연구 수행

맞춤형 국제협력을 통한 우주협력 다변화

항공우주 외교역량 강화

정부

비전과 가치를 반영하는

4- .

3.0

구현

KARI 3.0

3

구현

KARI 3.0

정보공개

공공데이터 개방 확대

연구시설 장비 구축 관리 효율성

4- .

제고 및 안전관리 강화

2

연구시설장비 심의체계 강화

연구시설장비 등록 관리 강화

연구시설 안전관리 강화

개 추진계획

4

12

-


background image

부문별  계획

 

경영성과계획서

2015~2017 

57

세부계획

3) 

성과목표  1

창조적 조직혁신 및 인사관리 조직

인사

복리후생

(

)

공통분야

기  본  방  향

개요

◦ 목적

(

) 핵심기술 확보를 통한 새로운 미래가치 창출 및 지속가능한 성장을 위한 돌파구 마련

◦ 필요성 세계적 수준의 연구성과 창출을 위한 조직 운영 혁신 및

(

)

연구 경쟁력 제고를 위한

우수인재의 전략적 확보 육성 등 인재경영 연구생산성 향상을 위한 안정적 연구여건 조성 필요

·

,

경영목표 달성 추진전략과 성과목표와의 연관성

최고역량을

(Knowledge)

보유한 우수인재의 확보와
육성을 통한 인재경영 시행

선택과

(Advancement)

집중의 기관 핵심역량 강화를

통한 기술 발전 선도

연구비 투자

(Innovation)

효율성 제고를 위한 질적 성과
제고 및 개방형 혁신 확대

추진방향

◦ 인재제일 연구원 경쟁력 강화를 위한 우수인재의 전략적 확보 양성 및 질적 요소 중심의 평가

(

)

·

체계 구축 사회적 약자 여성 비정규직 를 배려한 고용환경 개선 등 사회적 책무 이행

,

(

,

)

기관운영 분야별 연구 역량 집중 및 성과 창출을 지향하는 자율과 책임의 본부체제 조직개편

(

)

◦ 

실시 및 창조경제 구현을 위한 융합 및 산업화 조직 재정비

◦ 경영효율 신뢰와 화합의 노사관계 구축 공공기관 정상화 과제 적극 이행 및 불필요한 행정업무

(

)

,

감소 등 연구몰입도 제고를 통한 연구 생산성 향상

추진계획

성과지표 수 개

( )

우수인력 확보 및 양성

1-1

3

여성과학기술인 육성 및 고용환경 개선

1-2

2

비정규직 처우 및 관리 개선

1-3

2

1-4 고유임무 달성 및 핵심기술 확보를 위한 조직구성 운영

2

개인평가 제도 개선 및 인사제도의 개방성 확대

1-5

3

합리적 보수 복리후생제도 및 노사관계 정립

1-6

3

연구몰입 집중 환경조성

1-7

(

)

4


background image

58

추진계획  1-1

우수인력  확보  및  양성

주요내용

(1) 

필요성 연구경쟁력  제고를  위한  인력자원  확보  및  역량  확대  전략  필요

(

◦ 

– 기술력과  창조력  결합의  성과창출을  실현할  새로운  성장 개방형  인재상  마련  필요

– 우수인력의 확보 및 양성을 통해 양적성장의 한계를 극복하고 글로벌 대형성과 창출을 이룰 

수  있는  질적  인력육성정책이  필요

– 대외적 환경변화 미래성장동력 트렌드 등 에 능동적으로 대처할 수 있는 인재육성을 위한 

(

)

역량개발  프로그램  구축  필요

추진방향 채용활동  다양화  및  선진화 개인평가  제도  개선  등을  통해  내외부  수요  및 

(

◦ 

우수인력  기준에  부응한  인력  확보 양성  전략  추진

– 우수인재

적합인재

확보 위한 적극적 채용활동 및  채용시스템 마련

(Best People), 

(Right People) 

채용활동 국내외 캠퍼스 리쿠르팅 해외 캠퍼스 로드쇼 여성채용박람회 등

,

,

– 질적  평가지표  개발을  통한  우수  연구역량  인재  발굴 외부  평가위원  활용

지수 연구활동성평가 를 개발하여 정량적 명시적 실적에 편중한 인력평가 문제점 개선

Late-Bloomer

(

)

※ 우수인력 기준:계량 연구실적 전공다양성 연구활동성 평가지수를 종합적으로 판단하여 최소 개 평가항목

,

,

2

의 기준치를 충족하는 인력을 우수 연구인력으로 간주

– 전문인력

등  항공우주분야  해외  유수  연구소  임원  또는  대학  교수

(ARC  Director 

초빙 활용과  우수연구원  정년연장  제도  추진  확대를  통한  주요  연구 전략  분야의 

·

/

기술자문  및  연구능력향상  도모

– 항공우주분야  전문역량  강화  등  직무  전문성  교육  프로그램  발굴 확대

– 연구연가 창의교육 자질향상  교육  등  업무  몰입도  제고를  위한  다양한  교육훈련  실시

구분

내용

우수인력의 확보

◦ 리쿠르팅 로드쇼 참가 수시 인력

구축

,

Pool DB

◦ 질적 평가지표 개발 및 외부 평가위원 활용을 통한 우수인력 확보

단순 계량 실적

특허 이외의 연구활동성과 측정

-

(SCI,

)

연구활동성과의 질적평가를 위한 외부 평가위원 활용

-

◦ 전문인력 활용 우수연구원 정년연장 제도 확대 추진

,

전문역량 강화교육

◦ 직무 전문성 교육 프로그램 확대
◦ 연구연가 창의교육 자질향상 교육 등 교육훈련 다변화 추진

,

,

해외 연계 교육 프로그램 및 연구관리자 해외 연수 실시

KIRD

성과목표와의  부합성

(2) 

창조적  연구성과  및  혁신적  경영성과  달성에  부합하는  인재확보  및  유치

◦ 

수요자  중심의  맞춤형  교육훈련  체계  구축  및  주기적  학습  토대  마련

◦ 

국가연구개발  역량  강화를  위한  항공우주분야  전문  인재  양성

◦ 


background image

부문별  계획

 

경영성과계획서

2015~2017 

59

세부  실행계획

(3) 

연차별  목표치

항목

실적

목표

2013

2014

2015

2016

2017

우수인력 확보

우수연구인력

<

1) 채용목표 수립 운영>

14

27

15 (80%)

20 (80%)

24 (80%)

전문인력 활용

<

2)

정년연장 우수연구원 확보

,

>

명 전문인력

3 (

)

명 우수연구원

0 (

)

4

2

4 (-%)

증가

3 (50%

)

증가

5 (25%

)

증가

7 (133%

)

5 (-%)

증가

9 (28%

)

우수 연구인력
전문역량 강화

교육

연구연가

<

>

11

7

8

9

10

직무전문성 교육

<

3)>

회 실시

133

전년대비

증가

10%

전년대비

증가

10%

전년대비

증가

10%

전년대비

증가

10%

교육 만족도 및 현업 적응도 측정

<

>

미실시

미실시

점이상

80

점이상

83

점이상

87

우수 지원인력

전문역량 강화

교육

창의교육

<

4)>

2

-

1

2

2

직무전문성 교육

<

>

회 실시

41

전년대비

증가

7%

전년대비

증가

7%

전년대비

증가

7%

전년대비

증가

7%

교육 만족도 및 현업 적응도 측정

<

>

미실시

미실시

점이상

80

점이상

83

점이상

87

1) 우수연구인력 기준 연구실적

국내외 논문

특허

융복합 개방형 연구역량 전공분야의 다양성

(SCI,

,

),

(

),

Late-Bloomer 지수 연구과제 수행실적 시험 인증 수행실적 중 최소 개 이상의 평가기준 충족자로 연간

(

,

)

2

신규

이상 확보

T/O

80%

2)

등 항공우주분야 최고 수준의 연구소 임원 또는 유명 대학 교수를 초빙 활용하여

NASA, EADS, Boeiong

·

기술자문 및 정책분석 수행

3) 직무전문성 교육 교육훈련 수요의 선행조사를 통해 수요자 중심의 맞춤형 직무역량 교육을 상시적으로

시행하고 기술경영 특허 기술이전 등

연구생산성 제고교육 시스템엔지니어링 교육 등 분야로 확대 추진

(

,

),

(

)

4) 창의교육 신경영정보 습득 및 글로벌화 대처능력 제고를 위한 직무연수 프로그램

목표  도출  근거

구분

최종 목표

목표 도출근거

우수인력 확보

성과창출 및

융복합 개방형 인재,

직무전문성과 지원역량을

갖춘 인재 확보

ㅇ 연도별 예상 신규

연구인력 의

를 적용

T/O(

)

80%

(’15

: 18 , ’16

: 25 , ’17

: 30 )

ㅇ 적합인재 발굴을 위한 수요지향적 채용활동 및 시스템 구축 단계별

목표 수립

주요 연구분야별 항공 위성 발사체 정책 등 전문인력을 활용

(

,

,

,

)

,

정년연장 우수연구원 지속적 확대

우수 연구인력

전문역량 강화 교육

연구인력 및 지원인력의

직무전문성 교육실적

매년

이상 확대

15%

ㅇ 수요조사 선행실시를 통한 교육훈련비 집행 실효성 강화
ㅇ 근속

년 이상 직원 대상 창의교육제도 도입 매년 명 이상 교육

10

,

2

및 점진적 확대 추진

ㅇ 역량강화 교육

년 실적 대비

배로 확대

’14

1.3

(’14

년 교

’17

→ 

육 실시 연구인력 총

증가 지원인력

증가

33%

,

23%

)

ㅇ 직무교육에 대한 만족도 및 현업적응도 조사로 피드백을 통한 교

육의 질 향상 도모

우수 지원인력

전문역량 강화 교육


background image

60

연차별  세부계획

(4) 

구분

연도

실행계획

우수 연구인력

확보

2015

질적평가지표 개발을 위한 연구활동성 평가 기준 마련 및 시범 운영

◦ 

해외 우수과학자 초빙 및 국내 전문인력 활용 실시

◦ 

우수인재

발굴을 위한 해외리쿠르팅 지역 미주 조사 계획

(Best People)

(

)

,

◦ 

수립 및 시행

2016

질적평가지표 상시 적용 및 외부 평가위원 활용 확대

◦ 

주요 연구분야별 전문인력

◦ 

활용 및 정년연장 우수연구원 지속 확보

적합인재

발굴 관리를 위한 유효 인력

구축

(Right People)

DB

◦ 

2017

피드백을 통한 채용시스템

개선 및 활용

(DB)

◦ 

성과창출형 우수 적합인재 적기 확보

◦ 

전문인력 및 정년연장 우수연구원 활용도 제고

◦ 

우수 연구인력

전문역량 강화

교육

2015

연구연가 실시로 해외 선진 기술 습득 교두보 마련

◦ 

선행 교육훈련 수요조사 실시 연구 전문성 교육 확대 실시

,

◦ 

국가과학기술인력개발원

과 연계한 직무교육 과정 운영

(KIRD)

◦ 

직무 교육에 대한 만족도 및 현업적응도 시범 실시

◦ 

2016

연구연가의 지속적인 확대로 해외 선진 기관 협력

◦ 

연구인력 전문역량 교육 과정별 평가 실시 및 효과성 분석

◦ 

직무 교육에 대한 만족도 및 현업적응도 피드백으로 교육 재점검

◦ 

2017

연구연가 중단기 연수 등 글로벌 연구역량 심화 프로그램 확대

,

◦ 

◦  연구인력 교육훈련 운영성과 종합 분석 통한 교육 계획 및 프로그램 보완

직무 교육에 대한 만족도 및 현업 적응도 평가 정착

◦ 

우수 지원인력

전문역량 강화

교육

2015

창의교육 프로그램 개발 등 해외 연수 프로그램 운영

◦ 

지원인력 경쟁력 강화를 위한 직무 전문성 교육 실시 확대

◦ 

직무 교육에 대한 만족도 및 현업적응도 시범 실시

◦ 

2016

창의교육 프로그램 지속적인 확대로 글로벌 인재 육성

◦ 

지원인력 전문역량 교육 과정별 평가 실시 및 효과성 분석

◦ 

직무 교육에 대한 만족도 및 현업적응도 피드백으로 교육 재점검

◦ 

2017

창의교육 프로그램 운영 평가 및 성과 종합 분석 실시

◦ 

지원

◦ 

인력 교육훈련 운영성과 종합 분석 통한 교육 계획 및 프로그램 보완

직원 교육 만족도 및 현업 적응도 평가 정착

◦ 


background image

부문별  계획

 

경영성과계획서

2015~2017 

61

추진계획  1-2

여성과학기술인  육성  및  고용환경  개선

주요내용

(1) 

◦  필요성 여성과학기술인의 융 복합 역량 활용을 통해 창조적 성과를 창출해낼 수 있도록 여

(

성인력의  고용  및  근무환경  개선이  필요

항공우주분야  특성상  여성과학기술인력의  확보가  어려운  상황이나

채용 승진으로   

-

– 

이어지는  육성  목표를  수립하고  여성과학기술인력의  고용환경을  제고하고자  함 

– 육아  등  주변  여건으로  역량발휘  기회가  낮았던  여성인력에게  활동성이  강화되도록 

일 가정  양립문화를  확산시키고자  함

추진방향 여성인력관리  종합지표  운영을  통한  고용개선현황  점검  실시 여성  친화적 

(

◦ 

근무환경  조성을  위한  제도  개선  및  보육시설  구축

– 여성과학기술인  채용목표를 설정하고  여성인력관리를  위한 종합지수를  개발하여 고용

개선현황을  주기적으로  점검하고자  함

※ 여성인력 종합지수

여성 채용 비율 여성 관리자 비율을 종합적으로

(KARI Women Index; KWI)

,

지표화하여 여성인력 고용환경 개선정도를 파악할 수 있도록 함

– 일 가정  양립을  위한 적극적  제도 개선과 자체  영유아보육 시설  운영

년  초까지 

(2016

개원 을  통해  안정적  근무환경을  조성하고  양성평등  문화가  확산되도록  노력

)

구분

내용

여성 고용환경 개선

◦ 여성인력 종합지수 운영을 통한 고용환경 수시점검

여성 채용 승진기회 확대

-

,

여성 친화적 근무환경 조성

◦ 여성인력의 안정적 근무환경 조성을 위한 제도 개선 및 지원

일 가정 양립을 위한 제도 수립 및 운영

-

자녀 보육시설 건립 및 지원

-

성과목표와의  부합성

(2) 

우수한  여성과학기술인  확보 여성인력  고용환경  개선으로  기관의  미래  경쟁력  확보

◦ 

여성인력의  양육부담  감소  및  연구  몰입  인프라  구축을  통해  일 가정  양립  문화  강화

◦ 


background image

62

세부  실행계획

(3) 

❏ 연차별  목표치

항목

실적

목표

2013

2014

2015

2016

2017

여성인력

고용환경 개선

여성과학기술인 채용

<

>

3

2

3 (15%)

4 (15%)

5 (15%)

여성인력 종합지수

향상

<

KWI

1)>

14.3

감소

4.4(69%

)

증가

5.7(29%

)

증가

8.4(48%

)

증가

10.2(21%

)

여성 친화적

근무환경 조성

일 가정 양립을 위한 제도개선

<

>

2)

법적 최소요건의

일 가정 양립 제도 운영

제도개선

2

제도개선

2

제도개선

2

영유아보육 시설 설립 및 운영

<

>

계획수립 및 확정

착공(’14.11)

준공(’15.9)

개원

운영 원아

명 이상

(’16.3),

(

80

)

1)

여성 채용 비율

KWI(KARI Women Index)

(

여성 책임급 비율

+

) × 100

여성인력의 채용 승진 비율을 지수로 편성하여 목표 추진 및 종합관리

-

모성보호 여성인력을 위한 법적 요건 이상의 제도수립 및 개선을 끊임없이 추진 매년 건 이상

2)

,

(

2

)

❏ 목표  도출  근거

구분

최종 목표

목표 도출근거

여성인력

고용환경 개선

여성과학기술인 채용확대

◦ 연도별 예상 신규

연구인력 의

적용

T/O(

)

15%

(’15

: 18 , ’16

: 25 , ’17

: 30 )

여성과학기술인 지원센터 채용활동 지원사업 참여로 목표달성

,

이상 달성

KWI 1.2

◦ 전체직원 중 약

가 여성인력

명 으로 여성

10%

(76 /787 )

책임급 및 채용 비율을 지속적으로 확대

여성 친화적

근무환경 조성

일 가정 양립 지향의 제도

개선, 자체 보육시설 운영

제도 수립 및 개선을 통한 일 가정 양립을 위한 문화 조성하고

여성인력의 안정적 근무환경 마련
영유아 보육법에 의거하여 보육시설 운영


background image

부문별  계획

 

경영성과계획서

2015~2017 

63

연차별  세부계획

(4) 

구분

연도

실행계획

여성인력

고용환경 개선

2015

◦ 여성인력 종합지수 적용 및 홍보

- 여성과학기술인 담당관제 확대 운영 명

(2

4 )

- 담당관이 채용 승진 등에서 위원으로 적극적인 역할

,

여성채용박람회 리쿠르팅을 통한 여성과학기술인 채용자원 확보

,

2016

◦ 여성인력 종합지수 고도화

년 결과를 분석하고 피드백을 통해 보완

2014~2015

◦ 종합지수

와 여성과학기술인 채용 승진의 시너지 창출 전략 수립

(KWI)

2017

◦ 여성인력 종합지수 정착

- 최근

개년 실적 검토 및 향후 계획 수립

3

◦ 여성과학기술인 채용 목표 달성 및 안정적 인력수급 확보

여성 친화적

근무환경 조성

2015

일 가정 양립을 위한 제도 수립 및 운영

- 육아기 휴직 및 근로시간 단축 기간 확대 실시 년

(1

3 )

◦ 보육시설 준공에 따른 제도 마련 및 개선

2016

◦ 일 가정 양립 직장운영을 위한 외부 컨설팅 의뢰 및 진단 실시

여성 인력을 위한 제도 행사 가족의 날 운영 등 시행

,

(

)

◦ 보육시설 본격 운영 월평균

명이상의 아동 보육

(

50

)

2017

◦ 상시 피드백을 통한 보내고 싶은

맡기고 싶은 보육시설 확립

”, “

여성의 경력단절 방지를 위한 제도 점검 및 개선

여성과학기술인 지원센터 사업 등 검토 및 시행


background image

64

추진계획  1-3

비정규직  처우  및  관리  개선

주요내용

(1) 

◦  필요성 사회적  약자  배려를  위한  고용환경  개선  및  사기진작을  통한  활용

(

효용성  제고

– 상대적으로  사회적  약자에  속하는  비정규직  인력의  처우와  근무조건을  개선하여  업무 

동기를  부여하고  역량확대의  기회를  제공할  필요성  대두

우수  인력  육성책을  강화하고  효율적인  관리개선  방안을  마련하고자  함

– 

추진방향 비정규직의  처우를  정규직  대비  동일  수준으로  유지 확대하고  비정규직  인력의 

(

◦ 

단계적  축소  및  정규직  채용으로  안정적  고용환경  제공

– 비정규직의  급여  및  평가보상은 

년부터  정규직  대비 동등처우를  제공 보장하고  있으며

’08

향후  금전적  처우뿐만  아니라  교육기회  확대  등  복리후생  측면까지도  개선하고자  함

년 미래창조과학부 비정규직 종합감사 당시 출연연 유일하게 지적사항이 없었으며

년 비정규직 관리

’13

, ’14

우수기관으로 장관 표창을 수상

하는 등 전반적인 비정규직 관리에 우수성을 인정받고 있음

(’15.2.5.)

이내로  비정규직  인원을  관리하고 출연연  평균  목표 

우수  비정규직에게 

15% 

(

26.9%) 

정규직  전환기회를  부여하여  안정적  고용환경을  제공하고자  함

개 출연연 중 비정규직 인원 목표 비율을

이내로 제시한 기관은

개 기관에 불과할 정도로

25

15%

3

현재까지 비정규직 인력관리를 엄격히 수행하였고 향후에도 우수한 수준을 지속적으로 유지할 계획임

구분

내용

비정규직 처우개선

◦ 정규직 대비 동등 처우 보장

급여 복리후생 등 동일 처우 수준 유지 및 확대

-

,

비정규직 안정적 운영 및

관리 개선

◦ 비정규직 최소화 운영 정규직 전환 지속

,

미래창조 핵심인재 우수 중견연구자 확보

-

(

)

성과목표와의  부합성

(2) 

비정규직 처우 개선 보장을 통한 활용효용성 제고를 통해 연구원 경쟁력을 강화하고 건강한 

◦ 

고용환경을  조성

비정규직  인력  최소화 정규직  대체를  통하여  공공기관의  사회적  책무  이행

◦ 


background image

부문별  계획

 

경영성과계획서

2015~2017 

65

세부  실행계획

(3) 

❏ 연차별  목표치

항목

실적

목표

2013

2014

2015

2016

2017

비정규직 처우

개선

정규직 대비 처우 수준

<

>

1)

100%

100%

100%

100%

100%

연수개념의 비정규직 활용제도 도입

<

>

2)

-

-

제도 수립

2

5

비정규직

안정적 운영 및

관리 개선

관리제를 통한 비정규직 비율 감소 운용

<T/O

3)>

11.4%

12.2%

이내 유지

15%

이내 유지

15%

이내 유지

15%

우수 비정규직의 정원내 인력 전환

<

4)>

3

3

3

-

-

우수 비정규직의 정규직 채용

<

>

신규인원의 10%

9%

이상

10%

이상

10%

이상 유지

10%

비정규직 인력관리 우수기관 미래창조과학부 표창 으로 선정되었으며

년도부터 비정규직의 정규직 대비

1)

(

)

, ‘08

의 임금을 지급하고 있으며 복리후생 인사제도 전반에 있어 정규직과 동일 처우를 보장하고 있음

100%

,

,

.

향후 교육기회 확대 등 비가시적인 후생 측면까지 개선하고자 함

,

기존 비정규직의 처우 개선은 고용계약의 반대급부인 양적 처우에 국한되는 차원만 고려하였으나 연구능력

2)

,

향상 및 자기계발을 위해 최소 주당 시간 이상의 연수 기회를 부여하는 연수연구원 제도

4

개 출연연의 비정규직 평균 목표비율은

개 기관 중 개 기관만이

이하로 목표 제시

3) 25

26.9%

25

3

15%

우수 비정규직의 정규직 전환 기획재정부로부터 정규직 신규 정원 외로 명의 전환

무기계약직전환 명

4)

9

T/O(

3 ,

정규직전환 명 를 승인 받아

년 상반기까지 순차적으로 전환 실시

6 )

2015

❏ 목표  도출  근거

구분

최종 목표

목표 도출근거

비정규직 처우

개선

정규직 동일 수준의 처우

◦ 미래창조과학부의 정부출연 연 비정규직 고용개선 조치계획에

( )

따라 정규직 대비 동일 수준의 급여 및 복리후생 제공

연수개념의 비정규직

활용제도 도입

제도 도입 연수 인프라 구축

연차별 활용 인력 점진적

,

(’15 ),

확대

(’16, ’17 )

비정규직 안정적

운영 및 관리

개선

전체인원의

이내

15%

◦ 미래창조과학부의 비정규직 고용개선 조치계획에 따라

’17

전체인원의

이내로 운영

15%

우수 비정규직의 정규직 전환 ◦ 정규직 신규증원 외 별도 승인

명 에 의거 정원내 전환 실시

T/O(9 )

신규채용의

이상

10%

◦ 정규직 전환계획 정부 승인

에 의거 목표산출

T/O

최근 년 신규

대비 전환

비율 약

명중 명

(

2

T/O

T/O

10%, 57

6 )


background image

66

연차별  세부계획

(4) 

구분

연도

실행계획

비정규직 처우

개선

2015

◦ 정규직 대비 동일 처우 유지

연수연구원 제도 규정 마련

2016

◦ 정규직 대비 동일 처우 유지

비정규직 처우 개선사항 조사 및 발굴

시범 운영 명 및 제도 개선사항 분석

(2 )

2017

◦ 정규직 대비 동일 처우 유지

비정규직 처우 개선사항 추진 계획 수립

인력 운영 확대 본부급 조직별

명씩 활용

(

1

)

비정규직 안정적

운영 및 관리 개선

2015

◦ 채용시 최고 부서별 사업 규모 및 진척도 인력현황 등을 종합적으로 고려하여

,

단계적 인원 축소

◦ 비정규직 우수인력의 정규직 전환 명 및 채용인원 적기 확보

(3 )

◦ 비정규직 우수인력 확보를 위한 채용전략 확립

- 우수인력기준 인재상 을 비정규직 채용 전략에 수립하여 융복합형 성과창출형

(

)

,

인재발굴을 위한 단초 확보

2016

◦ 우수인력의 정규직 채용을 통한 인력고도화와 비정규직 총원 감소 동시 추진

- 비정규직 내 우수인력의 발굴 및 확보를 전제조건으로 시행

비정규직 우수도 평가를 통한 우수인력

구축

DB

◦ 비정규직 우수인력의 정규직 채용인원 적기 확보

2017

◦ 연중

년도 의 비정규직 관리시스템 및 인력현황 분석과 피드백을

(’14~’16

)

통한 전사적인 개선을 실시하고 결과를 점검

◦ 비정규직 우수인력의 정규직 채용인원 적기 확보
◦ 원내 비정규직

원외 우수인력

의 연계를 통한

방식의 채용

(

),

DB

Two-track

시스템 운용


background image

부문별  계획

 

경영성과계획서

2015~2017 

67

추진계획  1-4

고유임무  달성 및  핵심기술  확보를  위한  조직구성 운영

 

주요내용

(1) 

◦ 필요성 국가  유일의  항공우주  전문  연구기관으로서  발사체 인공위성 항공기  등  국책 

(

연구개발  사업의  성공적  완수를  위해  임무중심의  효율적  조직체계  설계  필요

– 국정과제 창조경제 구현 및 출연 연 고유임무 재정립 등 정부 정책에 부응하고 목표과제를 

( ) 

효과적으로  달성하기  위한  조직구성 운영  필요

※ 우주기술 자립으로 우주강국 실현 국정과제

발사체 인공위성 달 탐사 등 최첨단 집약기술인 우주

(

13 )

,

,

기술의 자립을 통해 안전하고 행복한 국민의 삶 구현

– 우주개발중장기계획

항공산업발전기본계획

등  국가  항공우주개발  중장기 

(’14~’40), 

(’10~’19) 

로드맵에  부합되는  조직체계  구축

– 임무중심의  조직운영  효율성과  신속한  의사결정을  위한  조직  슬림화  및  권한위임

– 각 전문분야에 권한과 책임을 부여하여 업무추진에 대한 자율성 및 책임성을 높이고 이를 

통해  현안사항에  대한  자발적이고  창의적인  대응  및  해결

– 외부 전문경영컨설팅기관에 조직진단을 의뢰하여 객관적 현안인식 전략이슈 도출 및 반영 

◦ 추진방향 기관 고유임무의 성공적 수행 및 항공우주분야 연구역량 강화를 위해 전략집중

(

/

성과지향적 조직체계를 구축하며 대내외 환경변화를 주시하고 능동적으로 대응 목표달성을 

위한  임무중심  조직  구성 운영

구분

내용

전략집중형

조직체계

구성 운영

·

◦ 항공우주분야 중장기 계획 및 출연 연 고유임무 재정립에 따라 연구분야별 세부

( )

전략방향 수립 및 체계적인 조직개편 실시

◦ 분야별 본부체제 도입으로 성과책임 명확화 및 사업운영의 자율성과 효율성 증대
◦ 정부의 창조경제 및 우주산업 육성정책에 따라 기술사업화 및 수출지원 조직 강화

자율과 책임 중심의

조직효율화

◦ 자율과 책임의 균형 하에 부서에 대한 자율성을 확보하고 뚜렷한 의무와 책임을

부여한 책임경영체계 구축

및 원내 위원회 활성화를 통한 조직유연성 제고

TF

◦ 효율적인 조직운영을 위한 조직 슬림화 및 지속적인 권한위임 확대

성과목표와의  부합성

(2) 

◦ 국가에서  부여한  대형  연구개발사업을  성공적으로  달성하기  위한  창조적  조직혁신  및  기관 

특성을  반영한  전략적  조직개편  시행


background image

68

세부  실행계획

(3) 

❏ 연차별  목표치

항목

실적

목표

2013

2014

2015

2016

2017

전략집중형

조직체계

구성 운영

·

◦ 발사체조직 단일화

- 나로호 발사 이후 발사체조직

재정비

◦ 창조경제 구현을 위한 조직

정비 융복합 연구조직 및 기술

(

사업화 조직 강화)

◦ 효율적 조직운영을 위해 항공

위성분야 조직 재정비

/

◦ 외부 조직진단 실시 및 반영

◦ 현안에 대한 각종

나로호

TF(

발사 종합점검위원회 등 운영

)

◦ 본부체제 도입

연구분야 항공

-

(

,

위성 융합

,

)

경영분야 미래

-

(

전략 경영지원

,

)

◦ 조직 신설 개

(2 )

차세대중형위성

-

사업

SBAS

전담부서 신설

◦ 개편 및 신설조직

안정화

대내외 의견수렴

-

및 개선사항 도출

조직진단

(

)

◦ 본부 부서 별

(

)

성과목표 제시
및 성과점검

대내외 환경 및

조직성과 분석

조직개편시 반영

-

◦ 본부 부서 별

(

)

개년 성과목표

3
최종점검

자율과 책임

중심의

조직효율화

◦ 조직슬림화

조직개편 부서수

-

(

축소

10%

)

◦ 권한위임 확대

본부장 부장 등

-

,

전결사항 확대

(15 )

◦ 위성영상 등

수출지원

신설

TF

조직활성화

-

및 원내 위원회

TF

적극 활용 확대

위원회 신설

(TF,

)

◦ 권한위임 확대

본부장 부장 등

-

,

전결사항 확대

(10 )

조직운영에 대한

대내외 의견수렴
및 개선사항을

조직개편시 반영

❏ 목표  도출  근거

구분

최종 목표

목표 도출근거

전략집중형

조직체계

구성 운영

·

전략적 조직운영을

통한 기관 고유임무

달성

◦ 기관장 기관운영 및 혁신에 대한 의지를 반영한 조직 구성 운영

◦ 정부 국정과제 우주개발중장기계획 항공산업발전기본계획 등 항공

,

,

우주개발 분야 단계별 추진전략에 따른 조직 운영

◦ 출연 연 고유임무 재정립에 따른 분야별 세부 추진방향

( )

◦ 우주기술 산업화 전략에 따라 성과확산 및 수출분야 조직 강화

자율과 책임

중심의

조직효율화

효율적인 조직체계

확립

◦ 중장기 발전을 견인하고 지속가능한 조직성장을 위해서는 자율과

책임이 기반이 되는 효율적 조직체계 필요

◦ 현안문제에 대한 자발적이고 창의적인 대응 및 해결을 위해 권한과

책임을 동시에 부여


background image

부문별  계획

 

경영성과계획서

2015~2017 

69

연차별  세부계획

(4) 

구분

연도

실행계획

전략집중형

조직체계

구성 운영

·

2015

◦ 연구분야별 항공 위성 융합 본부체제 도입

(

/

/

)

- 임무중심의 조직역량 결집을 위한 본부 조직화

◦ 경영분야 미래전략 경영지원 본부체제 도입

(

/

)

- 중장기 발전 전략수립 및 체계적 행정체계 구축을 위한 본부 조직화

◦ 신규 연구사업 착수에 따른 조직 신설

- 차세대중형위성 개발전담부서 신설

- 초정밀

보정시스템 개발 구축을 위한

사업단 신설

GPS

SBAS

◦ 안전 재난 보안분야 전담부서 신설

2016

◦ 개편 및 신설된 조직의 성공적 안착을 위해 조직 안정화

- 연구사업 종료 현안 발생 등 특이소요를 제외하고는 조직운영체계 유지

,

- 대내외 의견수렴 및 개선사항 도출 조직진단

(

)

◦ 본부 부서 별 직무성과계약 체결을 통한 단위조직의 성과목표 제시 및

(

)

성과점검

- 조직임무 및 특성을 반영한 본부 부서 별 성과목표 설정

(

)

- 성과목표에 대한 평가를 통해 조직성과 점검 및 차기 조직개편시 반영

2017

◦ 대내외 경영환경 및 조직성과에 대한 분석 점검내용을 조직개편시 반영

·

◦ 본부 부서 별

개년 성과목표 최종점검

(

)

3

자율과 책임

중심의 조직효율화

2015

◦ 조직운영 효율성 제고를 위한 조직슬림화

- 조직개편 부서수

축소

(

10%

)

◦ 자율과 책임의 경영체계 구축을 위해 지속적인 권한 위임 실시

본부장 부장 등 전결사항 확대

,

(15 )

◦ 수출지원

신설

TF

정부 창조경제정책에 부응하고 위성영상 등 산업화 수출 활성화를 위해

(

)

수출지원

구성

TF

2016

조직활성화

-현안 이슈에 대해 신속하고 적극적 대응을 위한 각종

및 위원회 구성 및 운영

TF

◦ 자율과 책임의 경영체계 구축을 위해 지속적인 권한 위임 실시

본부장 부장 등 전결사항 확대

,

(10 )

2017

조직운영에 대한 대내외 의견수렴 및 개선사항을 조직개편시 반영


background image

70

추진계획  1-5

개인평가제도  개선  및  인사제도의  개방성  확대

주요내용

(1) 

◦ 필요성 질적요소 중심의 개인평가제도 운영으로 외형적 연구성과 거품 최소화 융합연구에 

(

적합한  성과측정  시스템  구축  및  인력교류  활성화  추진  필요

인사평가  평점별  분포도 

년도  평가

    - 

('14

)

A

B

C

D

E

부서평가

5.7%

45.1%

38.5%

10.7%

0%

개인평가

10.5%

23.8%

43.2%

17.1%

5.4%

– 내실있는  성과평가로  선도형  기술개발에  대한  연구동기를  부여하고  융 복합  활성화에 

걸맞는  평가유연성을  확보하여  개방형  협력체계  구축에  기여하고자  함

◦ 추진방향

(

)  질적  성과  측정비중을  확대하고  인력교류  활성화에  적극  참여

– 개인 부서평가의  성과평가  지표에  질적  평가지표를  추가 점진적으로  적용  확대

– 기존의  목표  대비  실적  평가방식을  개선 융 복합  연구에  걸맞는  평가유연성  확보

※ 특허 질적 지표 국외특허 등록 가중치 증가 개인평가 사항

특허활용률

(

),

주) 조직성과 부분

(

)

주 특허활용률 당해 연도 기술이전특허건수

특허등록보유건수

)

/

※ 기술이전 질적 지표 기술이전 계약금액별 가중치 차등 적용 부서 평가사항

(

)

– 질적지표  도입을  통한  고성과자와  저성과자간의  인사평가  등급  및  분포도에  차별성  부여

– 대형 융 복합 기획연구 등을 통한 인력교류 활성화 프로그램 운영 개방형 인력교류 체계 정립

※ 한국형발사체개발사업 등 대형 국가연구개발사업의 연구책임자 및 사무국장을 공모한 바 있으며 향후에도

,

항공우주분야 전문 고경력 보유인력을 대상으로 개방형 인사채용을 노력할 예정임

구분

내용

성과평가의 질적요소 확대

논문의 계량적 성과측정 한계점 개선 및 질적평가 도입 확대

SCI,

상위

이상 논문 가중치 적용 특허활용률 지표 도입

IF

20%

,

융 복합 연구활성화 추진을

위한 인력교류 확대

◦ 융 복합 연구활성화 추진을 위한 개방형 인력교류 확대

- 항공우주관련 출연 연 융합연구 인력교류를 위한 제도 구축

( )

- 출연 연 간 융 복합 연구인력 교류 추진

( )

- 산 학 연 인력교류 및 글로벌 선진기관 인력교류 확대

ㆍ ㆍ

선진기관 및 타 연구기관에서의 기술습득 및 항공우주관련 산업체에 기술이전 등

(

)

성과목표와의  부합성

(2) 

◦ 기존 평가시스템에  질적 성과 지표를  추가하여  연구 창의성과 질적  향상을 높이는 방향으로 

연구역량을  유도하여  연구원의  인적  역량을  극대화하고자  함

◦ 실질적인  인력교류  확대를  위한  교류기관간  협력증진  및  융합연구  수행에  따른  우수 

연구성과  창출


background image

부문별  계획

 

경영성과계획서

2015~2017 

71

세부  실행계획

(3) 

❏ 연차별  목표치

항목

실적

목표

2013

2014

2015

2016

2017

개인평가 질적지표

개발 및 비중확대

성과측정 평가비중 내 질적 평가지표 도입

<

1)>

성과평가,

연구활동평가

비율로 실시

50:50

질적성과

측정지표 개발

반영

10%

반영

30%

반영

50%

조직 부서성과

평가체계 정비

연구조직 질적 지표 도입

<

2)>

정량적 평가와

업무목표

구분하여 실시

질적성과

측정지표 개발

반영

10%

반영

30%

반영

50%

개방형 인력교류

확대

3)

출연 연 간 융 복합 연구 인력교류

<

( )

>

-

인력 제도 구축

3

4

5

산 학 연 협력 인력교류

항공우주 관련 산업체에 기술이전

<

-

>

ㆍ ㆍ

51

46

49

51

53

글로벌 선진기관과의 공동연구 인력교류

항공우주 선진기술 확보

<

-

>

26

29

30

32

35

1) 개인평가 질적 지표 개발 논문 기술료 연구생산성 등 에 있어 정량적인 부분에 질적 부분을 추가하여

(

,

,

)

평가함으로써 연구역량의 질적 부분을 기존보다 더 향상시키고 질적지표 도입을 통하여 성과중심의 인사 평가

,

가 평점 분포도에 반영 되도록 함

년도 질적성과 측정지표를 개발하고

년도에는 논문 특허 기술료 등에 대하여 질적지표

반영

2014

2015

,

,

10%

2) 연구조직 부서성과 기관발전 기여도 등 의 평가체계를 정비하여 점진적으로 연구원 목표의 질적 우수성을

(

)

강화하고자 함

년도 질적성과 측정지표를 개발하고

년도에는 논문 특허 기술료 등에 대하여 질적지표

반영

2014

2015

,

,

10%

3) 인력교류 공동연구 파견 겸직 연가 등 관련 인센티브 제공 인사평가 우대 등 실질적인 인력교류 지원체계를

(

,

,

,

)

,

구축하고 미래선도기술 개발 및 국가사회적 현안 해결을 위해 출연 연 또는 유관 공공기관 인력교류

,

( )

확대 출연연 융합연구단 구성 등

연구 전문성 확보와 효율적인 사업수행을 위해 대형 국가연구개발사업의

(

).

사무국장 등 전문 고경력 인사채용에 대한 개방형 공모를 추진하고자 함


background image

72

❏ 목표  도출  근거

구분

최종 목표

목표 도출근거

개인평가 질적지표

개발 및 비중확대

질적 지표를 추가한 정량적

평가를 체계 구축

◦ 연구성과의 질적 평가 비중을 단계적으로 확대
◦ 개인 평가 지표 내 정량적 평가의

까지 점진적 비중 확대

,

50%

◦ 질적지표 도입을 통하여 성과중심의 결과가 평점 분포도에 반영

조직 부서성과

평가체계 정비

연구조직 질적 지표 개발을

추가한 정량적 평가 체계

구축

◦ 조직 부서 성과 지표 내 정량적 평가 지표에 질적 지표를

,

50%

비율까지 반영 추진

◦ 부서 성과의 질적 우수성 및 기타 기관성과의 질적 부분을

고려하여 질적 지표 개발 및 확대 추진

개방형 인력교류

확대

출연 연 간 융 복합연구

( )

인력교류 참가인원 확대

매년

(

명 이상 선발 및

3

점진적 확대 운영)

◦ 국가과학기술연구회 주도로 출연 연

융합연구단을 구성하여

( )

대형 융합연구과제 지원키로 함

◦ 인력교류 지침

및 융합연구단 운영규칙

(’14.3.21.)

(’14.12.)

제정하여 연구회 및 연구기관간 인력교류 추진

◦ 민군기술협력사업 촉진법 시행

을 통한

와의 협력기반

(’14.2.7.)

ADD

마련

산 학 연 협력을 위해

ㆍ ㆍ

유관기관 인력교류

실시 연평균

이상

(

5%

참가인원 확대)

◦ 우주산업 육성을 위해 인공위성 및 위성활용 기술의 산업화

강화 등 산 학 연 협력 및 인력교류 확대방안 추진

ㆍ ㆍ

◦ 파견자 인센티브 제공

인사평가 우대 등 인력교류 대상

,

연구자에 대한 지원체계 구축

기술자립을 위한 해외

공동연구개발 및 글로벌

인적네트워크 확대

◦ 달 탐사 발사체 기술 등 첨단 전략기술 확보 및 기술자립을 위해

,

해외 선진기관

등 과의 중점 협력 추진

(NASA, ESA

)

◦ 글로벌 네트워크 확대를 위해 협력선 다변화 인적교류 지속 추진

,

연차별  세부계획

(4) 

구분

연도

실행계획

개인평가 질적지표

개발 및 비중확대

2015

◦ 연구 정량적 평가 지표에

질적 지표 성과를 반영하여 실시

10%

2016

◦ 연구 정량적 평가 지표에

질적 지표 성과를 반영하여 실시

30%

2017

◦ 연구 정량적 평가 지표에

질적 지표 성과를 반영하여 실시

50%

조직 부서성과

평가체계 정비

2015

◦ 연구 정량적 평가 지표에

질적 지표 성과를 반영하여 실시

10%

2016

◦ 연구 정량적 평가 지표에

질적 지표 성과를 반영하여 실시

30%

2017

◦ 연구 정량적 평가 지표에

질적 지표 성과를 반영하여 실시

50%

개방형

인력교류 확대

2015

◦ 출연 연 융합연구 계획을 기반으로 중단기 인력교류 플랜 구축

( )

◦ 파견자 인사평가 우대 등 인력교류 대상자에 대한 실질적인 지원체계 구축
◦ 미국 우주정책연구 및 협력 네트워크 구축을 위한 현지사무소 개설 및 인력파견

2016

◦ 출연 연 융 복합 연구 활성화에 따른 인력교류 미비점 및 개선점 검토

( )

◦ 파견 복귀자 면담 및 만족도 조사를 통한 지속적인 제도개선

◦ 해외 선진기관과의 네트워크 증진을 위한 인력교류 확대

2017

◦ 출연 연 간 융 복합 연구 활성화에 따른 인력교류 미비점 및 개선점 보완

( )

◦ 인력교류 기관간 점진적인 협력관계 도모를 통한 우수 연구성과 도출

◦ 해외 선진기관과의 협력관계 점검 및 협력선 다변화 모색


background image

부문별  계획

 

경영성과계획서

2015~2017 

73

추진계획  1-6

합리적인  보수 복리후생  및  노사관계  정립

·

주요내용

(1) 

◦ 필요성

– 정부의  공공기관  정상화  지침  이행

∙ 우수연구자  및  지원인력  대한  성과급  지급으로  합리적이고  공정한  보수체계  마련

∙ 과다한  보수 복리후생제도를  합리적인  수준으로  개선하여  정부정책  이행

∙ 노사관계에서  불합리한  관행을  공정한  수준으로  개선하여  화합하는  노사문화  정착

◦ 추진방향

– 우수연구자  및  지원인력  선정  및  보상제도  도입 운영

– 정상화  지침을  반영하여  과다한  보수 복리후생  및  불합리한  노사관계  개선

공공기관 정상화 이행계획

<

>

구분

분야

이행 과제

이행 방법

보수ㆍ

복리후생

퇴직금

◦ 산재법외 별도 퇴직 유족 휴업 장해보상 삭제

/

/

/

◦ 순직자녀 학자금 지원 폐지

단체협약

개정

의료비

◦ 배우자 건강검진 폐지

경조금

◦ 장기근속 격려금 폐지

휴가 휴직

/

◦ 경조휴가 포상휴가 근속휴가 폐지 및 축소

,

,

◦ 육아휴직 지원금 지급 금지

복무행태

◦ 체육의날 근무시간외 운영
◦ 근로시간면제자 외 근무시간 중 유급 조합활동 금지

유가족 특별채용 ◦ 유가족 특별채용 삭제

기타

◦ 단체상해보험 경상운영비 가입 금지

노사관계

경영 인사

/

◦ 조합간부 인사 징계시 사전합의 삭제

◦ 정리해고시 사전합의 삭제

기타

기타

◦ 비위자 퇴직금 제한 근거 마련 등

규정 개정

– 정상화  이행 점검위원회  구성  및  운영

성과목표와의  부합성

(2) 

◦ 정상화  이행을  통한  합리적인  보수 복리후생  시행  및  합리적  노사관계  확립


background image

74

세부  실행계획

(3) 

❏ 연차별  목표치

항목

실적

목표

2013

2014

2015

2016

2017

합리적인

보수 복리후생

-

-

성과보상제도

1)

도입 시행

,

성과보상제도

확대 실시

성과보상제도

활성화

-

정상화 이행

정상화

<

이행점검

2) >

정부시책 이행 및 점점

<

3) >

1

2

2

총인건비 인상률

준수

정부 임금인상 가이드라인 준수

<

>

화합하는

노사관계

노사 화합을 위한 소통채널 강화

<

4 >

1

-

3

4

5

1) 우수연구자 및 지원인력 성과보상제도

우수한 성과를 창출한 직원을 선별하여 성과급을 차등 지급

:

2) 보수 복리후생제도 단협 원규 의 정상화 지침 준수여부를 지속적으로 모니터링

(

,

)

정상화 이행에 따른 복리후생제도 운영여부 점검

-

정부지침에 부합하는 복리후생비 지원여부 점검

-

정부지침에 반하는 새로운 복리후생제도 신설여부

-

정상화이행점검위원회 구성 운영

,

3) 정부시책 이행

정부의 새로운 정책 이행

-

지속적인 합리적 복지제도 운영

-

4) 노사화합을 위한 소통채널 강화

노사협의회 노사 실무 정기회의 노사 웍샵 노사간담회 등

-

,

,

,

❏ 목표  도출  근거

구분

최종 목표

목표 도출근거

합리적인

보수 복리후생

정상화 이행

합리적인

(

보수 복리후생 체계)

◦ 정상화 보수 복리후생 지침

- 성과보상제도 도입 및 운영
- 정부지침의 합리적 이행

- 정상화 이행결과의 지속적 시행

총인건비 인상률

준수

정부 임금인상

가이드라인 준수

공기업 준정부기관 예산편성지침

정부 임금인상 가이드라인 준수

-

화합하는
노사관계

노사화합으로 합리적인

노사관계 정착

◦ 협력적 노사관계 구현

- 다양한 노사소통 채널을 통한 합리적 노사관계 정착


background image

부문별  계획

 

경영성과계획서

2015~2017 

75

연차별  세부계획

(4) 

구분

연도

실행 계획

합리적인

보수 복리후생

2015

◦ 성과보상제도 도입 및 시행 예산 확보 및 지급기준 수립

(

)

◦ 정상화 점검위원회 구성 및 점검

- 정상화 점검위원회 구성 운영

,

- 정상화 이행항목의 적정성 검토
- 정상화 이행결과의 지속적인 유지를 위한 모니터링 실시

2016

◦ 성과보상제도 확대 실시 보상지급액 확대

(

)

◦ 정부 정책 이행 및 신규 단체협약 체결

- 정부의 새로운 시책 이행

- 정상화 이행항목의 지속적 시행
- 단체협약 유효기간 만료에 따른 합리적 단체협약 체결

2017

◦ 성과보상제도 활성화 보상체계 확립

(

)

◦ 정부 정책 이행점검

- 정부정책 이행점검을 통한 공공기관의 합목적성 확보

- 정상화 이행항목의 지속적 시행
- 정상화 지침을 준수하는 단체협약 유지

총인건비 인상률

준수

2015

정부 임금인상 가이드라인 준수

2016

정부 임금인상 가이드라인 준수

2017

정부 임금인상 가이드라인 준수

화합하는
노사관계

2015

◦ 노사 소통채널 강화를 위한 상호 협력적 교류 확대 회

(3 )

- 노사협의회 정기 간담회 공동 웍샵 실무협의회 등

,

,

,

- 노사간 소통강화 정보공유로 기관 발전에 노사 협력 도모

,

2016

◦ 노사 소통채널 강화를 위한 상호 협력적 교류 확대 회

(4 )

- 노사협의회 정기 간담회 공동 웍샵 실무협의회 등

,

,

,

- 노사간 소통채널 확대

2017

◦ 노사 소통채널 강화를 위한 상호 협력적 교류 확대 회

(5 )

- 노사협의회 정기 간담회 공동 웍샵 실무협의회 등

,

,

,

- 협력적 화합적 노사관계 구현을 통하여 연구몰입도 제고

,


background image

76

추진계획  1-7

연구몰입 집중 환경  조성

(

주요내용

(1) 

◦ 필요성

– 창의적이고  우수한  연구성과  창출을  위해  연구업무에만  전념할  수  있는  환경  필요

– 증가하고  있는  연구개발  업무의  정보화  요구에  대한  선도적인  대응  필요

– 일 가정  등에서  연구몰입을  저해하는  갈등 스트레스  증가

◦ 추진방향

– 클라우드  기반의  연구지원  정보화  인프라  구축 운영

∙ 연구개발을  위한  효율적 

자원 서버 워크스테이션  등 지원  강화

IT 

(

– 연구활동  외  행정업무  경감

∙ 보직자와  직원간 동료간  소통회의를  통한  수요맞춤형  행정업무  개선

∙ 제안마당 소통회의를  통한  수요맞춤형  행정업무  개선

∙ 연구성과  활용을  위한  특허  출원명세서  작성  지원  확대

∙ 안정적  예산인  출연금  주요사업비  규모의  지속적  증대를  통한  연구  몰입  환경  조성

– 건강관리  등  근무여건  개선

∙ 정신건강상담을  통한  다양한  스트레스  해소로  연구몰입도  향상

∙ 직장보육시설  설립  및  운영으로  육아에  대한  부담  완화

– 복무환경  개선을  통한  연구몰입도  제고

∙ 선택적  근무시간제  관리  및  운영  확대로  연구자의  선택과  집중도  향상

성과목표와의  부합성

(2) 

◦ 클라우드  기반의  연구지원  전산시스템을  통한 

자원의  적시  제공으로  연구생산성  극대화

IT 

◦ 기관  고유임무  달성과  우수  연구성과  창출을  위한  안정적인  연구몰입  환경  조성


background image

부문별  계획

 

경영성과계획서

2015~2017 

77

세부  실행계획

(3) 

❏ 연차별  목표치

항목

실적

목표

2013

2014

2015

2016

2017

연구지원

전산시스템 운영

< IaaS

1) 서비스 구현 제공

/

>

-

50

70 (40%)

100 (42%)

연구활동 외

행정업무 경감

부서장 및 직원 간 소통회의

<

2) >

19

20 (5%)

21 (5%)

22 (5%)

23 (5%)

특허명세서 작성 지원

<

3) >

117

112

120 (7%)

130 (8%)

140 (8%

출연금 주요사업비

<

4) 규모 증대 >

억원

471

억원

528

억원

560

억원

580

억원

600

건강관리 등

근무여건 개선

정신건강프로그램

<

5) 상담 >

220

230 (4%)

240 (4%)

250 (4%)

260 (4%)

직장보육시

<

6) 운영 원아 수

(

) >

-

-

준공 및 개원

(80 )

운영

(80 )

복무환경 개선

선택적 근무시간제

<

7) 운영 >

-

제도 개선

지침 개정

제도 안정화

운영 활성화

1)

서버 스토리지 등 를 제공하는 클라우드 서비스

IaaS(Infrastructure as a Service) H/W(

,

)

2) 보직자와 직원간 동료간 소통회의 및 소통간담회 등을 통하여 조직내 협력 증진

,

3) 연구자의 아이디어를 특허출원명세서로 작성시 전문변리사를 활용하여 대행 지원

차년도 예산확보 총액 기준

4)

5) 스트레스검사 대인상담 등을 통해 스트레스 우울 정신건강 문제의 조기발견 및 해소

,

,

,

6)

년 직장보육시설 설립 및 운영계획 수립 후

’14

월경 준공 및 개원 예정 정원

’15

10

(

80 )

7) 근무시작 및 종료시간을 연구자가 선택하여 연구활동 수행

❏ 목표  도출  근거

구분

최종 목표

목표 도출근거

연구지원

전산시스템 운영

서비스 구현 제공

IaaS

/

100

◦ 클라우드 기반 전산 지원으로 연구생산성 제고

연구활동 외

행정업무 경감

부서간 직원간 소통 강화

,

◦ 연구현장의 행정업무 개선을 위한 소통 활성화

특허업무 경감

◦ 특허관련 행정업무 지원시 연구몰입도 제고 가능

안정적 연구비 확보

◦ 출연금 예산의 안정적 확보로 연구몰입도 향상

건강관리 등

근무여건 개선

갈등 및 스트레스 해소

◦ 연구몰입을 저해시키는 갈등 스트레스를 정신상담을 통해 해소

,

심리적 안정감 향상

◦ 직장어린이집 운영시 육아에 대한 부담 완화

복무환경 개선 선택적 근무시간제 운영 확대 ◦ 탄력적인 연구시간 운영으로 선택 및 집중도 제고


background image

78

연차별  세부계획

(4) 

구분

연도

실행 계획

연구지원

전산시스템

운영

2015

서비스 구현 제공

IaaS

/

70

2016

서비스 구현 제공

IaaS

/

70

2017

서비스 구현 제공

IaaS

/

100

연구활동 외

행정업무 경감

2015

서비스 구현 제공

IaaS

/

(60 )

◦ 부서장 및 직원간 동료간 소통회의 연

회 및 기관장 결과보고

,

3

◦ 전문변리사를 활용한 특허명세서 작성 지원시스템 활성화 연

(

120 )

◦ 출연금 주요사업비

억 확보

560

2016

서비스 제공

IaaS

(70 )

◦ 부서장 및 직원간 동료간 소통회의 연

회 및 발전방향 모색

,

4

◦ 전문변리사를 활용한 특허명세서 작성 지원시스템 안정화 연

(

130 )

◦ 출연금 주요사업비

억 확보

560

2017

서비스 제공

IaaS

(100 )

◦ 부서장 및 직원간 동료간 소통회의 연

회 및 성과점검

,

5

◦ 전문변리사를 활용한 특허명세서 작성 지원시스템 고도화 연

(

140 )

◦ 출연금 주요사업비

억 확보

600

건강관리 등

근무여건 개선

2015

◦ 정신건강 상담 연

건 참여 활성화 방안 마련

240 ,

◦ 직장보육시설 준공

월 및 운영 준비 위탁업체 선정 원아모집 등

(’15

10 )

(

,

)

2016

◦ 정신건강 상담 연

건 만족도 제고 방안 마련

250 ,

◦ 직장보육시설 운영 원아수

명 및 운영지침 보완

(

80 )

2017

◦ 정신건강 상담 연

건 성공사례 공유

260 ,

◦ 직장보육시설 운영 원아수

명 및 만족도 제고방안 마련

(

80 )

복무환경 개선

2015

◦ 선택적 근무시간제 운영지침 개선

2016

◦ 선택적 근무시간제 운영 점검 및 안정화

2017

◦ 선택적 근무시간제 운영 활성화 및 만족도 조사


background image

부문별  계획

 

경영성과계획서

2015~2017 

79

성과목표  2

예산 연구관리 효율화와 청렴 연구문화 정착예산 연구 윤리 보안

(

)

공통분야

기  본  방  향

개요

◦ 목적

(

) 글로벌 선도기관의 위상에 부합하는 투명성 및 신뢰성 기반의 연구문화 조성

◦ 필요성 공공기관 정상화 방안에 부응하여 예산 배분편성 투명성 확보 연구윤리 준수 강화

(

)

,

,

출연 연 내부책임성 강화 등의 자체적인 예산 연구 관리 효율화 제고 필요

( )

·

경영목표 달성 추진전략과 성과목표와의 연관성

(Advancement)

예산 회계

·

의 체계적 관리를 통해 예산
운영 효율화 및 배분 편성

투명성을 확보

투자

(Responsibility) R&D

효율성 제고 연구윤리 준수

,

및 청렴문화 확산 등 투명한

연구문화 조성

추진방향

◦ 예산운영 기관 예산 규모의 정확한 추정을 위한 집행추이 분석을 강화하고 투명하고 적절한

(

)

연구비 집행을 유도하기 위한 예산 회계 관리를 지속적 수행

·

◦  연구윤리 연구자 개개인이 연구윤리 준수 제도와 실천 방법을 체득할 수 있도록 관련 교육

(

)

참여 증대 및 표절방지 검증시스템 구축 운영

◦ 투명경영 예방과 성과 중심의 감사 프로세스를 구축하고 자체감사 활동 내실화 및 감사인

(

)

전문성 제고 등 내부책임성 제고를 통한 투명경영 환경 구축

추진계획

성과지표 수 개

( )

예산 회계 업무의 투명성 및 집행의 적절성 강화

2-1

4

연구윤리 준수

2-2

2

내부책임성 강화 및 반부패 문화 확산

2-3

4


background image

80

추진계획  2-1

예산 회계  업무의  투명성  및  집행의  적절성  강화

·

주요내용

(1) 

◦ 필요성 예산  회계의  체계적  관리를  통해  대외  지적  대응  및  예산누수를  예방하여 예산 

(

운영의  효율성  및  투명성  확보

기관  예산의  예결산  차이  최소화를  통한  예산  편성  및  집행  적절성  확보  필요

        - 

연구과제  및  연구비의  합리적  선정과  배분  절차  마련을  통한  예산  업무  투명성  확보  필요

        - 

연구비  관리에  대한  대내외  관심도  증가에  따라  연구원  차원의  사전  노력으로  연구자의 

        - 

연구비  관리  및  집행에  대한  부담완화  및  혼란방지  필요

        -  예산 회계  집행  점검  방식의  선진화를  통한  청렴문화  정착  및  자가점검  환경  조성

·

◦ 추진방향

(

)

구분

내용

사업계획 및 예산 안

( )

예결산 차이 축소

◦ 기관 예산집행에 대한 월별 분기별 집행모니터링 및 집행추이 분석을 통해

/

연초 편성액과 연말 집행액 간 예결산 차이 최소화

년 주요사업 발전계획

‘16~’18

수립

년 주요사업 발전계획 수립을 통한 출연금 연구과제 및 연구비의

‘16~’18
선정 배분 절차 적절성 및 합리성 강화

·

연구비 부적정

집행액 최소화

◦ 연구비 관리 교육 및 연구사업 종합정보 제공을 통하여 연구자의 투명하고

적절한 연구비 집행을 유도하여 부적정 집행액 최소화

법인카드 집행

점검 강화

◦ 법인카드 사전 통제 기능을 강화하여 사후 문제점 적발을 최소화하고 일상적인

,

집행 증빙절차 간소화를 통해 연구 효율성 향상에 기여

성과목표와의  부합성

(2) 

◦ 기관  연간예산  규모의  정확한  추정을  통해  성과  목표에  부합하는  운영  방향  수립  및  추진

◦ 주요사업  발전계획  수립을  통한  출연금  예산  배분의  투명성 적절성  확보

·

◦ 연구비  집행 관리에  대한  투명성 적절성  강화를  통한  올바른  연구환경  조성  기반  마련

◦ 법인카드  사전통제  및  집행  증빙절차  간소화를  통한  연구업무  효율성  증진


background image

부문별  계획

 

경영성과계획서

2015~2017 

81

세부  실행계획

(3) 

❏ 연차별  목표치

항목

실적

목표

2013

2014

2015

2016

2017

사업계획 및

예산 안 예결산

( )

차이 축소

사업계획 및 예산 안 예결산 차이 축소

<

( )

>

최근

개년

3

평균 ±10%

±6%

±5%

±5%

±5%

년 주요사업

‘16~’18

발전계획 수립

년 주요사업 발전계획 수립

<‘16~’18

>

-

-

발전계획

기획연구 수행

발전계획 수립 및

시행

발전계획 시행

점검 및 피드백

연구비 부적정

집행액 최소화

과제별 연구비 부적정 집행액 최소화

<

>

-

연구비 관리

(

우수 기관/

2011.1.1.~

2013.12.31.)

부적정 집행액

직접비 대비

미만

0.5%

초과 과제

(

개 이하

5

)

부적정 집행액

직접비 대비

미만

0.5%

초과 과제

(

개 이하

5

)

부적정 집행액

직접비 대비

미만

0.4%

초과 과제

(

개 이하

4

)

부적정 집행액

직접비 대비

미만

0.3%

초과 과제

(

개 이하

3

)

법인카드 집행

점검 강화

법인카드 사전점검 강화 및 집행 증빙절차 간소화

<

>

증빙서류

모니터링 시스템

시행

휴일 휴가

/

법인카드 사용

사전 승인제 시행

부적정 집행 상시

알람 집행

,

증빙절차 간소화

계획 수립

업종별 집행

데이터 분석,

집행 증빙절차

간소화 시행/

안정화

데이터 분석,

집행 증빙절차

간소화 범위

확대 지로 등

(

)

❏ 목표  도출  근거

구분

최종 목표

목표 도출근거

사업계획 및

예산 안 예결산

( )

차이 축소

예결산 차이

이내

±5%

◦ 기관평가 평가기준 예결산 비중차

이내 유지 여부

±5%

◦ 기관 예산 중 큰 비중을 차지하는 대형 국책사업의 협약기간이

회계연도와 상이하여 각년도 예산집행 변동폭이 큰 점을 감안
할 때 도전적 목표 설정임

,

.

년 주요사업

‘16~’18

발전계획 수립

발전계획 수립 시행 점검

·

·

및 피드백

◦ 주요사업 발전계획 수립을 통한 향후

개년 출연금 주요사업

3

과제 및 예산배분의 합리성 투명성 확보

·

연구비

부적정 집행액

최소화

과제별 연구비 부적정

집행액 및 대상과제

비율 최소화

◦ 매년 과제별 직접비 기준

미만의 부정적집행액

0.5% 0.3%

비율 비율 초과과제

개 감소 추진

(

5

3 )

- 연구원 포털 내 연구사업 종합정보게시판을 통한 다양한 정보를

제공하여 열린 의사소통체계 구축

- 연구관리 실무자 내 외부교육 실시를 통한 전문성 강화

법인카드 집행

점검 강화

상시알람 시스템,

데이터분석 시스템,

증빙절차 간소화 운영

◦ 연도별 단계적인 법인카드 집행에 대한 통제기능 강화 및 정산절차

간소화를 통해 연구비 예산 집행의 투명성 및 업무 효율성 확보

/


background image

82

연차별  세부계획

(4) 

구분

연도

목표 도출근거

사업계획 및

예산 안 예결산

( )

차이 축소

2015

◦ 전년도 집행 애로사항 및 부진사례 분석 반영

년 예산 추정

’15

◦ 월별 분기별 모니터링을 통한 집행 점검 및 독려

/

◦ 결산 시 예산 집행의 애로사항 및 부진사례

구축

DB

2016

◦ 집행 애로사항 및 부진사례

활용을 통한 차년도 예산 추정 정확성 제고

DB

◦ 월별 분기별 집행 점검회의를 통한 집행 독려 및 강제성 부여

/

2017

◦ 연구비 집행진도 관리시스템과 연동한 상시 예결산 모니터링 실시
◦ 결산시 예산집행의 애로사항 및 부진사례

반영 및 고도화

DB

년 주요사업

‘16~’18

발전계획 수립

2015

◦ 발전계획 기획연구 수행

- 기관 내외부 기획연구를 통한

개년 연구수행 내용 및 형태 설정

3

- 기존

년 발전계획 상의 문제점 및 보완사항 검토 반영

(‘13~’15 )

·

2016

◦ 발전계획 수립 및 시행

기획연구를 바탕으로 내외부 심의를 통한 출연금 주요사업 발전계획 수립


년 집행 내역 점검을 반영한 잔여년도

년 수행내역 조정

‘16

(‘17~’18 )

2017

◦ 발전계획 시행 점검 및 피드백

- 발전계획 수립 안 과 연도별 주요사업 진행상황 간 비교점검을 통한 과제 및

( )

예산 선정 배분 적절성 검토

·

- 점검 내역 반영 잔여 수행계획 조정

연구비

부적정 집행액

최소화

2015

◦ 과제별 연구비 부적정 집행액 직접비 대비

미만 목표

0.5%

목표액 초과 대상과제

개 이하

(

5

)

- 연구비 집행 진도관리 시스템 보완 개선

/

- 연구사업 관련 종합정보 제공 규정 정산지침 등 을 위한 연구원 포털 내

(

,

)

연구사업 종합정보게시판 설치

- 외부 전문기관의 연구비 관리 교육 도입 연

회 정례화

(

1

)

2016

◦ 과제별 연구비 부적정 집행액 직접비 대비

미만 목표

0.4%

목표액 초과 대상과제

개 이하

(

4

)

- 전체 게시물 주요내용 점검 및

사례 분류 등을 통한 연구사업 종합

FAQ

정보게시판 활성화

- 외부 전문기관 연구비관리 심화과정 도입 검토

2017

◦ 과제별 연구비 부적정 집행액 직접비 대비

미만 목표

0.3%

목표액 초과 대상과제

개 이하

(

3

)

- 개선사항 도출 및 보완을 통한 연구사업 종합정보게시판 체계화

- 외부 전문기관 연구비관리 교육 심화과정 포함 실시 연

회 이상

(

)

(

1

)

법인카드 집행

점검 강화

2015

◦ 법인카드 부적정 집행 상시 알람 시행

- 부당업체 사용시 상시 알람

문자 발송 을 통해 부적정 집행 미연 방지

(SMS

)

- 부적정 사용 알람 통계 분석을 통해 자가점검 및 예방대책 수립

◦ 법인카드 집행 증빙절차 간소화 계획 수립 단계

(1

)

- 증빙간소화 관련 정산 규제 검토 및 시스템 개발 계획 안 수립

( )

2016

◦ 법인카드 데이터 분석 시스템 시행

- 법인카드 사용업종별 집행 분석을 통해 연구비 예산 집행 추이 분석

/

◦ 법인카드 집행 증빙절차 간소화 시행 안정화 단계

/

(2

)

지출결의 신청부터 증빙자료 보관까지

시스템 가동

One-stop

2017

◦ 법인카드 데이터 분석 시스템 확대

- 법인카드 사용업체별 금액순 빈도순 집계를 통해 특이사항 발견

,

◦ 법인카드 집행 증빙절차 간소화 확대 단계

(3

)

- 지로 등 집행 증빙절차의 간소화 확대 불필요한 종이문서 생성 억제

(

)


background image

부문별  계획

 

경영성과계획서

2015~2017 

83

추진계획  2-2

연구윤리  준수

주요내용

(1) 

◦ 필요성 연구윤리  준수의  중요성은  강조되어  왔고  꾸준한  제도적  기반을  구축했으나 원내 

(

교육  참여율이  저조

– 많은  직원들이  연구윤리  준수  필요성은  인식하고  있으나 구체적인  방법이나  관련  내규에 

대한  이해가  부족한  상태

– 연구윤리를 강화하기 위해 연구부정행위에 대한 예방 및 제재 차원의 제도적 기반을 꾸준히 

구축하여  실행  중

※ 연구윤리 진실성 확보를 위한 가이드라인 제정 및 공포

년 과기부

연구윤리진실성위원회 설치 및

/

(2006 ,

), “

운영 요령 을 제정 및 공포

년 원내규정 연구윤리진실성위원회 운영을 위한 관련 규정 정비

(2007 ,

),

(2009 ,

규정정비

상위 규정 일부 개정에 따른 규정 개정

년 규정개정

),

(2012 ,

)

– 연구윤리  교육을  전직원 실무자  대상  매년  회  이상 신규직원  채용  시  실시해왔으나 

/

1

전직원  대상  교육의  참여율은 

미만으로  저조

50% 

※ 전직원 대상 교육 참여율 현황

년 회차

회차

회차

2011 (23%), 2012 (1

34%, 2

39%, 3

93%), 2013 (27%)

◦ 추진방향 연구윤리  준수를  위한  포괄적 제도적  시스템을  갖추는  동시에  개별  연구자들이 

(

/

관련  제도  및  실천적  준수방법을  습득함으로서  연구윤리  준수의  주체가  될  수  있도록  지원

구분

내용

연구윤리 교육

◦ 기존의 연

회 이상의 연구윤리 교육을 연

회 이상으로 늘리고 참여율을

1

2

증대(최종

목표

90%

하여 모든 구성원이 연구윤리 관련 내용을 파악할 수

)

있도록 지원

연구노트 논문 표절 방지

,

검증시스템 구축

ㅇ 표절 등과 같은 연구윤리 침해는 사후에 신고되므로 사전에 연구노트 논문에

,

대하여 표절 방지를 위한 연구윤리 사전 검증시스템을 구축함

성과목표와의  부합성

(2) 

◦ 국제적  연구기관의  위상에  부합하는  투명하고  신뢰적인  윤리  문화를  정착하기  위한  연구 

윤리  체계를  강화하고  윤리적인  연구풍토  조성


background image

84

세부  실행계획

(3) 

❏ 연차별  목표치

항목

실적

목표

2013

2014

2015

2016

2017

연구윤리 실무교육

강화

연구윤리 교육 및 참여율

<

>

1

27%

1

35%

2

40%

2

60%

2

90%

신규직원 및 실무자 교육

<

>

2

2

3

3

3

연구노트 논문

,

표절 방지

검증시스템 구축

사전 검증시스템 운영

<

>

-

-

연구노트 논문

,

표절방지 방안

수립 및 운영체계

도입

연구노트 작성 시

표절방지 검증

실시

논문 제출 시

표절방지 검증

의무화

연구윤리 교육 대상자는

연구직 기술직에 한함 단 휴직자 파견자 연가자를 비롯한 현실적으로 참석 불가한 자는

/

( ,

,

,

교육대상에서 제외)

❏ 목표  도출  근거

구분

최종 목표

목표 도출근거

연구윤리

실무교육 강화

연구윤리 교육 강화 및

참여율 증대

◦ 연구윤리 의식제고 위해 개인위주의 일반 교육 실시 증가

◦ 연구윤리 교육에 대한 관심 부족 및 참여도 제고 필요

년말 현재 교육 참여율

미만

(2013

30%

)

연구노트 논문

,

표절 방지

검증시스템 구축

사전 연구윤리 검증

시스템 구성

◦ 사후 신고로 인한 연구윤리 검증을 넘어 연구노트 논문에 대한

,

사전 검증시스템 구축

연차별  세부계획

(4) 

구분

연도

목표 도출근거

연구윤리 실무교육

강화

2015

연구윤리 의식제고 위해 개인 위주의 일반 교육 실시 증가

회 이상

회 이상

(

1

2

)

연구윤리 교육에 대한 관심 및 참여도 제고 참여율

(

40%)

2016

연구윤리 교육에 대한 관심 및 참여도 제고 참여율

(

60%)

2017

연구윤리 교육에 대한 관심 및 참여도 제고 참여율

(

90%)

연구노트 논문

,

표절 방지

검증시스템 구축

2015

◦ 연구노트 논문 표절방지 방안 수립

,

◦ 연구노트 논문 표절방지 운영체계 도입

,

2016

◦ 연구노트 작성 시 표절방지 검증 실시로 검증시스템 단계 구축

1

2017

대외

논문 제출 시 표절방지 검증 의무화로 검증시스템 단계 구축

2


background image

부문별  계획

 

경영성과계획서

2015~2017 

85

추진계획  2-3

내부책임성  강화  및  반부패  문화  확산

주요내용

(1) 

◦ 필요성 공공기관의  내부책임성  강화  및  연구원  청렴도 직무  공정성  확립

(

– 공공감사에 관한 법률 제정 시행 등 공공기관으로서의 출연 연 외부환경 변화에 능동적으로 

/

( ) 

대처하기  위한  내부책임성  강화  필요

– 조직의 지속 가능한 발전을 위한 투명 경영의 중요성 강조와 더불어 예산 인력 등 사업규모 

확대에  따른  연구원  청렴도  및  직무  공정성  확립  요구

◦ 추진방향

(

)

– 인사 회계 구매 연구관리 성과확산  등  다양한  분야를  모니터링하기  위한 

감사시스템 

e-

구축을  통해  리스크  항목  분석  등  예방적  감사활동  강화로  내부책임성  제고

– 타  기관  감사전문가  초빙  활용 감사교육  이수  확대  및  감사인력  확충  등  내부감사 

한계극복과  전문성  제고를  통한  자체감사활동  강화

– 전  직원  대상  청렴교육  및  양성평등교육  이수를  통한  반부패  문화  확산  및  정착

구 분

내 용

기관 청렴도 수준 향상

◦ 청렴 조직문화 확산을 통한 기관 내 외부 청렴도 등급 향상

감사시스템 개선 및

e-

상시모니터링

◦ 상시모니터링

감사시스템 전면 개편 및 운영 정착

e-

자체감사 활동 내실화

및 감사인 전문성 제고

◦ 협동감사인

명이상 감사 실시

4

◦ 감사전문교육 80시간 이상 및 전문자격증 취득 감사인력 확충

,

청렴교육을 통한

반부패 문화 정착

◦ 청렴교육 등

회 이상 실시 및 청렴사례집 배포

5


background image

86

성과목표와의  부합성

(2) 

◦ 상시모니터링  및  청렴교육  확대  등  내부책임성  강화를  통한  투명하고  청렴한  경영환경  구축

◦ 기관  신뢰성  확보  및  투명성  제고로  반부패  문화  확산  및  정착

세부  실행계획

(3) 

❏ 연차별  목표치

항 목

실 적

목 표

2013

2014

2015

2016

2017

기관 청렴도

수준 향상

기관 종합 청렴도

등급

4

기관 종합 청렴도

등급

4

기관 종합 청렴도

4등급

기관 종합 청렴도

등급

3

달성

기관 종합 청렴도

3등급 유지

감사시스템

e-

개선 및

상시모니터링

상시모니터링

감사시스템 구축

e-

상시모니터링

감사시스템

e-

점검항목

5

운영

상시모니터링

감사시스템 전면

e-

개편 점검항목

건 운영

10

상시모니터링

감사시스템

e-

점검항목

건 운영

15

상시모니터링

감사시스템

e-

점검항목

건 운영

20

자체감사

활동 내실화

감사인

전문성 제고

협동감사인

2

감사 실시

협동감사인

3

이상 감사 실시

명 이상

4

협동감사인 참여

자체감사 실시

명 이상

4

협동감사인 참여

자체감사 실시

명 이상

4

협동감사인 참여

자체감사 실시

전문교육

시간

40

이수 및 자격증 취득

1

전문교육

시간

60

이수 및 자격증 취득

1

전문교육

시간

60

이상 및 전문자격증

취득

1

전문교육

시간

70

이상 및 전문자격증

취득

1

전문교육

시간

80

이상 및 전문자격증

취득

1

-

감사인력

확충 검토

감사인력

추가 확충

1

감사인력 정원

확보

(0.8%)

감사인력 정원

이상 유지

(0.8%)

청렴교육을

통한 반부패

문화 정착

신규직원 및 직급별
청렴교육 양성평등

,

교육실시

청렴교육 및

양성평등교육

3

이상 실시

청렴교육 등

4

이상 실시

및 우수사례

공유

구축

site

청렴교육 등

5

이상 실시 및

우수사례 콘텐츠

확충

청렴교육 문화 정착

및 관련 사례집

발간 배포

/

❏ 목표  도출  근거

구 분

최종 목표

목표 도출근거

기관 청렴도

수준 향상

기관 내 외부 청렴도

등급 유지

3

◦ 연구원 내 외부 청렴도 하락에 따른 개선 필요

감사시스템 개선

e-

상시모니터링

감사시스템

e-

전면 개편 및 운영 정착

◦ 사전모니터링 시스템 점검항목 업데이트 및 활용 필요

◦ 취약분야 리스크 예방점검 활동으로 내부시스템 개선 필요

자체감사 활동

내실화 및 감사인

전문성 제고

협동감사인 감사 실시

◦ 미래창조과학부 자체감사 활성화 계획에 따른 내부감사 공정성

및 객관성 제고

감사전문교육 이수,

감사전문 자격증 취득

및 감사인력 확충

◦ 감사전문교육 이수로 외부 선진 감사기법 습득 및 활용

◦ 관련 자격증 취득으로 감사전문 인력 양성
◦ 감사인력 확충을 통한 전문역량 강화

청렴교육을 통한

반부패 문화 정착

청렴교육 양성평등교육

,

회 이상 실시

5

◦ 기관 투명성 확보 및 지속적인 청렴문화 확산 필요

◦ 청렴교육 실시로 전 직원 반부패의식 조기 정착


background image

부문별  계획

 

경영성과계획서

2015~2017 

87

연차별  세부계획

(4) 

구 분

연 도

실행 계획

기관 청렴도

수준 향상

2015

◦ 부패취약분야 개선을 통한 기관 내 외부 청렴도

등급 상위 유지

4

◦ 주요간부 청렴의식 제고를 위한 집체교육

회 이상 실시

1

2016

◦ 반부패 청렴정책 추진을 통한 기관 내 외부 청렴도

등급 달성

3

◦ 전 직원 맞춤형 청렴 반부패 교육

회 이상 실시

2

2017

◦ 청렴문화 정착을 통한 기관 내 외부 청렴도

등급 이상 유지

3

◦ 전 직원 맞춤형 청렴 반부패 교육

회 이상 실시

3

상시모니터링

감사시스템

e-

개선

2015

감사시스템 전면 개편 점검항목

건 발굴

e-

10

감사시스템 상시 모니터링 활성화

e-

2016

감사시스템 점검항목

건 운영

e-

15

감사시스템 상시 모니터링 운영

e-

2017

감사시스템 개선항목 점검항목

건 운영

e-

20

감사시스템 상시 모니터링 운영 정착화

e-

자체감사

활동 내실화

및 감사인

전문성 제고

협동감사인

활용

2015

◦ 취약분야별 협동감사인

명 이상 자체감사 참여 실시

4

2016

◦ 취약분야별 협동감사인

명 이상 자체감사 참여 실시

4

2017

◦ 취약분야별 협동감사인

명 이상 자체감사 참여 실시

4

전문교육

이수 및

자격 취득 등

2015

◦ 감사인 감사전문 외부교육

시간 이상 이수

60

◦ 외부 감사전문 자격증

명 취득 및 전문인력

명 추가 확보

1

1

2016

◦ 감사인 감사전문 외부교육

시간

70

이상 이수

◦ 외부 감사전문 자격증

명 취득 및 감사인력 정원

확보

1

(0.8%)

2017

◦ 감사인 감사전문 외부교육

시간

80

이상 이수

◦ 외부 감사전문 자격증

명 취득 및 감사인력 정원

이상 유지

1

(0.8%)

청렴교육을 통한

반부패 문화 정착

2015

◦ 청렴교육 양성평등 및 폭력 예방교육

회 이상 실시 및 우수사례

,

4

공유

구축

site

2016

◦ 청렴교육 양성평등 및 폭력 예방교육

회 이상 실시 및 우수사례

,

5

공유 콘텐츠 확충

2017

◦ 청렴교육 양성평등 및 폭력 예방교육

회 이상 실시 및 청렴관련

,

5

사례집 발간 및 배포


background image

88

성과목표  3

항공우주개발 성과활용을 통한 창조경제 성장동력 창출

성과창출

활용

확산

(

)

공통분야

기  본  방  향

개요

◦ 목적

(

) 항공우주 역량의 확산을 강화하고 미래 성장동력 창출 기반 확대에 기여

◦ 필요성

(

연구원의 축적된 기술과 역량을 활용하여 유관 산업의 기술 경쟁력 확보에 기여하고

)

융복합 연구 촉진을 위한 다각적인 전략 적용 필요

경영목표 달성 추진전략과 성과목표와의 연관성

(Knowl

기관 축적

edge)

연구개발 성과 지식 확산 촉진

·

중소기업 및

(Responsibility)

유관산업 적극적 지원을 통한
산업 기술경쟁력 확보 기여

항공우주 기술

(Innovation)

혁신 중점 전략으로 타 연구

기관 및 산업체 협력 강화

추진방향

◦ 지식확산 기술이전 지역 사회와의 지식공유 및 교육 지원 연구 정책 정보 질적수준 향상을

(

)

,

,

·

도모하여 지식확산을 통한 국가 차원의 산업 육성과 미래 경쟁력 확보에 기여

산업촉진 우수특허 창출 및 사업화 지원체계 강화를 통한 연구생산성 및 특허활용률 제고

(

)

,

◦ 

중소기업 기술지원 체계화 및 효과적 운영을 통한 중소기업 기술경쟁력 강화에 기여

◦ 융합 협력 항공우주 기술 혁신을 도모하기 위한 핵심 전략으로서 타 연구기관 및 산업체와의

(

·

)

융복합 연구를 증대하고 미래 연구개발 분야 발굴 추진을 위한 다양한 교류회의 추진

·

추진계획

성과지표 수 개

( )

연구개발 성과 관리 확산 활용 체계 고도화

3-1

2

중소 벤처기업 지원 및 창업지원 체계 강화

3-2

5

지역 조직의 지역 산업 과학기술에의 기여 강화

3-3

/

3

대외 공공 서비스 수준 향상 및 국가 정책적 기여도 향상

3-4

(

)

3

산 학 연 협력 및 융합 협동연구 강화

3-5

ㆍ ㆍ

3


background image

부문별  계획

 

경영성과계획서

2015~2017 

89

추진계획  3-1

연구개발  성과  관리 확산 활용  체계  고도화

·

·

주요내용

(1) 

◦ 필요성 연구개발 수행성과의 효과적인 관리 확산 활용을 위한 체계 구축 및 운영을 통해 

(

 

특허활용률  증대  필요

– 보유특허의  급격한  증가  추세에  따른  특허활용률의  하락  발생

연도

특허활용률

(%)

보유특허

( )

활용특허

( )

기술료
백만원

(

)

특허비용

백만원

(

)

특허생산성

(%)

2011

31%

336

105

863

336

257%

2012

38%

435

164

1,417

483

293%

2013

30%

599

178

440

701

63%

사용 지표 설명

[

]

특허활용률

활용특허수 누적

보유특허수 누적 등록특허 기준

-

=

(

) /

(

,

)

활용특허

기술이전 실시권 허여 특허 누적 및 자가활용

특허

-

=

(

)

(

)

*

* 자가활용 = 기관이 운용하고 있는 시스템 항공 위성 발사체 에 직접 적용되거나 기관의 수익 위성영상

(

/

/

)

,

(

수익금 외부 수탁시험비 을 창출하는데 적용된 특허 자체조사 결과

,

)

(

)

특허생산성

기술료 수입액

특허관리 출원 등록 유지 비용

-

=

/

(

,

,

)

◦ 추진방향 우수 특허 창출 및 기술이전 사업화 지원체계 강화를 통한 특허활용률 증대 추진

(

구분

내용

우수 특허 창출

◦ 발명 초기단계부터 사업화 유망기술을 발굴하고 특허 권리범위 확보를 통한 강한 특허 창출

관리 강화

IP

관리 시스템의 전산화를 통해 특허 관리 업무의 효율성 제고 및 미활용특허에 대한

IP

지속관리를 통한 특허활용률 증대

사업화 지원 확대

◦ 사업화 가능 기술 중 추가 상용화 개발이 필요한 기술에 대해 내 외부 상용화 지원사업

/

연계지원 강화

기술마케팅 강화

◦ 기술설명회 특허박람회 참가 확대 및 웹기반 우수기술

구축을 통한 우수 기술 홍보

,

DB

및 수요기업 발굴


background image

90

성과목표와의  부합성

(2) 

◦ 연구개발성과  창출  및  확산  체계  고도화  운영을  통한  항공우주  연구개발성과  활용  증진  및 

유관산업  확산  강화

– 우수  특허기술  창출 사업화  지원  확대 기술마케팅  강화  등을  통한  기술사업화  증대  및 

유관기업  기술경쟁력  제고  기여

세부  실행계획

(3) 

❏ 연차별  목표치

항목

실적

목표

2013

2014

2015

2016

2017

기술료 수입

기술료 수입액

억원

4.4

억원

10.5

억원

12.4

억원

14

억원

17

특허활용률

특허활용률 당해 연도

(

)

1)

1.8%

2.2%

2.0%

2.2%

2.4%

특허활용률 누적

(

)

2)

30%

33%

34%

35%

36%

1) 특허활용률 당해 연도

당해 연도 기술이전 특허 건수

보유특허 등록 건수

(

) =

(

)

/

(

)

*

보유특허 등록 건수

전년도 말 보유 특허건수

당해 연도 신규 특허건수

양도 특허건수

포기 소멸 특허건수

*

(

)

=

+

-

-

·

2) 특허활용률 누적

누적 기술이전 특허 및 자가활용 특허건수

보유특허 등록 건수

(

) =

/

(

)

❏ 목표  도출  근거

구분

최종 목표

목표 도출근거

기술료 수입

’15~’17

억원

43.4

◦ ’11~

년 기술료 수입액 합계

억원 대비

증액한

억원

’14

37.7

15%

43.4

*

년 연평균

억원 대비

년 연평균

억원은

증가한 금액

’11~’14

9.4

’15~’17

14.5

53%

특허활용률

당해 연도

2.4%,

누적 36%

◦ 당해 연도 특허활용률은 등록특허의 지속적인 증가를 고려하지만 특허등록의 남발을

지양하고 불필요한 특허를 소멸하여

년 기간 평균치

보다 상향된 목표

’11~’14

1.9%

2.4%

설정

기술이전특허 목표는

건으로

년 평균

건 대비

배 증가

*

’17

20

’11~’14

10

2

* 보유특허건수 목표는

건 으로 기존 연평균 보유특허건수 증가량

’17

840 (’14

742 )

건 보다 축소

(135 )

◦ 누적 특허활용률은

년 실적치

를 기반으로 매년

증가 추진

’14

33%

1%


background image

부문별  계획

 

경영성과계획서

2015~2017 

91

연차별  세부계획

(4) 

구분

연도

실행계획

기술 확산 및

활용 체계

고도화

2015

◦ 항공우주 우수기술

화 및 웹기반 지원시스템 구축

DB

- 온라인 기술 홍보 인프라 확보 및 기술마케팅 채널 다각화

◦ 기술료 적립금 등을 활용한 상용화 기술개발 지원사업 기획 및 추진

◦ 차세대중형위성개발사업 수행과 연계한 대형 기술이전 발굴 및 추진

2016

◦ 대내 외 기술설명회 개최 참가 확대 및 온라인 기술홍보 수행

/

/

- 온 오프라인 기술마케팅 강화 수요기업의 우수기술 접근성 제고

/

,

◦ 사업화 유망 아이템 발굴 및 분석을 통한 맞춤형 기술마케팅 수행

- 기술이전 계약 성공률 증대 및 대형 기술이전 계약 체결 유도

2017

◦ 기술이전 사후관리 업무체계 보완 및 안정화

- 기술전수 활용성과 관리 강화 및 안정적인 기술료 수입기반 조성

,

◦ 사업화 유망기술에 대한 사전 가치평가 도입

- 신속한 기술료 협상 및 기술이전 계약 성공률 제고

지식재산

관리 체계

고도화

2015

◦ 특허의 전략적 권리유지 판단 및 활용체계 구축

- 활용특허 이외의 특허에 대해 권리유지 가이드라인 설정 및 운영

,

- 지식재산권 실사를 통한 소액 무상 가능 특허 선별 및 기술이전 추진

2016

◦ 효율적인 지식재산 관리 활용을 위한

관리 전산시스템 구축

‘IP

- 시스템기반 지식재산 관리 고도화 특허사무소 연계로 업무효율 제고

,

- 보유특허의 효율적인 관리체계 구축으로 특허의 활용률 제고 추진

2017

◦ 지식재산 중심의 연구개발전략 수립 지원을 위한

포트폴리오 구성

‘IP

- 특정 기준별 상호 연관성 높은 특허 통합 관리 우수한 신규특허 창출 견인

,

- 포트폴리오 구성을 통한 특허활용성 증대 및 효과적 기술마케팅 전개

※ 기술 확산 및 활용 체계 고도화 를 통해 기술이전과 그에 따른 기술료 수입 목표 달성 추진

※ 지식재산 관리 체계 고도화 를 통해 특허활용률 목표 달성 추진


background image

92

추진계획  3-2

중소기업  지원  및  창업지원  체계  강화

주요내용

(1) 

◦ 필요성 신정부  국정과제 중소기업  성장  희망사다리  구축 및  관련  정책  방향에  부합하여

(

(

항공우주분야  중소기업에 대한 지원체계 강화 및 체계적 지원을 통한  국내 유관산업 활성화 

기여  필요

– 항우 연 은 

년 최초로 주요사업을 통한  중소기업  지원사업 편성 및  수행 중에 있으며

( )

’14

’ 

중소기업  지원제도  및  운영  경험  미성숙

– 중소기업의 다양한 니즈에 효율적 지원이 가능하도록 중소기업 지원체계 보완 및 환경 조성 필요

◦ 추진방향 항공우주  중소기업  기술  지원  체계  구축  및  효과적  운영을  통한  국내  유관 

(

중소기업의  기술경쟁력  강화  및  사업  활성화  지원

구분

내용

상용화 네트워크 구축

◦ 항우 연 중소기업 간의 기술 지원 업무협약 체결 및 기술 지원 교류회 운영

( )-

,

중소기업지원 시스템 구축 등을 통해 국내 항공우주 중소기업의 기술사업화 지원 강화

애로기술 확보 지원

◦ 항공우주 중소기업의 애로기술 해결 및 기술개발 지원을 통해 유관 중소기업의 경쟁력

제고 기여

해외시장 진출 지원 ◦ 국내 항공우주 중소기업의 세계시장 진출 지원을 통한 매출 증대 등 사업 활성화 유도

기술창업 지원

◦ 항공우주 신규 기술창업 및 안정화 지원을 통한 국내 유관산업 활성화 및 일자리 창출 기여

항우 연 중소기업 기술 지원 업무협약

[

( )-

]

- 국내 항공우주 중소기업 기술경쟁력 강화 및 사업 활성화 지원을 위해 항우 연 중소기업 간 체결

( )-

- 업무협약 중소기업 대상 항공우주분야 기술지도 및 자문 기업 필요 기술이전 정부 지원 상용화 사업 정보

,

,

제공 자문 및 공동참여 협력 기관 보유기술 정보 공유 기술세미나 개최 등 지원

/

,

,

성과목표와의  부합성

(2) 

◦ 항공우주 중소기업에 대한 기술 지원을 통해 기관 보유 연구개발 성과의 유관산업 확산 활용 

및  사업화  성과창출  증대

◦ 국내  항공우주분야  중소기업의  기술경쟁력  제고  및  사업  활성화  지원을  통해  우수일자리 

창출  등  창조경제에  기여  추진


background image

부문별  계획

 

경영성과계획서

2015~2017 

93

세부  실행계획

(3) 

❏ 연차별  목표치

항목

실적

목표

2013

2014

2015

2016

2017

기술 지원

업무협약 체결

기술 지원 업무협약 체결

1)

개 기업

33

누적

(

)

개 기업

38

누적

(

)

개 기업

46

누적

(

)

개 기업

56

누적

(

)

개 기업

66

누적

(

)

중소기업

해외진출 지원

중소기업 해외진출 지원

2)

개 기업

3

개 기업

5

개 기업

8

개 기업

10

개 기업

12

창업교육

프로그램 운영

창업교육 프로그램 운영

-

1

2

3

3

중소기업 협력도

중소기업 협력지수

(

)

중소기업 협력도

3)

1.00

1.07

1.46

1.74

2.08

1) 기술 지원 업무협약 체결 항우 연 중소기업 간의 기술 지원 업무협약 체결 기업 수

( )-

2) 중소기업 해외진출 지원 국제우주대회

동반 참가 해외사업 제안 협력 등 해외 기술마케팅 및 해외진출

(IAC)

,

지원 기업 수

3) 중소기업 협력도

출연 연 중소중견기업

전진기지화 방안 에 제시된 지표별 가중치 계산

( )

R&D

*

중소기업 협력도

해당년도 실적치

년 실적치

지표별 가중치

(

=

/ ’13

X

)

* 세부지표별 가중치 중소기업지원사업비중

전담인력

수요기반원천기술과제

기술이전

(0.05),

(0.10),

(0.05),

(0.20),

특허무상이전

장비개방율

패밀리기업

수출지원기업

기업부설연구소

(0.15),

(0.05),

(0.10),

(0.15),

(0.15)

❏ 목표  도출  근거

구분

최종 목표

목표 도출근거

기술 지원

업무협약 체결

개 기업

66

누적

(

)

년 기준

을 제외한 타출연 연 패밀리기업 지정

’14

, KITECH, KISTI, ETRI, KIER

( )

목표 대비 평균치 달성

◦ 현재 국내 항공우주분야 특성상 유관기업수가 타 산업분야 대비 기업 수가 매우

적은 실정이며 항우연은

년 부터

년까지 출연금 주요사업비중

,

15

17

중소기업지원사업 비중은 증감 없이

로 설정

2%

◦ 향후 항공우주 중소기업 지원을 통한 시장 저변확대를 고려

년 업무협약기업총

’13

33

기업 대비

향상된 목표 연평균 개 기업 증가 설정

100%

(

9

)

중소기업

해외진출 지원

12

기업

년 실적

개 기업 대비

’13

3

300% 향상된 목표 설정

◦ 국제우주대회

등 해외전시회 동반 참가 해외사업 제안 협력 등

(IAC)

,

우주제품 수출 활성화를 위한 유관 중소기업에 대한 해외진출 전문역량 지원

창업교육

프로그램 운영

3

년 실적

건 대비

향상된 목표 설정

’14

1

200%

◦ 창업커뮤니티 운영 연구자 대상 창업교육 창업경진대회 개최 추진

,

,

중소기업

협력도

2.08

◦ 기관 고유임무재정립 핵심 성과지표 중 하나이며 미래부에서 이행 관리

,

년 실적

대비

’13

1.00

108% 향상된 목표 설정

◦ 중소기업 협력도 세부지표별

년 실적 대비

년 목표

’13

’17

- 중소기업지원사업비중

전담인력

명 수요기반원천기술과제

(0 2.0%),

(5 7 ),

(0 2 ),

기술이전

특허무상이전

장비개방율

패밀리

(27 30 ),

(1 3 ),

(22.9 27%),

기업(33→

66

수출지원기업

),

(3→

12

기업부설연구소

),

(1 2 )


background image

94

연차별  세부계획

(4) 

구분

연도

실행계획

기술 지원

업무협약

체결

2015

◦ 중소기업지원 시스템 운영 및 외부 유관 전산망 연계
◦ 중소기업 기술 지원 교류회 확대 사업화 관련 정부기관 및 민간기관 참여

(

)

◦ 중소기업 상용화 지원사업 도입 상용화 기술개발 자금 및 연구역량 제공

(

)

2016

◦ 중소기업지원 시스템 운영 만족도 조사를 통한 개선사항 도출 및 개선

◦ 기술 지원 멘토 및 연구자의 기업지원 참여 증진을 위한 지원제도 도입
◦ 중소기업 상용화 지원사업 운영 점검 및 제도 보완

2017

◦ 중소기업지원 시스템 추가 기능 전자인증 서버확충 등 보완

(

,

)

◦ 기술 지원 협약기업 지원성과 분석 및 개선방안 도출 우수사례 홍보

,

중소기업
해외진출

지원

2015

◦ 국제우주대회

이외 항공우주분야 해외전시회에 중소 중견 기업 동반 참가

(IAC)

(

)

◦ 세계시장 진출을 위한 항우 연 기업 간 협력방안 수립

( )-

2016

◦ 항우 연 중소 중견 기업 간 협력을 통한 기술마케팅 전개 등 해외 진출 추진

( )-

(

)

◦ 항공우주 국제 입찰 참여 협력 및 수주 노력

2017

◦ 해외진출 성공 및 실패 사례 분석 효율적인 지원을 위한 제도 개선

,

창업교육
프로그램

운영

2015

◦ 창업기업 대상 전문역량 컨설팅 지원 도입 및 예비창업자 지원제도 도입

◦ 창업자 휴직기간 연장 창업보육기간 연장 등 관련 규정 개정 추진

,

◦ 창업커뮤니티 구성 및 운영 확대 연구자 대상 창업교육 도입

,

2016

◦ 창업기업의 조기 안정화를 위한 단계별 지원계획 수립 및 운영
◦ 창업경험 공유 및 네트워크 구축을 지원하는 교류회 도입 타 출연연 대학 포함

(

,

)

◦ 창업커뮤니티 연계한 창업경진대회 도입

2017

◦ 창업기업 현황 분석 및 기업특성에 따른 맞춤형 지원 도입
◦ 창업교육 프로그램 운영 결과 검토 및 개선방안 설정

중소기업

협력도

2015

◦ 중소기업 대상 기술 및 인프라 지원 강화 기술이전 증대 장비개방률 향상 등

(

,

)

2016

◦ 지원대상 중소기업 확대 협력기업 확대 수출지원 기업 확대 등

(

,

)

2017

◦ 중소기업 협력도 성과분석 및 차기 목표설정 반영


background image

부문별  계획

 

경영성과계획서

2015~2017 

95

추진계획  3-3

지역  조직의  지역  산업 과학기술에의  기여  강화

/

주요내용

(1) 

◦ 필요성 국가 항공우주산업 경쟁력 강화를 위해 항공우주 연구개발의 전초기지를 구축하고

(

항공우주  저변확대  및  국민  교육의  장으로서의  역할  강화  필요

◦ 추진방향 항공우주  연구개발을  위한  인프라  구축을  통해  산업체의  센터  시험시설  활용 

(

확대 지자체  및  지역기관과의  협력교류  강화 과학기술  문화  확산  및  미래  과학인재  육성

※ 항공센터와 나로우주센터는 소관연구기관 본원 외 조직 설치 운영지침 에 따라 본원 외 조직에 해당하나,

인사 및 재정 등이 독립된 분원과 달리 본원에 소속되어 있으며, 항공우주분야의 특성상 해당 지역에 대한

사회 경제적 기여를 포함하고 나아가 국가 전역에 기여할 수 있는 인프라 구축 및 운영을 목표로 함

·

※ 항공센터와 우주센터의 인프라 구축은 연구부문의 추진계획

항공센터와 항공시험평가 설비 운영을

1-5.

통한 항공기 개발 인프라 구축 및 기술 지원 과 추진계획

한국형발사체 발사 나로우주센터 인프라

4-3.

(

)

구축 에서

목표치로 설정

본원 외 지역조직 운영현황

<

>

구분

고흥 항공센터

나로 우주센터

위치

전남 고흥군 고흥읍

전남 고흥군 봉래면 제주추적소 제주 서귀포시 표선면

(

)

설립연도

2002

2009

센터 임무

◦ 유 무인항공기 등 선도

기술 항공기 개발시 비행

시험 수행

◦ 독자적인 비행시험 평가

인프라 및 기술 확보

◦ 대형시험시설 훨타워

(

착륙장치 낙하시험

/

)

운용

◦ 우주기술 독자개발 능력 확보를 위한 인프라 구축

- 연구발사운영관리동 제주 운영준비동 제주 정문면회동 발사체

,

,

,

보관동 종합조립동 발전소동 등 신규 및 확장 구축

,

,

- 제어계측동 연소기연소시험설비 터보펌프실매질시험설비 추진

,

,

,

기관시스템 시험 설비 등 신규 구축 및 운영

- 한국형발사체 시험설비 운영 및 시험 지원 등

◦ 우주산업분야 세계

위 진입을 위한 전초기지 구축 및 운영

10

◦ 우주과학관을 통한 국가우주개발에 대한 대국민 홍보 및 이해기반 구축

- 우주과학관 신규 프로그램 개발 및 전시관 구축 등

현재

운용인력

비정규직

1

위탁관리

(

)

정규직

명 비정규직

37 ,

15

시설현황( )

◦ 부 지 93,396

◦ 연면적

7,106

◦ 부 지

나로우주센터 우주과학관 및 제주추적소

5,238,876(

,

)

◦ 연면적

나로우주센터 우주과학관 및 제주추적소

379,128(

,

)

조감도

항공센터

나로우주센터

우주과학관

제주추적소


background image

96

성과목표와의  부합성

(2) 

◦ 독자적인 항공우주기술  확보와  국가  항공우주  산업의  도약을  위한  지역조직의  인프라 기술 

및  인력  등을  보강 활용하여 국가와  지역의  산업 과학기술  발전의  토대  마련

/

세부  실행계획

(3) 

❏ 연차별  목표치

항목

실적

목표

2013

2014

2015

2016

2017

비행시험시설 개방 및

공동 활용 확대

개 기관

6

개 기관

9

개 기관

11

개 기관

15

개 기관

20

지자체 및 지역기관과

의 협력교류 강화

우주항공 관련 실무 협의회 운영

<

1)>

1

3

회 이상

6

회 이상

12

회 이상

12

과학기술 문화 확산

및 과학인재 육성

◦ 우주과학관의 교육 및

과학문화 확산 프로그램

진행 건

(5 )

◦ 인간동력항공기경진대

회 캔위성 경연대회 건

,

(2 )

우주과학관의 교육 체험 인프라 구축

<

2)>

콘텐츠 전시

/

공간 확보를

위한 타당성

조사

영상관

3D

구축 및 전시

공간 확충

위성영상

활용관 구축

콘텐츠 확대

및 전시공간

확충

과학문화 확산 및 인력 양성 기여

<

>

10

건 이상

17

건 이상

24

건 이상

30

❏ 목표  도출  근거

구분

최종 목표

목표 도출근거

비행시험시설

개방 및 공동

활용 확대

개 기관

20

◦ 연구부문 성과목표

에 따라 구축예정인 항공센터의 비행시험 시설의

1-5

외부개방 및 활용 확대

넥스원

충남대 대한항공 등 총

개 기관 사용

(’13) LIG

, ADD,

,

6

샘코 유콘시스템

카이스트 등 총

개 기관 사용

(’14)

,

, KAI,

9

지자체 및 지역기관

과의 협력교류 강화

회 이상

12

◦ 지역기관과의 우주항공 관련 실무 협의회 구축을 강화하고 정기적 상시

,

/

적인 협력교류의 장으로 확대 발전시키는 것으로 설정

실무협의회 정기적 개최 연

회 분기별 및 필요시 상시 개최

-

(

1

)

지역사업 공유 상호협력 및 발전방안 마련에 적극 활용 인간동력항공기

-

,

:

경진대회 공동개최 고흥군 항공우주 관련 사업 논의 지원 등

,

·

과학기술

문화확산 및

과학인재 육성

콘텐츠 확대 및 전시

공간 확충

◦ 우주과학관의 콘텐츠 및 전시 공간 확보를 위한 타당성 조사를 바탕으로

교육 체험 인프라 확장 구축

·

과학문화 확산 및

인력양성에

기여

건 이상

(30

)

◦ 우주과학관의 지역문화 단체와 연계한 융 복합 전시 과학 앰배서더

,

등 신규 프로그램 확대

(Ambassador)

◦ 우주과학관의 돔영상관 우주과학교실 전시 프로그램 우주과학캠프 나

/

/

,

,

로도 학생수련원 연계프로그램 등 기존 프로그램의 확대 운영

·

◦ 지역주민 이주민 초청 행사 인간동력항공기 경진대회 등 개최 지원

/

,

◦ 항우연 제주대학교 연구협력

를 통한 위탁과제 신규 추진

-

MoU(’12)


background image

부문별  계획

 

경영성과계획서

2015~2017 

97

연차별  세부계획

(4) 

구분

연도

실행계획

외부기관의 센터

시설 활용 확대

2015

◦ 외부 산업체의 항공센터 비행시험시설 사용

개 기관

(11

)

2016

◦ 외부 산업체의 항공센터 비행시험시설 사용

개 기관

(15

)

2017

◦ 외부 산업체의 항공센터 비행시험시설 사용

개 기관

(20

)

지자체 및 지역기

관과의 협력교류

강화

2015

◦ 우주항공 관련 실무협의회 운영 정기 개최

회 수시 개최

회 이상

(

2 ,

4

)

◦ 광주 및 전남 교육청과

체결

MoU

2016

◦ 우주항공 관련 실무협의회 운영 정기 개최

회 수시 개최

회 이상

(

4 ,

8

)

2017

◦ 우주항공 관련 실무협의회 운영 정기 개최

회 수시 개최

회 이상

(

4 ,

8

)

과학기술 문화확

산 및 과학인재

육성

2015

◦ 우주과학관

영상관 구축 및 전시공간 확충

3D

◦ 우주과학관의 지역문화 단체와 연계한 융 복합 전시 신규

(

)

◦ 과학 앰배서더 등 찾아가는 과학교실 추가 프로그램 개발 신규 연

(

,

5 )

◦ 우주과학관 돔영상관 우주과학교실 전시 프로그램 운영 우주과학캠프 나

/

/

,

,

로도 학생수련원 연계프로그램 발전 운영 건

(5 )

◦ 지역주민 이주민 초청 행사 인간동력항공기 경진대회 캔위성 경연대회

/

,

,

,

풍동 워크샵 개최 건 이상

(5

)

◦ 지역 대학 제주대 의 위탁연구 과제 추진

(

)

2016

◦ 우주과학관 위성영상 활용관 구축
◦ 우주과학관의 지역문화 단체와 연계한 융 복합 전시 및 신규 프로그램

개발

◦ 과학 앰배서더 등 찾아가는 과학교실 운영 연

회 이상

(

10

)

◦ 우주과학관 돔영상관 우주과학교실 전시 프로그램 운영 우주과학캠프 나

/

/

,

,

로도 학생수련원 연계프로그램 발전 운영 건

(5 )

◦ 지역주민 이주민 초청 행사 인간동력항공기 경진대회 캔위성 경연대회

/

,

,

,

풍동 워크샵 개최 건 이상

(5

)

◦ 지역 대학 제주대 의 위탁연구 후속 과제 발굴 및 워크샵 개최

(

)

2017

◦ 우주과학관 콘텐츠 확대 및 달 탐사관 등 전시 공간 확충

,

◦ 우주과학관 지역문화 단체와 연계한 융 복합 전시

,

◦ 우주과학관 신규 프로그램 개발 및 콘텐츠 업데이트

,

◦ 과학 앰배서더 등 찾아가는 과학교실 운영 연

회 이상

(

15

)

◦ 우주과학관 돔영상관 우주과학교실 전시 프로그램 운영 우주과학캠프 나

/

/

,

,

로도 학생수련원 연계프로그램 발전 운영 건

(5 )

◦ 지역주민 이주민 초청 행사 인간동력항공기 경진대회 캔위성 경연대회

/

,

,

,

풍동 워크샵 개최 건 이상

(5

)

◦ 지역 대학 제주대 의 위탁연구 신규 과제 추진

(

)


background image

98

추진계획  3-4

대외 공공 서비스  수준  향상  및  국가정책적  기여도  향상

(

주요내용

(1) 

◦ 필요성

(

)  국민과  정부는  항공우주분야의  지식정보  및 

정책동향  등  대외  서비스의 

R&D 

고도화  및  기관  역량을  활용한  국가정책에  대한  적극적인  활동과  기여를  주문

– 항공우주분야  저변  확대  및  연구경쟁력  향상을  위한  학술연구  통합정보  제공  서비스의 

고도화를  통한  국민의  지속적  관심과  성원  획득  필요

– 국내  유일의  항공우주  국책  연구기관으로서  항공우주  국가 

정책수립  지원을  위한 

R&D 

주간  단위  제공  자료의  내실화  필요

– 정부의  항공산업발전 기본계획

우주개발 중장기계획

우주기술 산업화 전략

(’10)’, ‘

(’13)’, ‘

(’13)’, 

위성정보활용  종합계획

우주위험대비  기본계획

등의  안정적  추진을  위한 

(’14)’,  ‘

(’14)’ 

시행계획  수립  지원  필요

◦ 추진방향

(

)  연구원이  보유한  연구정보  및  정책정보를  적시에  제공하고  국가  항공우주개발 

계획  수립을  적극적으로  지원하여  항공우주분야의  고객  만족도  향상

구분

내용

항공우주 지식정보

서비스 강화

◦ 맞춤형 서비스 제공을 통한 연구정보의 효과적 활용방안 확대

◦ 기관이 축적한 지식정보의 공유 확대를 통한 부가가치 창출에 기여

정책정보센터 고도화

e-

◦ 심층 분석 자료의 확대를 통한 콘텐츠 강화 및 질적 수준 고도화

자체적으로 설정한 분석자료의 질적 지수 방법에 따라 매년 평가 및 점검

-

정책정보센터 정책고객 수요 분석 및 고도화 방안 마련

- ‘e-

정부 항공우주개발

계획 수립 지원

◦ 정부 항공우주개발 발전 및 추진력 강화를 위한 계획 수립 지원

- 연도별 시행계획 수립 지원 등

성과목표와의  부합성

(2) 

◦ 항공우주기술의  발전  추세와  그에  따른  미래사회의  변화를  예측하는  각종  정보의  상시적 

제공으로  항공우주  성과활용  기반  역할  강화

◦ 국가 항공우주개발의 지속적 장기적 발전을 위한 국가 계획 수립에 필요한 자료 제공 및 방향 

·

설정  제시를  통해  국가  정책적  기여도  향상


background image

부문별  계획

 

경영성과계획서

2015~2017 

99

세부  실행계획

(3) 

❏ 연차별  목표치

항목

실적

목표

2013

2014

2015

2016

2017

항공우주 지식정보

서비스 강화

전자도서관 외

정보시스템

운영

원외서비스

KARI Discovery

1) 운영

시스템구축

30

52

52

Open-API

2) 서비스 확대 제공

개발 및 적용

개 기관

5

개 기관

10

개 기관

15

정책정보센터

e-

고도화

◦ 주간 뉴스

레터 발송

분석자료의 질적 지수

<

3) 확대>

0.7

0.75

0.8

0.85

정부 항공우주개발

계획 수립 지원

정부 항공우주 계획 수립 지원 지수

<

>

4)

0.8

1.0

이상

1.2

이상

1.5

이상

2.0

1)

원외 서비스 이용자의 이용정보 패턴 분석을 통한

을 기반으로 유용한 연구정보를

KARI Discovery

(

)

“Profile”

선별하여 제공 추천하는 메일링서비스

/

2) Open-API(Application Programming Interface) 기관의 데이터를 누구나 연동해서 활용할 수 있도록 지원하는 기능

3) 분석 자료의 질적 지수 = 

정보제공 총 횟수

서비스별 질적 수준 가치

※ 서비스별 질적 수준 가치 정보의 중요도와 난이도 등을 고려하여 질적 수준을 지표로 산출

고급 분석자료

동향 정보자료

항공우주 관련 소식

(

1,

0.8,

0.5)

- 고급 분석자료 항공우주 분야 주요 이슈 분석 자료 학술지 논문 발표자료 등

,

/

- 동향 정보자료 해외 언론의 항공우주 뉴스 요약 분석 해외 주요기관의 소식지 연계 요약자료 제공 등

·

,

- 항공우주 관련 소식 국내 언론의 항공우주 관련 주요 소식 연계

4) 정부 항공우주 계획 수립 지원 상대 지수

당해 연도 정부 항공우주 계획 수립 지원 지수

년도 정부

= (

) / (2014

항공우주 계획 수립 지원 지수)

※ 정부 항공우주 계획 수립 지원 지수

중장기 계획 수립 지원 건수

연도별 시행계획 수립

=

(

×10) +

지원 건수

정부 업무 관련 지원 건수

현황 및 일반 정보 제공 건수

(

×5) +

(

×1) +

(

×0.5)

❏ 목표  도출  근거

구분

최종 목표

목표 도출근거

항공우주 지식

정보 서비스 강화

맞춤형 서비스 확대 및

개 기관에

30

서비스 실시

Open-API

◦ 외부 이용자를 대상으로 연구원 주요 성과 및 항공우주 최신 정보

제공을 통해 창조경제 성장 동력 창출에 기여

◦ 국내 항공우주분야 지식정보 제공허브 역할 수행

정책정보센터

e-

고도화

질적 지수

달성

0.85

정책정보센터

매주 회 발송

KARI e-

Newsletter

1

년 항공우주 분야 분석자료 총

건 매주 약 건 제공

2013

450 (

8 )

◦ 항공우주 분야 심층 분석 자료의 양적 확대 및 질적 강화 추진

정책정보센터의 정책고객 수요분석 및 고도화 방안 조사

- ’15

‘e-

외부 전문가를 통한 원고의 질적지수 및 평가방법 점검

-

정부

항공우주개발

계획 수립 지원

상대 지수

이상

2.0

달성 및 정책지원

내실화 강화

◦ 정부의

개 우주관련 계획에 대한 연도별 시행계획 수립 지원 및

4

차기 정부의 우주개발 정책 수립 방향 제시

◦ 제 차 항공기본계획 수립 및 핵심기술로드맵 등 항공정책 수립 지원

2


background image

100

연차별  세부계획

(4) 

구분

연도

실행계획

항공우주 지식

정보 서비스 강화

2015

원외 서비스 구현

KARI Discovery

- 이용자 대상 확대 및 컨텐츠 수요조사 실시

- 원내 외 서비스 이원화 체계 구현 대상별 서비스 및 시스템 별도 구축

/

- 컨텐츠 재구성 및 대상별 카테고리 적용 방안 마련 등

- 메일링 서비스 제공

30

서비스 제공

Open-API

- 확대 방안 마련 및 기관 협약을 통한

데이터 제공 개 기관

Open-API

(5

)

2016

메일링 서비스 제공 원내 외 각

KARI Discovery

/

52

제공기관 확대 및 데이터 제공

개 기관

Open-API

(10

)

2017

메일링 서비스 제공 원내 외 각

KARI Discovery

/

52

제공기관 확대 및 데이터 제공

개 기관

Open-API

(15

)

◦ 지속적인 시스템 기능개선 및 이용자 의견수렴 반영 등

정책정보

e-

센터 고도화

2015

◦ 주간

정책정보

회 발송

e-

Newsletter 52

◦ 국내외 항공우주분야 정책 산업 기술 모니터링 및 동향분석 자료 제공

/

/

정책정보센터의 정책고객 수요분석 및 고도화 방안 마련

‘e-

외부 전문가를 통한 원고의 질적지수 및 평가 방법 점검

-

2016

◦ 주간

정책정보

회 발송

e-

Newsletter 52

◦ 국내외 항공우주분야 정책 산업 기술 모니터링 및 동향분석 자료 제공

/

/

2017

◦ 주간

정책정보

회 발송

e-

Newsletter 52

◦ 국내외 항공우주분야 정책 산업 기술 모니터링 및 동향분석 자료 제공

/

/

정부 항공우주개발

계획 수립 지원

2015

◦ 항공산업발전 기본계획 수정 보완 지원

·

◦ 우주분야 시행 계획 수립 지원 체계 구축 및 지원 건

(4 )

◦ 우주분야 법 규정 관련 개정 안 작성 등 지원

,

( )

◦ 무인기 산업생태계조성 추진계획 수립 지원

2016

◦ 관련기관의 현황 및 계획 등을 종합하여 우주분야 시행 계획 수립 지원 건

(4 )

◦ 현 정부의 국정과제에 포함된 우주개발 계획에 대한 성과 분석
◦ 새롭게 수립된 항공산업발전 기본계획 후속 조치 지원

2017

◦ 관련기관의 현황 및 계획 등을 종합하여 우주분야 시행 계획 수립 지원 건

(4 )

◦ 현 정부의 국정과제에 포함된 우주개발 계획에 대한

년간의 성과 분석

5

◦ 차기 우주개발 진흥 계획 수립 기획 연구 지원

◦ 항공산업 발전

계획 수립 지원

R&D


background image

부문별  계획

 

경영성과계획서

2015~2017 

101

추진계획  3-5

산 학 연  협력  및  융합 협동연구  강화

· ·

·

주요내용

(1) 

◦ 필요성 국가적으로  출연 연 협력 융합  연구분야  발굴  및  투자  확대  요구

(

( ) 

– 융합연구  촉진을  위한  제도  마련 융합연구  예산  규모  증가  추세에  따라  연구원  차원의 

체계적인  발굴과  관리가  필요한  시점

※ 연구회는

년부터 융합 클러스터 융합연구단 사업 신규 추진 등 규모 확대

년도 연구회 융합연구사업

’14

’, ‘

(’14

규모 총

억원 이 중 신규과제는

억원

830

,

162

)

연구회 융합연구사업비 향후 투자 규모

<

>

개수는 융합연구단 기준이며 매년 개 내외 신규 지원

*

,

5

년까지 융합연구사업비

억원 투자 증액 예정

* ’17

610

항우 연 융합연구사업비 규모

<

( )

>

기준 연구회 주관 및 주요사업비내 융복합연구 직접비

*

(

)

– 출연 연 기술의  국방기술  활용성  요구  증가 이를  위한  민군기술협력  및 

출연 연

( ) 

ADD-

( ) 

교류  확대  등에  대응한  체계적인  협력  전략  필요

– 해외  선진기관도  외부  산 학 연  기관의  역량  최대  활용한  기술혁신  모색

ㆍ ㆍ

년 설립 에서 기술혁신을 총괄 관리하면서 연구개발 단계별

[NASA] Office of the Chief Technologist(’10

)

개 프로그램으로 구분하여 산 학 연과의 기술 전략적 융합 추진

10

ㆍ ㆍ

◦ 추진방향

(

)  융합 협력연구  사업비  확대  및  산 학 연  협력  강화

·

· ·

구분

내용

융합 협력연구

사업비 확대

◦ 주요사업과 연구회 수탁으로 진행하는 융합협력연구 사업을 점진적으로 증대

산 학 연

ㆍ ㆍ

협력 강화

◦ 새로운 융복합 연구분야를 지속적으로 발굴하기 위해 분야별로 다양한 연구기관 학계

·

·

산업계와의 교류회의 분야를 확대

◦ 한국형발사체 공동설계 및 차세대중형위성 개발사업

년 신규 관련 협력업체의 원내

(’15

)

,

상주인력 수를 증대하여 설계 기술 및 노하우 전수 등 협력 강화


background image

102

성과목표와의  부합성

(2) 

◦ 혁신적인 아이디어부터 기술검증까지 전략적 기술 융합을 유도함으로써 항공우주 역량의 타 

분야  확산

을  강화하고  미래  성장동력  창출  기반  확대에  기여

(spin-off)

세부  실행계획

(3) 

❏ 연차별  목표치

항목

실적

목표

2013

2014

2015

2016

2017

융합 협력연구

사업비 확대

융합 협력연구 사업비

<

1)>

31

63

70

85

95

산 학 연

ㆍ ㆍ

협력 강화

융합 및 협동 연구 교류회의 분야 기준

<

(

)

2)>

개 분야

8

분야

12

분야

15

분야

17

분야

19

민군협력 및

출연연 간

융합과제 등 교류

신규 융합연구

주요사업 를 위한

(

)

교류 추가

항공 분야

신규 협의회의

추가

달탐사

사업 정부수탁

(

)

교류회의 추가

신규 교류 분야

개 이상

2

산연 공동설계팀 상주 인력 수

<

3)>

51

69

명 이상

80

명 이상

90

명 이상

100

1) 융합협력연구 사업비 기준 연구회 주관 사업 국가사회적문제해결형사업 창조적융합연구사업 민군협력사업

(

,

,

,

융합연구단 사업 과 기관 주관의 융합사업 주요사업비 으로서 연구회 재원과 기관 재원 직접비 포함 산업체

)

(

)

(

)

. (

및 학계와 협력으로 추진하는 정부수탁사업 한국형발사체 차세대중형위성 등 은 미포함

(

,

)

)

2) 산업화 사업 발굴 연구회 및 주요사업의 융복합연구 민군협력 등의 산 학 연 교류 분야 기준

,

,

ㆍ ㆍ

한국형발사체 공동설계팀 및 차세대중형위성 개발사업

년 신규 관련 협력업체의 원내 상주인력 수 기준

3)

(’15

)

,

❏ 목표  도출  근거

구분

최종 목표

목표 도출근거

융합 협력연구

사업비 확대

95

◦ 다양한 융합연구 발굴 및 사전기획 강화로 융복합사업 참여 규모를

최소 연

억 이상 증대시키는 것으로 설정

10

산 학 연

ㆍ ㆍ

협력 강화

융합 및 협동 연구

교류회의

19

분야

년 기준의

교류 민군기술 협력 교류를 비롯하여 주요사업 융

’14

ADD

,

합연구 등의 기존 교류 분야 외에 신규 교류회의 추진

항공 복합재료 산업화

무인기 산업생태계 조성 추진단 등

- ‘

’, ‘

협력업체의 원내

상주인력 수

100

이상

◦ 한국형발사체 공동설계팀

년부터 협력업체의 원내 상주인력을 수

: ’13

용하기 시작 현재

개 업체의 요청에 따라

년까지 지속 운영

,

11

’17

·

◦ 신규 차세대 중형위성 개발사업

월 예정 협력업체 선정 후

(

)

: ’15

3 (

)

,

해당 업체의 요청에 따라 상주인력을 별도제한 없이 수용할 계획


background image

부문별  계획

 

경영성과계획서

2015~2017 

103

연차별  세부계획

(4) 

구분

연도

실행계획

융합 협력연구

사업비 확대

2015

◦ 무인기 수소왕복엔진 등 융복합 사업

개 신규 추진

2

◦ 주요사업 사전 기획사업 추진 시 신규 융복합 연구분야 발굴
◦ 융복합연구 공유 세미나를 개최하여 융복합연구 이슈 및 개선필요사항 공유

2016

◦ 융합협력연구 예산 전년 대비

억 증액

10

주요사업 또는 수탁

(

)

◦ 융복합연구 공유 세미나를 개최하여 융복합연구 이슈 및 개선필요사항 공유

2017

◦ 융합협력연구 예산 전년 대비

억 증액

10

주요사업 또는 수탁

(

)

◦ 융복합연구 공유 세미나를 개최하여 융복합연구 이슈 및 개선필요사항 공유

산 학 연

ㆍ ㆍ

협력 강화

2015

◦ 융복합 신사업 창출을 위한 항공 분야 산학연 교류회의 강화

복합재료 산업화 레이더 등 첨단센터 기술 산업화 무인기 산업생태계 조성

-

,

,

등의 미래 융복합 연구분야에 대한 신규 협의회의 착수

한국형발사체 공동설계팀

협력업체의 상주인력

명 이상

:

73

차세대 중형위성 개발사업

협력업체의 상주인력

명 이상 신규

:

7

(

)

2016

우주 탐사 분야 산학연 교류회의 강화

달탐사 사업 국책사업 의 본격 착수에 따라 원천 핵심기술 공동개발을 위한

-

(

)

·

학연 협의체 탐사기술 공동개발 및 최종 제품개발 협력을 위한 산업체

,

협의체 구성 및 추진

한국형발사체 공동설계팀

협력업체의 상주인력

명 이상

:

75

차세대 중형위성 개발사업

협력업체의 상주인력

명 이상

:

15

2017

◦ 융복합 신사업 창출을 위한 신규 분야 교류회의 진행

한국형발사체 공동설계팀

협력업체의 상주인력

명 이상

:

75

차세대 중형위성 개발사업

협력업체의 상주인력

명 이상

:

25


background image

104

성과목표  4

정부정책에 부합하는 합리적 운영체제 구축 정책분야

(

)

공통분야

기  본  방  향

개요

◦ 목적

(

) 국내외 전반에 걸쳐 개방 소통 공유 협력 등 정부 정책의 핵심가치에 대한 적극적 구현

·

·

·

◦ 필요성 항공우주 과학기술의 대국민 소통과 국제사회 협력 증진 등을 강화하기 위해 항공우주

(

)

분야 개방 소통 공유 협력을 촉진하는 다양한 활동 추진 필요

·

·

·

경영목표 달성 추진전략과 성과목표와의 연관성

항공우주 과학

(Knowledge)

기술의 대국민 홍보강화 및
항공우주분야 저변 확대

핵심기술

(Advancement)

확보를 통한 독자적 우주기술

개발 및 국제적 역량 제고

장비 중복

(Responsibility)

구매 방지 등

투자 효율성

R&D

제고 및 안전관리체계 혁신

추진방향

◦ 국민소통과 과학교육 다각적인 국민소통채널 및 소통 콘텐츠 개발 항공우주 과학교육

(

)

,

◦ 맞춤협력 협력 대상별 차별화된 국제협력을 통한 항공우주 핵심기술 확보로 독자 우주개발 역량

(

)

제고 및 다각적 우주협력 확대를 통한 국제사회 우주외교 역량 확충

개방 공유 정부

의 비전과 가치를 적용한

적극 구현 연구시설 장비의 체계적

(

·

)

3.0

KARI 3.0

,

·

◦ 

관리를 통한 연구지원 인프라 개선 및 안전관리시스템 구축

추진계획

성과지표 수 개

( )

4-1

국민  소통과  항공우주  과학교육을  통한  항공우주  과학기술  발전

3

글로벌 파트너쉽 강화를 통한 전략적 국제협력 활성화

4-2

3

정부

비전과 가치를 반영하는

구현

4-3

3.0

KARI 3.0

3

연구시설 장비 구축 관리 효율성 제고 및 안전관리 강화

4-4

3


background image

부문별  계획

 

경영성과계획서

2015~2017 

105

추진계획  4-1

국민  소통과  항공우주  과학교육을  통한  항공우주  과학기술  발전

주요내용

(1) 

◦ 필요성

(

) 국가  거대  과학기술로써  국민적  이해와  공감을  얻기  위한  국민  소통을  강화  및 

   

항공우주 과학교육을 통한 미래 우수 과학기술인재 양성 등 국가  항공우주 과학기술 발전에 

기여  필요 

– 국민소통 강화를 위한 언론홍보 강화 및 모바일 환경 변화에 부합한 대국민 

소통채널 

SNS 

확대  필요

국민  참여 체험  확대를  위한  홍보  및  과학교육  증진  필요

/

– 

◦ 추진방향

(

)  항공우주  정책  및  연구성과에  대한  언론  홍

 

보  강화 다각적  국민  소통채널  및 

국민  소통  콘텐츠  개발을  통한  국민적인  이해  확보  및  글로벌  항공우주  과학교육  실현

항공우주 정책 및 연구개발에 대한 언론보도 총량 확대 미디어의 연구개발 현장 기회 확대 

– 

등  전략적인  미디어  홍보  강화

– 대국민  소통증진을  위한 

신규채널  개설로  일상적  국민  소통  실현

SNS 

국민  참여 체험형  과학교육프로그램  개발  운영 미래  우수  인재양성을  위한  전주기적 

/

– 

교육시스템  구축  및  글로벌  교육프로그램  확대

추진 내용

<

>

언론홍보 강화를 통한

국민 이해 제고

◦ 항공우주 과학기술에 대한 국민 이해 제고를 위한 홍보프레임 변화

- 방송특집 기획기사를 통한 심층 홍보 강화 및 언론보도 총량 확대

,

- 주요 연구개발사업의 현장브리핑 및 현장설명회 강화

- 항공우주 미디어 전문위원회 운영 등 의견수렴을 통한 정책 반영

온라인 국민 소통 확대 및

일상적 국민 소통 실현

◦ 모바일 온라인 기반의 일상적 국민 소통 체계 구축

,

국민 소통 채널 확대 및 소셜센터 개설을 통한 국민과의 소통 강화

SNS

- 국민 참여 체험 기회 확대 등 일상적 쌍방향 소통 실현

/

- 동영상 그래픽 등 항공우주 멀티미디어 콘텐츠 개발 및 보급

,

미래 우수과학인재 양성 및

글로벌 항공우주 교육시스템

구축

◦ 청소년 일반 국민 대상의 체험형 과학교육 콘텐츠 및 프로그램 개발 운영

,

- 현장체험 탐구 진로탐색 프로그램 등 현장 체험프로그램 강화

/

,

-

환경에 맞는 항공우주 과학교육 스마트시스템 구축

IT

◦ 선진 항공우주 연구기관과의 교육분야 협력을 통한 글로벌 과학교육 강화

국제인턴십 프로그램 국제우주교육위원회 국제학생프로그램 등

NASA

,


background image

106

성과목표와의  부합성

(2) 

◦ 국가  항공우주  과학기술  발전의  토대로써  국민  소통  증진

◦ 국민  소통  체계  확대  및  일상적  국민  소통  실현을  통한  국민적  이해와  신뢰  확보

◦ 미래  항공우주  과학기술  인재  양성으로  국가  항공우주  기술발전  및  경쟁력  제고에  기여

세부  실행계획

(3) 

❏ 연차별  목표치

구 분

실적

2013

2014

2015

2016

2017

언론홍보

강화를 통한

국민 이해

제고

언론 보도건수

-

1,039

1,300

1,600

2,000

대국민 이해도

64%

67%

70%

75%

온라인 국민 소통 확대 및

일상적 국민 소통 실현

소통지수

(SNS

)

-

만명

754

만명

960

만명

1,300

만명

1,700

미래 우수과학인재 양성 및

글로벌 항공우주 교육시스템

구축

참가자 수 만족도

(

/

)

-

36,395

43,000

만족도

97

48,000

만족도

97

54,000

만족도

97

연간 언론보도 건수

*

신문

=

+ 방송 + 인터넷 보도건수

대국민 이해도

대국민 인식조사 실시

*

:

소통지수

* SNS

페이스북

=

1) + 트위터2) + 유튜브3) +

신규채널

(SNS

)

과학교육 참가자 수

*

4)

교육프로그램 참가자 수

교육채널 이용자수

=

+

만족도

*

5)

교육참가자 대상 프로그램 만족도 조사 결과

=

년 간 페이지 좋아요 수

년 간 콘텐츠 게재 수

1) 1

× 1

년 간 팔로워 수

년 간 콘텐츠 게재 수

2) 1

× 1

년 간 유튜브 조회

3) 1

년 간 콘텐츠 게재 수

× 1

년 간 국민 참여 체험형 과학교육 프로그램 참가자수 및 교육채널 이용자 수

4) 1

/

년 간 국민 참여 체험형 과학교육 프로그램 참가자 만족도 결과

5) 1

/


background image

부문별  계획

 

경영성과계획서

2015~2017 

107

❏ 목표  도출  근거  및  평가 검증 방법

(

구 분

최종목표

목표 도출근거

언론홍보 강화를 통한

국민 이해 제고

- 언론보도총량

2,000

국민 이해도

-

75%

거대과학 분야인 항공우주 정책 및 기술 개발에 대한 국민

이해와지지 확보를 위한 전략적 언론홍보 강화를 통해
항공우주 분야에 대한 국민 이해도 및 지지도 향상

온라인 국민 소통 확대

및 일상적 국민 소통

실현

만명

1,700

항공우주 과학기술에 대한 대국민 소통 증진을 위해 SNS

소통채널 신규개설 및 일상적

콘텐츠 개발 등을 통해

SNS

국민과의 일상적 국민 소통 실현

미래 우수과학인재 양성

및 글로벌 항공우주

교육시스템 구축

54,000명

만족도

/

97

◦ 미래 우수과학인재 양성을 위하여 청소년 및 학부모 일반인

(

)

대상 체험형 과학교육프로그램 및 글로벌 과학교육 기회
확대 등을 통한 수혜자와 만족도 증대

연차별  실행계획

(4) 

구분

연도

실행계획

언론홍보 강화를 통한

국민 이해 제고

2015

◦ 항공우주 연구개발 성과 홍보 프레스킷 및 그래픽 개발 보급
◦ 항공우주 미디어 전문위원회 운영을 통한 홍보정책자문

항공우주 대국민 인식조사 실시

2016

◦ 오피니언리더 언론인 대상 현장브리핑 및 현장설명회 개최

/

◦ 국민 이해 제고를 위한 방송특집프로그램 기획

항공우주 대국민 인식조사 실시

2017

◦ 우주개발 방송특집프로그램 제작방영
◦ 항공우주 신문 심층기획보도

항공우주 대국민 인식조사 실시

온라인 국민 소통 확대

및 일상적 국민 소통

실현

2015

국민 소통 채널 신규 개설 운영 및 소통 콘텐츠 개발 확대

SNS

◦ 전문가 자문 기반 최신 트렌드를 반영한

전략 수립 및 시행

,

SNS

2016

◦ 대국민 소통 포탈

소셜센터 개설 운영

‘KARI

◦ 대국민 생활공감형 연구성과

콘텐츠 개발 총량 확대

SNS

2017

국민 이벤트 확대 등 국민 참여 기회 확대

SNS

국민 고객 대상 과학기술 현장소통 프로그램 개최

SNS

미래 우수과학인재

양성

및 글로벌 항공우주

교육시스템 구축

2015

국제 인턴쉽 프로그램 신설

NASA

◦ 에듀케이터 교사 방과후 교사 지도교사 대상 항공우주 교육과정 신설

(

,

,

)

2016

◦ 항공우주 과학교육

종 개발을 통한 스마트 과학교육 실행

App(4 )

◦ 자유학기제 시행에 따른 학교별 맞춤형 과학탐방 프로그램 신설

2017

◦ 항공우주 과학교육

종 개발을 통한 스마트 과학교육 실행

App(5 )

◦ 항공우주 과학교육 그래픽 제작 보급


background image

108

추진계획  4-2

글로벌  파트너쉽  강화를  통한  전략적  국제협력  활성화

주요내용

(1) 

◦ 필요성 세계  우주협력  추세를  반영한  글로벌  파트너쉽  강화  필요

(

– 국가  우주분야  국제협력이  기술협력을  통한  추격형  연구개발에서  핵심기술  확보를  위한 

세부기술별  공동연구  수행  등  기술자립형  국제협력  추세  강화

– 주요  국가우주개발사업  수행을  위한  다변화된  전략적  국제협력  및  변화된  우리나라 

우주개발  역량과  세계  우주협력  추세를  고려한  맞춤형  국제협력  추진  필요

◦ 추진방향 대상별  차별화된  전략을  통한  상호  호혜적  국제  우주협력  강화

(

– 우주선진국과의  전략적  파트너쉽  구축을  통한  독자  우주개발  역량  제고

– 우리나라  우주개발  역량을  고려한  맞춤형  개도국  국제  협력  추진

– 정부 비정부간  국제기구  활동을  통한  다각적  우주협력  확대  및  우주외교  역량  강화

성과목표와의  부합성

(2) 

◦ 국정과제  세부항목

번  제 호

우주국제협력  강화 를  위한  주요  추진  전략으로 

년 

(25

4 ) 

’13

개정된  우주개발중장기계획

의  우주개발  국제협력  강화를  위한  주요  시행계획의 

(’14~’40)

체계적인  수행

※ 시행계획 주요내용 발사체개발 및 달 탐사 등 국가우주개발사업의 원활한 추진을 위한 기술협력 우주과학

,

국제협력 강화 개발도상국 우주분야

공적개발원조 사업 추진 우주분야 정부 비정부 국제기구

,

ODA(

)

,

참여확대를 통한 국가위상 제고


background image

부문별  계획

 

경영성과계획서

2015~2017 

109

세부  실행계획

(3) 

❏ 연차별  목표치

항목

실적

목표

2013

2014

2015

2016

2017

항공우주
기술자립

위한

글로벌

공동연구

수행

1

정지궤도복합위성
해양 환경탑재체

/

공동 개발협약

위성탑재체 분야

(

)

미국

(

Airbus/Ball

Aerospace, ’13)

3

위성 탑재체 분야
한국형발사체

개발협력 계약
체결

1)

달 탐사 타당성
연구 협약체결

4

위성 탑재체 분야
발사체 분야

달 탐사 분야
위성용

분야

S/W

신규

(

)

5

위성 탑재체 분야
발사체 분야

달 탐사 분야
위성용

분야

S/W

항공 회전익 분야

(

)

신규

(

)

6

위성 탑재체 분야

발사체 분야

달 탐사 분야

위성용

분야

S/W

항공 회전익 분야

(

)

위성정보활용 분야

신규

(

)

맞춤형

국제

협력을

통한

우주협력

다변화

우주개도국 대상
국제우주교육 실시

(’12, ’13)
위성영상

자료제공을 통한
재난재해 관리 역량

강화 기여

국제우주교육

개국

14

20

IAF

2) APRG

Expert Meeting

개도국 대상
우주협력

의향서 건

(2 )

위성영상 지속

제공

국제우주교육
확대추진

‘14

대비 교육

참가자수 10%

확대

개도국 대상

우주협력
의향서 건

(4 )

위성영상 지속
제공 및 영상

처리기술 등
실무기술 지원

방안 확립

국제우주교육
확대추진

‘14

대비 교육

참가자수 20%

확대

위성영상 지속

제공 및 개도국
실무교육 실시

위성영상

처리교육

1

국제우주교육
확대추진

‘14

대비 교육

참가자수 30%

확대

위성영상 지속

제공 및 개도국
실무교육 실시

위성영상

처리교육

2

위성 직수신국
구축협력 추진

항공우주
외교역량

강화

국제학생교육

ISEB(
위원회 가입

)

(’12)

국제우주대회

IAC(

)

참석(’12, ’13)

UNCOPUOS(UN
평화적우주이용위

원회 참석

)

(’12, ’13)

국제기구 진출

- OECD Space

Forum Steering
Group

3) 회원

가입

- IADC

4) 기관 승인

국제사회 역할
확대

- International

Charter

5)

주관기관 수행

- OECD Space

국제기구

Forum
회의 개최

국제사회 역할
강화

- SpaceOps

6)

국제학회 개최

- IFAR

7) 개최

국제사회 및
아태지역 우주

외교 입지강화

- APRSAF

8) 개최


background image

110

1) 한국형발사체의 핵심인 액체엔진 기술은

톤급 선행연구를 기반으로 독자개발을 추진하되 일부 요소기술 및

30

,

공급계 부품 검증 등 신뢰성이 요구되는 분야에 한해 국제협력 추진

2)

국제우주연맹 는 우주개발 관련 학술정보를 교류하는 비정부 기구로 현재

개국

여개 기관이

IAF(

)

,

62

270

회원임 매년 우주분야 세계 최고 국제행사인 국제우주대회

운영을 주도

.

(IAC)

3)

은 우주분야 고유의 통계지표와 경제지표에 대한 연구 및 우주 관련 국제 비교데이터

OECD Space Forum

생성을 통해 광범위한 경제활동에 대한 우주분야의 기여 분석을 목표로 함

아시아 회원국 개국 중

. OECD

4

우리나라가 최초 가입

4)

는 각 국의 우주기관 간 우주 파편 연구 관련

IADC(Inter-Agency Space Debris Coordination Committee)

정보 교환 우주 파편 감소 방안 개발 등을 논의하고 협력을 추진하는 국제 위원회

,

5)

는 자연재해 또는 인재 시 위성영상을 통한 효율적인 재난관리를 위한 우주 재해

International Charter

,

국제헌장으로

개국

개 기관과

개의 국제기구

로 구성 주관기관은 약

개월 간

16

21

2

(ESA, EUMETSAT)

.

6

이사회 개최를 포함 운영관리 및 업무연락 수행 등 챠터 고유업무 총괄

,

6)

국제우주운영총회 는 우주 임무운영과 지상시스템의 국제적 기술교류를 주관하는 국제위원회로

SpaceOps(

)

세계 위성운영국 전문가들이 천여명 이상 참여하는 우주운영 분야 최대 권위 행사임

7)

국제항공연구포럼 는 각국의 항공 관련 연구기관들이 미래의 항공기술분야의 공통관심사가 되는 연구에

IFAR(

)

대하여 협력 기반을 구축하고자

년에 미국

및 유럽 항공기관들이 주축이 된 항공분야의 비정부간

2010

NASA

국제기구임

8)

아 태지역 우주개발 협력기구 는 아 태지역 국가들의 우주개발 네트워크 구축 및 역내 국가의

APRSAF(

)

우주기술 발전을 목적으로 하는 일본 주도의 국제 포럼으로 아태지역

개국

여개의 우주기관 대학

42

470

,

,

기업을 비롯하여

개 국제기구도 참여

UN

27

❏ 목표  도출  근거

구분

최종 목표

목표 도출근거

항공우주
기술자립

위한 글로벌

공동연구 수행

정지궤도복합위성 해양 환경

/

탑재체 공동개발 완료

한국형발사체 추진기관시스템
시험평가
달 탐사 상세설계
다목적실용위성 호

지상

개발

6 SAR

S/W

위성관제 지상국 해외 설치 및 활용

능동형 회전익기 국제공동 개발

◦ 글로벌 공동연구를 통한 주요 국가우주개발사업의

추진

◦ 핵심기술 확보를 통한 항공우주 기술자립도 향상 및

우주사업 육성 사업별

년도 진척도 달성 목표

(

’17

)

본 국제공동연구 수행 실적은 연도별 누적 수치

맞춤형

국제협력을 통한
우주협력 다변화

국제우주교육 확대추진

개국

(17

24 )

위성영상 지속 제공 및
개도국 실무교육 실시

위성영상처리교육

(

2 )

위성 직수신국 구축협력 추진

◦ 국제우주교육에 참석자 대부분은 각국 정부의 관료

혹은 우주기관 실무전문가들로서 자국의 우주 관련
국가 정책 수립에 결정적인 역할 수행

◦ 개도국 대상 국제우주교육 등 실무교육을 확대를 통한

우주 잠재시장 선점 및 우호적 네트워크 확장

년 대비

년도 교육 참가자 약

증대 목표

(’14

’17

20%

)

항공우주
외교역량

강화

국제사회 및 아태지역
우주 외교 입지강화

◦ 정부 비정부간 국제기구 관련 국제회의 및 협의회

적극 유치를 통한 우주외교 역량 강화 및 국제사회
영향력 확대

◦ 우주활동 국제규범 형성에 있어서 우리나라 우주개발

관련 적극적인 국익 반영

매년 국제회의 회 이상

년 까지 최소 회 개최 목표

(

1

, ’17

4

)


background image

부문별  계획

 

경영성과계획서

2015~2017 

111

연차별  세부계획

(4) 

구분

연도

실행계획

항공우주

기술자립

위한 글로벌

공동연구

수행

2015

◦ 달 탐사 타당성 연구 워킹그룹 실무회의를 통한

공동보고서 발간

KARI-NASA

◦ 정지궤도복합위성 해양 환경 탑재체 상세설계 완료

/

미국

(

,

Ball Aerospace

)

한국형발사체 열차단시스템 등 예비설계 완료 우크라이나 협력

KARI-YSDO

(

)

◦ 다목적실용위성 호

영상처리 및 보정

개발 기술자문 및 협력

6

SAR

S/W

(DLR, 독)

2016

◦ 정지궤도복합위성 해양 환경 탑재체 조립정렬 및 환경시험 착수

/

미국

(

,

Bal Aerospace

)

◦ 한국형발사체 추진공급계 시제품 검증시험 수행 우크라이나 협력

(

)

◦ 다목적실용위성 호

영상처리 및 보정

개발 기술자문 및 협력

6

SAR

S/W

(DLR, 독)

◦ 해외 기관과의 협력을 통한 위성관제 지상국 해외 설치 및 공동 활용(DLR, 독)

프로그램 공동연구

NASA-JAXA( )-DLR( )-ONERA( ) STAR(Smart Twist Acitive Rotor)

2017

◦ 정지궤도복합위성 해양 환경 탑재체 공동개발 완료

/

미국

(

,

Ball Aerospace

)

◦ 한국형발사체 추진기관시스템 시험평가 공동수행 우크라이나 협력

(

)

◦ 달 탐사 국제협력 개발 상세설계 수행

(NASA

)

◦ 다목적실용위성 호

영상처리 및 보정

개발 기술자문 및 협력

6

SAR

S/W

(DLR)

◦ 해외 기관과의 협력을 통한 위성관제 지상국 해외 설치 및 공동 활용(DLR, 독)

프로그램 공동연구

NASA-JAXA( )-DLR( )-ONERA( ) STAR(Smart Twist Acitive Rotor)

맞춤형

국제협력을

통한

우주협력

다변화

2015

◦ 우주개도국 대상 국제우주교육 확대 실시

년 대비 참가자수

확대

/ ’14

10%

◦ 국제우주교육 연계 위성영상 처리기술 등 실무적인 기술교육 프로그램 신설 점검
◦ 개도국 대상 우주협력 의향서 체결 건

(4 )

2016

◦ 우주개도국 대상 국제우주교육 확대 실시

년 대비 참가자수

확대

/ ’14

20%

◦ 국제우주교육과 별개의 실무자 대상 우주활용 기술교육

회 실시

1

2017

◦ 우주개도국 대상 국제우주교육 확대 실시

년 대비 참가자수

확대

/ ’14

30%

◦ 개도국 우주실무자 대상 우주활용 기술교육

회 실시

2

◦ 국제우주교육 및 실무교육 참가국 대상 위성 직수신국 구축 논의 구체화

항공우주
외교역량

강화

2015

주관기관 업무 수행을 통한 국제재난관리 기여 및

International Charter

국제사회 대표 우주기관으로서의 역할 강화

경제협력개발기구

국제기구 장관급 회담 개최

OECD(

) Space Forum

2016

국제우주운영총회 국제학회 개최

SpaceOps(

)

국제항공연구포럼 개최

IFAR(

)

2017

아태우주기관포럼 개최를 통한 아태지역 우주외교 입지 강화

APRSAF(

)


background image

112

추진계획  4-3

정부 

비전과  가치를  반영하는 

구현

3.0 

KARI  3.0 

주요내용

(1) 

◦ 필요성 정부는 공공정보를 적극 공개하고 국민에게 능동적으로 다가가는 서비스를 제공함으로써 

(

새로운  가치를  창조하자는  취지의  정부 

을  적극  추진  중

3.0

– 정부 

은  수동적  정보공개였던  기존의  정부 

및 

과  차별화

3.0

1.0 

2.0

– 개방 소통 공유 협력의  대  핵심가치를  설정하고 이에  따른  대  목표를  설정

4

3

대 목표

3

추진 방향

국민 중심의 서비스 정부

◦ 국민과 기업에게 찾아가는 서비스 제공

일 잘하는 유능한 정부

◦ 공공기관 협업 및 행정역량 강화

믿음을 주는 투명한 정부

◦ 정보공개 및 국민소통 강화

◦ 추진방향 연구원  운영에  정부 

의  비전과  가치를  적용하는 

구현

(

3.0

‘KARI  3.0’ 

– 정부 

의  대  목표에  부합하는  지표별  성과목표  설정

3.0

3

※ 창조경제 항공우주기업지원 시스템 서비스 정부

클라우드 고도화 유능한 정부 등

(

), R&D

(

)

구현  및  내재화를  통한  개방 소통 공유 협력의  정부 

비전  실현

KARI  3.0 

3.0 

– 정보공개  및  공공데이터  개방을  강화함으로써  투명한  정부 가치  실현

’ 

※ 정부 지침에 따르는 정보공개 채널을 지속적으로 유지하되 국민의 수요에 적극적으로 대응

구분

내용

구현

KARI 3.0

◦ 정부

의 비전을 연구원 운영에 적극 내재화한

을 구현함으로써

3.0

KARI 3.0

국민을 위해 연구하는 국책연구기관으로 자리매김

정보공개법 준수

◦ 공공정보를 적극 공개함으로써 투명한 정부 비전에 부합하는 국민중심형

연구원 정보공개 실현

국민 중심의 공공데이터

◦ 국민에게 유익한 공공데이터의 적극적인 발굴 및 개방

◦ 공공데이터의

차 가공을 통한 신가치 창출 및 창조경제 구현에 기여

2

성과목표와의  부합성

(2) 

◦ 박근혜정부  국정운영의  새로운  패러다임으로서  정부 

발표

3.0 

(’12.7.11.)

◦ 개방 소통 공유 협력의  정부 

비전을  기관  운영에  효과적으로  반영하여  정부정책에 

3.0 

부합하는  국가기관으로서의  역할  수행  필요

◦ 공공기관의  정보공개  활성화를  위한  공공데이터법 정보공개법  시행


background image

부문별  계획

 

경영성과계획서

2015~2017 

113

세부  실행계획

(3) 

❏ 연차별  목표치

항목

실적

목표

2013

2014

2015

2016

2017

구현

KARI 3.0

구현

< KARI 3.0

>

KARI 3.0

최종성과분석 및

확대방안 도출

초기계획 수립

중장기계획 수립 원내 공모전실시

확립

KARI 3.0

대응체계 구축 및 성과점검

<

>

초동

구성

TFT

확대개편

TFT

성과점검 회

(2 )

성과점검 회

(2 )

사이트 구축 및 운영

< KARI 3.0

>

사이트 구축

계획수립

KARI 3.0

홈페이지1) 구축

모바일

홈페이지 개편

접속통계분석/

고객의견수렴

성과점검 및

개편방향 모색

정보공개

연구원 주요사업 및 성과공개

<

>

68

68

68

68

68

행정정보 사전공개

<

2) >

-

50

60

70

80

연구원 경영정보 공공기관 경영공시

<

(

) >

37

37

37

37

37

정보공개처리 정보공개시스템

<

(

) >

13

15

15

15

15

공공데이터

공공데이터

<

3) 개방 >

4

누적

(

4 )

3

누적

(

7 )

4

누적

(

11 )

1

누적

(

12 )

1

누적

(

13 )

기 개방 공공데이터 현행화

<

>

-

3

5

5

5

1)

홈페이지 연구원 공개 콘텐츠 안내 허브 연구원 및 항공우주 분야에 관심있는 국민을 대상으로

KARI 3.0

,

일원화된 정보창구 및 통합서비스 제공 역할

2) 행정정보 감사결과 직무교육 연구사업 개인정보 공사 용역 물품계약 등

,

,

,

,

/

/

3) 공공데이터

전자파일 등 공공기관이 법령 등에서 정하는 목적을 위하여 생성 또는 취득하여 관리하고

DB,

있는 광

또는 전자적 방식으로 처리된 자료 또는 정보

( )

❏ 목표  도출  근거

구분

최종 목표

목표 도출근거

구현

KARI 3.0

체계 확립

KARI 3.0

및 성과창출

◦ 개방 공유 소통 협력의 정부

핵심가치를 기관운영의 전 분야에

3.0

적용 및 확산시킴으로써 국가발전의 추동력 확보 필요

정보공개

정보공개법 이행 및

정보공개 확대

◦ 모든 공공정보의 공개를 원칙으로 하는 정보공개법 및 행정문화 정착
◦ 사전정보공개 확대로 국민의 알권리 충족

공공데이터

공공데이터 제공

(

13 )

◦ 정부 연도별 공공데이터 개방 추진계획 요청(’14.1.8.)

◦ 연구원 공공데이터의 제공 및 이용활성화 시행계획 제출

13

◦ 기관 내부시스템 관련 데이터를 제외한 모든 공공데이터 개방 목표


background image

114

연차별  세부계획

(4) 

구분

연도

목표 도출근거

구현

KARI 3.0

2015

◦ 각 추진 분야별 성과 점검 회

(2 )

◦ 원내 우수사례 공모전 실시 회

(1 )

◦ 모바일 대표홈페이지 개편

2016

◦ 각 추진 분야별 성과 점검 회

(2 )

◦ 기관운영 전반에

체계 확립 자체평가

KARI 3.0

(

1 )

◦ 접속통계 분석 및 고객의견 수렴

2017

최종성과분석

KARI 3.0

외부평가

(

1 ) 및 확대방안 도출

홈페이지 개편 및 모바일 지원

KARI 3.0

정보공개

2015

◦ 사전정보공개 발굴 및 사전정보공개 행정지원분야

(

60 )

◦ 정보공개청구 처리

(16 )

2016

◦ 사전정보공개 발굴 및 사전정보공개 행정지원분야

(

70 )

◦ 정보공개청구 처리

(17 )

2017

◦ 사전정보공개 발굴 및 사전정보공개 행정지원분야

(

80 )

◦ 정보공개청구 처리

(18 )

공공데이터

개방 확대

2015

◦ 공공데이터

추가 개방

DB

신규

종 누적

(

4 /

11 )

- 사업화 우수기술 목록 시험검사장비 목록 특허목록 항공우주지식백과

,

,

,

◦ 기 공개 데이터 현행화 및 품질 유지 종

(5 )

- 연구보고서목록 연구장비정보 항공우주기술 논문 항공우주산업기술동향

,

,

,

,

기술자료

◦ 개방 추진실적 점검 및 모니터링

2016

◦ 연구원 공공데이터 제공 및 이용 활성화 시행계획 검토 보완

/

◦ 공공데이터

추가 발굴 및 개방

DB

신규

건 누적

(

1 /

12 )

◦ 기 공개 데이터 현행화 및 품질 유지 건

(5 )

- 연구보고서목록 연구장비정보 항공우주기술 논문 항공우주산업기술동향

,

,

,

,

기술자료

2017

◦ 공공데이터

추가 발굴 및 개방

DB

신규

건 누적

(

1 /

13 )

◦ 기 공개 데이터 현행화 및 품질 유지 건

(5 )

- 연구보고서목록 연구장비정보 항공우주기술 논문 항공우주산업기술동향

,

,

,

,

기술자료

◦ 개방 추진실적 점검 및 모니터링


background image

부문별  계획

 

경영성과계획서

2015~2017 

115

추진계획  4-4

연구시설장비  구축 관리  효율성  제고  및  안전관리  강화

·

주요내용

(1) 

◦ 필요성 연구시설장비의 취득에서 처분까지 효율성 안전성 강화를 위한 체계적인 시스템과 

(

기준  확립  필요

– 연구시설장비의 기획 도입 시 기 보유장비에 대한 공동활용 가능성 중복성과 향후 명확한

 

활용계획에  대한  심의기준  강화  필요

– 연구시설장비를  단순  자산관리  관점에서  연구개발성과물의  체계적인  관리  관점으로 

전환하기  위한  업무체계  구축  필요

년도 국가연구시설장비 실태조사 결과 현황 미래창조과학부

2013

(

)

1)

구분

심의 관련

등록 관리 관련

도입심의실적

도입중복성검토

등록점검

NTIS

구축정보일치

국공립 연구기관

99.4%

72.4%

45.1%

96.1%

지자체 출연 연

( )

94.0%

50.2%

33.6%

95.0%

사립대학

84.8%

40.7%

91.3%

90.6%

정부출연 연

( )

63.6%

69.7%

30.3%

92.5%

- 항공우주 연 서면 현장 조사결과

자체장비도입심의실적

중복성검토

등록점검 단계

( )

2),

77.8%, NTIS

38.9%, NTIS

(3

)

구축일자일치

등 일부 항목에서 타 유관기관에 비해 다소 미흡한 관리결과를 나타냄

33.3%, NTIS

82.9%

미래창조과학부 국가연구시설장비 이용 효율화 종합대책

1) 2014. 4.

,

미래장조과학부

년도 국가연구시설장비 운영 관리 한국항공우주 연 실태조사 결과표

2) 2014. 3.

, 2013

( )

– 정부의  안전  관련시책에  따른  연구자산  안전성  확보를  위한  혁신방안  수립  필요

◦ 추진방향 효율적  연구시설장비  구축 관리체계  개선을  통한  연구지원  인프라  조성

(

구분

내용

연구시설장비

심의체계 강화

◦ 연구시설장비 심의제도에 대한 교육 홍보와 주기적인 구축타당성 사전조사 심의를

통해 중복구매 방지를 위한 심의 검증절차 강화

연구시설장비

등록관리 강화

◦ 연구시설장비 등록강화 연동관리시스템 구축 및 공동활용허용률 증대를 통한

공동활용 확산의 친환경 수립

연구시설 안전관리 강화 ◦ 정부의 안전혁신 강화방안에 부응하기 위한 안전관리시스템 구축

성과목표와의  부합성

(2) 

◦ 국가연구시설장비의  구축 관리  체계개선  및  중복 과잉구매  방지  투자효율성을  제고하는 

정부정책에  부합


background image

116

세부  실행계획

(3) 

❏ 연차별  목표치

항목

실적

목표

2013

2014

2015

2016

2017

연구시설장비

심의체계 강화

장비도입심의 정기 추가 증가

<

(

/

)

>

회 회

2 /1

회 회

2 /2

회 회

2 /2

회 회

3 /2

회 회

3 /2

심의 검증절차 강화

<

>

-

-

NTIS

1)

ZEUS

2)

활용한 중복성 확인

심의결과 이행

검증체계 도입

(

)

심의결과

이행점검 실시

(

)

-

-

심의규정정비

외부심의위원

이내

(10%

)

외부심의위원

이내

(30%

)

연구시설장비

등록 관리

강화

장비등록률

증가 유지

<NTIS

100%

>

75%

수동확인

(

)

100%

수동확인

(

)

100%

자동확인

(

)

100%

자동확인

(

)

100%

자동확인

(

)

공동활용허용률

<

3) 증가>

22%

23%

30%

35%

40%

관리체계 시스템 구축

<

>

RFID-AMS

4)

보완

(

)

RFID-AMS

보완

(

)

등록

NTIS

검증체계 도입

(

)

등록

NTIS

검증체계 보완

(

)

-

장비정보수정

NTIS

(1,024 )

연구시설장비관리연

동시스템 도입

(

)

연구시설장비관리연

동시스템 보완

(

)

연구시설

안전관리 강화

안전점검 증가

<

>

4

6

8

10

12

안전관리 시스템 구축

<

>

-

안전관리 혁신방향

계획수립

데이터수집 및

업체선정

분기 별 점검보고서

회 작성

1

안전지도

KARI

5)

구축

1)

미래창조과학부

국가과학기술종합정보시스템

NTIS(

) National Science & Technology Information System,

2)

국가연구시설장비진흥센터

장비공동활용서비스

ZEUS(

) Zone for Equipment Utilization Service,

3) 공동활용허용률 국가연구시설장비관리표준지침

(

)

공동활용허용가능장비

= (

+ 공동활용서비스가능장비

연구시설장비

전체

) /

(NTIS)

4)

항공우주 연

무선

스마트패드를

RFID-AMS(

( )) Radio Frequency Identification Asset Management System,

RFID

통한 자산관리시스템

5)

안전지도 항공우주 연

연구원 전체 연구시설장비 포함 의 위험요소를 한눈에 관리 조치 할 수 있는

KARI

(

( ))

(

)

안전관리 플랫폼


background image

부문별  계획

 

경영성과계획서

2015~2017 

117

❏ 목표  도출  근거

구분

최종 목표

목표 도출근거

연구시설장비

심의체계 강화

중복구매 방지,

공동활용 유도 및

심의결과

이행여부 검증

◦ 연구시설장비의 자체심의 확대 및 외부위원 도입 활용율

국가연구시설장비표준지침 미래부 근거

(2014.3.

(

)

)

장비등록사이트 검색 적극활용 중복구매 방지

자체심의의 점진적

-

(

),

확대 회

외부심의위원활용

이내

(2

3 ),

(30%

)

◦ 심의결과 이행여부 추적 관리체계 구축 여부

국가연구시설장비 이용 효율화 종합대책 미래부 근거

(2014.4.

(

)

)

연구시설장비

등록 관리

강화

등록 관리

강화를 통한

장비효율성 증대

◦ 연구시설장비 등록 관리 편의성 증대 및 누락방지를 위한 연동시스템 구축

국가연구시설장비서비스 연구기관장비 정보연계사업 국가연 근거

(2014.3.

(

)

)

장비의 등록점검 미등록장비 대금지불 불가 등 을 위한 검증체계 구축

NTIS

(

)

국가연구시설장비 실태조사 한공우주 연 결과 근거

(2014.3.

( )

)

◦ 공동활용허용률 확대로 장비공유 환경조성

부터

씩 상향 추진

(’15

5%

)

국가연구시설장비 이용 효율화 종합대책 미래부 근거

(2014.4.

(

)

)

연구시설

안전관리 강화

안전관리시스템을

통한 연구원

안전지도 구축

◦ 재난 및 안전관리 혁신방안을 위한 안전관리시스템 구축

년도 재난 안전관리 혁신방안 통보 미래부 근거

(2014

(

)

)

연차별  세부계획

(4) 

구분

연도

실행계획

연구시설장비

심의체계 강화

2015

◦ 연구시설장비 심의 시 중복구매 방지 및 공동활용 가능여부 검증실시

,

에 등록된 유사장비 활용 이전 가능여부 확인 등

(NTIS ZEUS

)

◦ 연구시설장비 도입심의 관련 규정 정비
◦ 연간 사전 수요조사 추진계획 수립

2016

◦ 심의결과 이행 검증체계 도입

◦ 심의위원 중 외부위원 도입

이내

(10%

)

◦ 연구장비도입 심의기준 검토 재정립

2017

◦ 심의결과 이행여부 검증실시

◦ 심의위원 중 외부위원 추가확보 추진

이내

(30%

)

연구시설장비

등록 관리

강화

2015

◦ 연구시설장비

등록점증체계 도입

NTIS

◦ 공동활용장비 확대를 위한 관련 규정 기준검토 재정립

◦ 국가연구시설장비

등록 구축정보 점검 수정

년도 보유 기준

(NTIS

)

(’14

1,024 )

2016

◦ 연구시설장비

등록검증체계 운영 보완

NTIS

◦ 연구시설장비

연동시스템 도입

NTIS

2017

◦ 연구시설장비

연동시스템 운영 보완

NTIS

◦ 공동활용허용률

달성 및 유지 확대 추진

30%

연구시설

안전관리 강화

2015

◦ 안전관리시스템 도입 데이터 분석 및 업체선정

(

)

2016

◦ 안전관리시스템 운영 분기별

회 점검 보고서 작성

(

1

)

2017

◦ 안전관리시스템 고도화 연구원 안전지도 구축

(

)


background image

118

성과목표  5

항공우주 전략방향 정립 및 연구 신뢰성 구축

 

자율분야

기  본  방  향

개요

◦ 목적

(

국가 항공우주 핵심역량 강화를 위한 정책 연구관리 분야 미래가치 창출

)

◦ 필요성

(

지속가능한 항공우주 산업 발전에 핵심인 선도적 정책 지원 중요 국책사업의

)

,

성공적 추진을 위한 신뢰성 확보 및 검증체계 개선을 강화 필요

경영목표 달성 추진전략과 성과목표와의 연관성

(Knowl

edge) 선도적 정책

제안을 통한 미래산업 발굴

및 국가 항공우주 산업
전략에 기여

(Advancemen

항공우주

t)

주요사업의 개발 신뢰성 향상

및 검증체계 등의 연구관리
인프라 혁신적 개선을 통해

경쟁력 및 기술 자립화에 기여

추진방향

◦ 정책선도

(

) 세계 선진국 진입을 위한 정책방향을 정립하고 발전 방향에 대한 컨센서스 확보에

노력하며 항공우주 개발 방향을 결정할 수 있는 사회경제적 효과 분석 모델 개발 연구

,

◦ 위험도관리 점검 조정

(

·

·

) 연구개발 사업의 위험 사전식별 및 선행적 조치를 강화하고 기관

차원에서 신규사업 기획 검토를 추진하여 연구개발 검증체계 및 조정 강화

추진계획

성과지표 수 개

( )

미래지향적 항공우주 정책방향 정립

5-1

3

연구개발사업 위험도 관리 및 종합점검 조정 검증 체계 강화

5-2

,

,

5


background image

부문별  계획

 

경영성과계획서

2015~2017 

119

성과지표  5-1

미래지향적  항공우주  전략방향  정립

주요내용

(1) 

◦ 필요성 지속가능한 항공우주기술개발 및 산업 활성화에 필요한 정부의 정책 수립을 견인하기 

(

위한  항공우주  정책방향  정립 및  지원  활동  필요

 

– 세계  항공우주  발전  방향을  분석하고  국가  항공우주  분야를  세계  수준으로  이끌기  위한 

정책방향  설정  및  이에  필요한  객관적 전문적  연구  필요

·

– 차기  국가  항공우주개발  계획  수립을  위해  필요한  기술발전  방향 세계  항공우주  관련 

경제 사회 기술에 대한 주요 이슈 분석 등의 선제적 정책 연구를 통해 정책 결정자들에게 

국가의  항공우주개발  방향성  제시  필요

– 우주탐사 등 대형 우주개발 사업에 국제공조가 확대되고 있어 우주개발 선도국인 미국과의 

협력체계  구축  필요

◦ 추진방향 국내외  환경  변화와  미래  기술발전  및  사회  변화를  분석하여  산 학 연 관 

(

ㆍ ㆍ ㆍ

항공우주정책  결정자 수요자  등의  니즈를  충족할  수  있도록  추진

구분

내용

선도적 정책 연구 및 발전

방향에 대한 컨센서스 확보

◦ 항공우주분야 세계 선진국 진입을 위한 정책방향 정립 연구 수행

- 항공우주개발 거버넌스 기술 발전 방향 산업 지원 등 연구

,

,

- 세계 항공우주 발전 트렌드 분석 및 심층 이슈 분석

항공우주개발의 사회적 경제적

기여 및 산업 환경 분석

◦ 항공우주분야의 사회적 경제적 기여 및 효과 분석

- 분석 모델 개발 및 적용을 통한 항공우주 개발 파급 효과 분석 등

한 미 우주협력 네트워크 구축

-

및 전략연구

◦ 다각적인 한 미 우주협력 추진

-

- 한 미 우주협력 회의 개최 한 미 공동협력 과제 발굴 및 추진 등

-

,

-

성과목표와의  부합성

(2) 

◦ 선진 항공우주기술 국가로의 도약과 지속가능한 항공우주산업 발전을 위해 필요한 항공우주

정책  방향  정립으로  항공우주  선도국  진입  견인

◦ 미국 

등 우주 관련 기관과의 협력은 선진국의 우주개발 정책 기술개발 성과확산 등을 

NASA 

다각적으로  벤치마킹하고  협력  네트워크를  구성 협력할  수  있어  국가  우주개발  핵심역량 

강화에  파급이  큼


background image

120

세부  실행계획

(3) 

❏ 연차별  목표치

항목

실적

목표

2013

2014

2015

2016

2017

선도적 정책 연구

및 발전 방향에

대한 컨센서스 확보

항공우주 정책방향 정립 지수

<

>

1)

1.2

1.2

이상

1.5

이상

2.0

이상

2.5

항공우주개발의
사회적 경제적

기여 및 산업 환경

분석

산업연관분석

회 달 탐사

1 (

)

•분석방안 방법론

/

연구

1

산업연관분석

회 우주환경

1 (
시험인프라)

우주분야분석

모델 개발 건

(3 )

기여 및 효과

분석 건

(2 )

항공 성과측정

모델개발 건

(1 )

기여 및 효과

분석 건

(2 )

한 미 우주협력

-

네트워크 구축 및

전략 연구

한 미 우주협력회의 개최

< -

>

-

1

1

1

1

-

네트워크 구축 추진

네트워크 구축

현지파견

(

1 )

네트워크 활동

강화

현지파견

(

1 )

네트워크 DB

구축

현지파견

(

1 )

한 미 우주협력정책 수행 지수

< -

>

2)

-

-

32

이상

40

이상

48

1) 항공우주 정책방향 정립 지수

정부 정책 반영 건수

심포지엄 학회 등 외부 소통 건수

관련 내용 언론

= (

+

,

+

보도 건수

정책 연구 건수

이슈 분석 건수

) / (

+

)

한 미 우주협력정책 수행 지수

미 협력 점수

국무부 국방부 등 협력 회의 횟수

등 미

2)

-

=

(NASA·

·

×3 + NOAA

우주관련 기관 협력 회의 횟수

현지 세미나 등 횟수

과제 발굴 점수 과제 수

×2 +

×1) +

(

×10)

❏ 목표  도출  근거

구분

최종 목표

목표 도출근거

선도적 정책 연구

및 발전 방향에

대한 컨센서스 확보

국가 항공우주 정책 방향

정립 지원 지수

이상

2.5

◦ 정부 정책에 반영 할 수 있는 선도적 정책연구 수행 건 이상

(2

)

및 심층 이슈 분석 제공 연

( 12 )

◦ 정책 연구 및 이슈 분석 내용에 대한 정부정책 반영 국내

,

커뮤니티 공감대 형성 등의 활동 증대

항공우주개발의
사회적 경제적

기여 및 산업 환경

분석

항공우주 기여 및 효과

분석 건 이상

(2

)

◦ 산업연관분석 한국은행 산업연관표 사용 에서는 우주분야 구분

(

)

어려움 이에 우주분야에 적합한 산업연관계수 도출 필요

.

◦ 항공우주개발 성과에 대한 사회적 경제적 효과 분석 모델이

명확하게 구축되어 있지 않아 성과 측정에 어려움이 있으므로

,

,

우리나라 현실에 맞는 성과 측정 모델 필요

한 미 우주협력

-

네트워크 구축 및

전략 연구

네트워크

구축

DB

한 미 우주협력정책

-

수행 지수

이상

48

◦ 한 미 우주협력 회의를 정례화 하여 양국 간 우주협력에 대한

-

공식적인 대화 채널 확보 및 미 우주분야 전문가 네트워크 구축

◦ 실질적인 우주협력정책 지원 및 반영을 위한 성과 창출 정부

(

보고 및 협력 과제 발굴 추진

·

)


background image

부문별  계획

 

경영성과계획서

2015~2017 

121

연차별  세부계획

(4) 

구분

연도

실행계획

선도적 정책 연구

및 발전 방향에

대한 컨센서스 확보

2015

◦ 세계 주요국 우주개발 거버넌스 분석 및 우리나라의 방향성 제시
◦ 국내외 현안에 관련된 스페이스 이슈 회 및 항공 이슈 회 발간

(6 )

(4 )

◦ 항공우주산업기술동향지

회 발간 및 항공우주정책자문회의 개최 회 및

2

(1 )

산 학 연 우주개발 참여자들의 의견 수렴을 위한 심포지엄 개최 연 회

(

1 )

ㆍ ㆍ

2016

◦ 항공기술로드맵수립지원 및 항공산업 파급 효과분석

◦ 국내외 현안에 관련된 스페이스 이슈 회 및 항공 이슈 회 발간

(6 )

(6 )

◦ 항공우주산업기술동향지

회 발간 및 항공우주정책자문회의 개최 회 및

2

(1 )

산 학 연 우주개발 참여자들의 의견 수렴을 위한 심포지엄 개최 연 회

(

1 )

ㆍ ㆍ

2017

◦ 차기정부 우주개발 계획 수립 지원 및 발전 방향 제시

◦ 항공산업발전 기본계획

의 성과 점검 및 발전 방안 연구

(’10~’19)

◦ 국내외 현안에 관련된 스페이스 이슈 회 및 항공 이슈 회 발간

(6 )

(6 )

◦ 항공우주산업기술동향지

회 발간 및 항공우주정책자문회의 개최 회 및

2

(1 )

산 학 연 우주개발 참여자들의 의견 수렴을 위한 심포지엄 개최 연 회

(

1 )

ㆍ ㆍ

항공우주개발의

사회적 경제적

기여 및 산업 환경

분석

2015

◦ 우주 분야에 특화된 한국은행 산업연관표의 분야별 계수 도출

(

)

◦ 우주개발의 사회적 경제적 기여 분석에 대한 해외 사례 및 방법론 분석

◦ 우리나라의 우주개발 사회적 경제적 기여 분석 모델 개발

2016

◦ 우리나라의 우주개발 사회적 경제적 기여 분석 모델 보완

◦ 위성 개발 및 활용에 대한 사회적 경제적 기여 분석

◦ 국내 항공산업과 인접 산업간의 인적 물적 교류와 성과 확산 연구

/

◦ 항공 성과 측정 모델 개발

2017

◦ 발사체 개발 및 기술 활용에 대한 사회적 경제적 기여 분석

◦ 국가 우주개발에 대한 사회적 경제적 기여 종합 분석

◦ 항공 성과 측정 모델 적용

한 미 우주협력

-

네트워크 구축 및

전략 연구

2015

◦ 한 미 네트워크 구축 현지파견

명 조지 워싱턴대 우주정책연구소

-

(

1 ,

MOU)

◦ 제 차 한 미 우주협력 회의 개최 및 협력 중점의제 발굴

2

-

◦ 미 우주정책 및 비확산 정책연구 보고서

권 및 동향분석

1

2

2016

국무부 등 협력 네트워크 확장 현지파견

NASA,

(

1 )

◦ 제 차 한 미 우주협력 회의 개최 및 협력 중점의제 진행 점검 및 발전방향 수립

3

-

◦ 미 우주정책 및 비확산 정책에 대한 대응 전략 보고서

권 및 동향분석

1

4

2017

◦ 한 미 네트워크

구축 현지파견

-

DB

(

1 )

◦ 제 차 한 미 우주협력 회의 개최 및 중장기 발전 방향 마련

4

-

◦ 한 미 우주협력 로드맵 작성 보고서

권 및 동향분석

-

1

6


background image

122

성과지표  5-2

연구개발사업  위험도  관리  및  종합점검 조정 검증  체계  강화

주요내용

(1) 

◦ 필요성

(

)

– 위험도 관리 항공우주분야 중요사업의 성공적 수행을 위해 개발신뢰성 임무성공과 관계된 

(

위험요인에  대한  기관차원의  관리체제  개선필요

– 종합점검 조정 검증체계  강화

원내  주요사업  및  항공우주분야  중요사업의  사전 

(

기획연구를  강화하고  국가과학기술기본계획  등  수요지향성  제고와  사업의  성공적  수행을 

위해  기관차원의  사전기획  검토  및  연구사업  수행  중  조정 성과관리  강화  필요

/

◦ 추진방향

(

)

– 위험도  관리 상향식  위험항목  식별 조치 뒤늦은  위험항목  식별  및  대응 를  지양하고

(

(

)

위험항목의  사전식별  및  선행적  예방조치  지향

∙ 위험항목 대응방안  선행  식별 신규  사업추진  시  예상되는  주요위험  식별  및  대응 

(

/

시나리오를  사업심의  단계에  포함

연구업무심의회 이하 연심회 규정 개정 검토 필요

(

’)

∙ 상시적  보고 사업진행  중  개발  위험  현황에  대한  상시적  보고  의무화

(

개발사업의 기술적 이슈 및 위험관리 현황에 대해 상시적 보고

∙ 독립적  위험이슈  점검을  위한  정기  회의체 기술  위험  이슈에  대한  독립적 상시적 

(

식별이  가능하도록 기관차원의  독립적  기술검토회의체  운영

외부 평가회 사전 점검차원의 내부 전문가

구성 기술전문 검토 소위원회 구성

(Chief Engineer Office

,

등 에 의한 기술검토 회의 등

)

∙ 위험 이슈 발굴을 위한 상설 회의체 잠재위험 이슈 발굴을 위한 기술이슈 제기 및 협의체 

(

·

·

∙ 임무투입전  기관차원  심의평가  회의체  강화

현재  항공부문에만  적용하는 

(

FRRB 

비행시험안전성위원회 심의체제  적용분야  확대  검토

(

적용범위확대 외에 내부 전문가 활용한 기술적 심의 수준 강화

,

–  종합점검 조정 검증체계  강화 고경력자의  경험을  활용하여  신규  사업의  기획검토  및 

(

평가 조정  기능  강화

·

∙ 제도화 상위기관  기획안  제출  전  기관차원  기획안  검토  및  연심회  전  연사위를  통한 

(

세부검토  및  조정과정  도입  검토

∙ 전문화 전문  검토지원  그룹

부문별  전문검토위  등 을  통한  신규  사업추진  및 

(

(OCE, 

)

평가 조정  목적의  기획안  검토  전문성  강화

∙ 진행단계  관리 연구사업  수행  중  사업의  조정  및  진도관리

(


background image

부문별  계획

 

경영성과계획서

2015~2017 

123

연구개발사업 기획단계 업무처리 절차 개선 안

<

( ) >

구분

내용

연구개발 위험도 관리

◦ 개발신뢰성 임무성공 관련 위험요인 기관차원 관리체제 개선

,

◦ 위험항목의 사전식별 및 선행적 예방조치

연구개발

종합점검 조정

,

,

검증 체계 강화

◦ 고경력자의 경험을 활용한 신규 사업 기획검토 기능 강화
◦ 사업제안서의 연구업무심의회 심의 전 사전검토 기능 강화

◦ 연구사업 종합점검 조정 검증 체계 절차 개선

,

,

성과목표와의  부합성

(2) 

◦ 제시된 기관운영체제 개선안은 연구개발사업의 잠재위험 및 미인지 위험에 대하여 사전인지 

및  조기대응을  강화하고  연구사업의  성공적  수행을  보장하는  데에  기여할  것으로  기대되어 

성과목표에  부합

◦ 연구개발사업의 사전기획을 강화하고 연구사업의 성공적 수행을 위한 조정 및 성과관리 검증 

체계를  강화함으로서 주요  관리대상  사업인  국가가  실시하는  예비타당성조사  대상사업

관계부처  추진  전략사업 기관고유성격의  주요사업  등의  사업수행에  있어  국가  항공우주 

핵심역량  강화라는  성과목표에  부합


background image

124

세부  실행계획

(3) 

❏ 연차별  목표치

항목

실적

목표

2013

2014

2015

2016

2017

위험관리체제

선진화

위험관리체제 선진화 구축

<

>

-

기관차원 위험관리체제

구축 방향 협의

위험관리체제 도입

위험관리체제 규정화 위험관리체제 안정화

위험관리

운영

위험관리성과지수

<

>1)

-

-

70

90

100

연구사업

종합점검 조정

,

,

검증체계 강화를

위한 관련 규정

제정 개정

,

<연구사업관리위원회 운영>

-

관련 규정 수정안 계획

규정 수정안 작성

관련 규정 개정

시행 및 보완

<부문별 전문검토위원회 구성>

-

관련 규정 수정안 계획

규정 수정안 작성

관련 규정 개정

시행 및 보완

고경력자 운영

<

>

-

관련 규정 수정안 계획

규정 수정안 작성

관련 규정 제정

시행 및 보완

연구사업

관리위원회

신규사업 기획 검토 및 수행사업 관리 조정

<

·

>

4

7

7

8

9

위원회 운영

검증 및 개선

외부전문가 평가

<

>

-

-

점 보통

75 (

)

점 우수

80 (

)

점 우수

85 (

)

1) 위험관리성과지수

위험관리수행지수

위험관리결과지수

구체적 내역은 첨부 설명 참조

=

(70%)+

(30%),

❏ 목표  도출  근거

구분

최종 목표

목표 도출근거

위험관리체제

선진화

위험관리 현황 보고 및
관련 회의 체 운영강화

◦ 위험관리 현황에 대해 정기적 기관보고 및 관련 심의를 위한

회의체 운영체제를 구축 및 운영하여 사업위험에 대한 과정상의
위험도 관리기능 강화

위험관리 운영

위험관리성과지수

100

◦ 기관 차원 종합적 위험관리 주무부서 위험관리 활동 수행

(

+

사업단 위험관리 결과

수준을 나타내는 위험관리성과지수

)

개발 적용 및 기관 위험관리 운영 안정화 추진

·

연구사업 종합점검,

조정 검증체계

,

강화를 위한

관련규정 제정,

개정

연사위 규정 개정을 통한

연사위 기능 강화

◦ 연사위 운용규정 개정을 통해 연구사업기획안 기관차원 검토

의무화 및 연심회전 연사위 통한 세부검토 및 조정과정 의무화

전문검토위 구성 및 운용

규정화를 통한 기획단계

검토 전문성 강화

◦ 전문검토위원회 구성 및 운용을 규정화하여 전문 검토지원

그룹 고경력자

구성의

부분별

전문검토위 을

통한

신규

(

)

사업추진 및 기획 조정 목적의 기획안 검토 전문성 강화

고경력자 운영 요령

제정을 통한 신규사업

기획안 검토 전문성 강화

◦ 고경력자의 경험을 활용한 신규 사업의 기획검토 전문성 강화를

위해 고경력자 선발 및 운영 규정화

연구사업

관리위원회

연구사업 기획 검토 및

진행단계 관리 조정 강화

·

◦ 신규사업 기획에 대한 고경력자 검토 연구사업 진행단계에서의

,

관리 조정 및 성과관리 체계 강화

·

위원회 운영

검증 및 개선

외부전문가평가

85

외부전문가 평가를 통해 성공적 연구개발 수행을 위한 위원회

운영 성과 검증 및 개선 추진

점 만점 기준 우수 달성

(100

,

)


background image

부문별  계획

 

경영성과계획서

2015~2017 

125

연차별  세부계획

(4) 

구분

연도

실행계획

위험관리체제

선진화

2015

◦ 기관차원 위험관리체제 도입 및 시범운영

2016

◦ 기관차원 위험관리체제 규정화

2017

◦ 기관차원 위험관리체제 안정화 및 운영 보완

위험관리 운영

2015

위험관리 주무부서 및 각 사업단 위험관리 수행 및 결과 관리

위험관리성과지수

안정화 기준

점 달성

(

:

100 , 70

)

2016

위험관리 주무부서 및 각 사업단 위험관리 수행 및 결과 관리

위험관리성과지수

안정화 기준

점 달성

(

:

100 , 90

)

2017

위험관리 주무부서 및 각 사업단 위험관리 수행 및 결과 관리

위험관리성과지수

안정화 기준

점 달성

(

:

100 , 100

)

연구사업 종합점검,

조정 검증체계

,

강화를 위한 관련규정

제정 개정

,

2015

◦ 관련 규정 연사위 운용요령 전문검토위원회 구성 고경력자 운용요령 등

(

,

,

)

수정안 작성 및 검토

2016

◦ 관련 규정 연사위 운용요령 전문검토위원회 구성 고경력자 운용요령 등

(

,

,

)

제정 및 개정

2017

◦ 관련 규정 연사위 운용요령 전문검토위원회 구성 고경력자 운용요령 등

(

,

,

)

시행 및 보완

연구사업관리위원회

2015

◦ 신규 연구사업 기획 검토 연구수행사업 관리 조정 및 성과관리

,

·

7

2016

◦ 신규 연구사업 기획 검토 연구수행사업 관리 조정 및 성과관리

,

·

8

2017

◦ 신규 연구사업 기획 검토 연구수행사업 관리 조정 및 성과관리

,

·

9

위원회 운영

검증 및 개선

2015

연구개발사업의 성공적 수행을 위한 위원회 운영에 대한 외부전문가 평가,

위원회 성과 검증 및 개선

점 만점 기준

점 달성

(100

, 75

)

2016

연구개발사업의 성공적 수행을 위한 위원회 운영에 대한 외부전문가 평가,

위원회 성과 검증 및 개선

점 만점 기준

점 달성

(100

, 80

)

2017

연구개발사업의 성공적 수행을 위한 위원회 운영에 대한 외부전문가 평가,

위원회 성과 검증 및 개선

점 만점 기준

점 달성

(100

, 85

)


background image

126

첨부

위험관리성과지수 개념

[

:

]

위험관리성과지수 구성 및 대상사업

1)

위험관리성과지수

위험관리수행지수

위험관리결과지수

-

=

(70%) +

(30%)

- 대상 사업

한국형 발사체 개발사업

정지궤도 복합위성 개발사업

차세대 중형위성 개발사업

:

,

,

,

다목적실용위성 호 개발사업 위성임무관제 및 정보활용 초정밀

보정시스템 개발 구축사업

6

,

,

GPS

위험관리수행지수

2)

위험관리 주무부서에서 위험관리 성과를 나타내기 위해 수행한 활동을 나타내는 지수

-

다음과 같은 항목의 합으로 구성

-

· 총괄위험관리위원회 개최 건수 기준

각 사업단 본부의 위험관리위원회 개최 건수 기준

(

:

4 ),

/

(

:

위험관리 교육 이수 및 이행 건수 기준

연 회

위험관리 세미나 및

개최 건수 기준

24 ),

(

:

2 ),

workshop

(

위험관리 국제회의 참여 건수 기준

:

4 ),

(

:

2 )

※ 위성분야

개 사업은 본부단위에서 통합하여 위험관리위원회 개최

3

위험관리수행지수

총괄위험관리위원회 개최 성과비율

사업단 위험관리위원회 개최

-

= 70 * [

× 0.5 +

성과비율

위험관리 교육 이수 및 이행 성과비율

위험관리 세미나 및

개최

× 0.2 +

× 0.1 +

workshop

성과비율

위험관리 국제회의 참여 성과비율

× 0.1 +

× 0.1]

위험관리결과지수

3)

각 사업단이 위험관리를 수행한 결과의 총합을 나타내는 지수

-

- 사업단위별 위험지수



  사업일정 위험지수  

  

위험품목별 위험지수



위험품목별 위험지수

·

(RI)ki = Probability level * Impact level

사업일정 위험지수는 사업기간 내 주요

에 대한 평가시점 기준 가중치로 사업 초기와 종료

·

milestone

시점별로 가중치 선정 하단 관계도 참조

(

)

- 기관차원 위험지수 

  

사업단위별 위험지수 ×사업단위별 가중치

· 사업단위별 가중치는 기관차원에서 평가한 사업단위별 가중치로 예산규모 등을 고려하여 산정
· 예산규모 가중치( ) :

ω

예산총액

조원 이상

천억원 이상

조원 미만

천억원 이상

1

5 , 5

~ 1

4 , 3

~

천억원 미만

천억원 이상

천억원 미만

천억원 미만

5

3 , 1

~ 3

2 , 1

1

위험관리결과지수

-

년 기관차원 위험관리 분석결과 기관차원 위험지수는

점 수준으로 산출되었으며 이를

· 2015

1,100

,

근거로

년 기관차원 위험지수는

점을 초과하지 않도록 관리기준 설정

2016~2017

1,100

위험관리 결과지수는 기관차원 위험지수가

점 이상인 경우

위험지수가

점인 경우

·

2,000

0,

1,100

30

되는 반비례 관계를 가지며 위험지수가

점 미만인 경우 가산점 부여 하단 관계도 참조

,

1,100

(

)

사업일정위험지수

사업진도 관계도

위험관리결과지수 위험지수 관계도

[

(C(t))-

]

[

-

]

※ SDR(System Design Review), PDR(Preliminary Design Review), CDR(Critical Design Review),

PSR(PreShip Review)


background image

부문별  계획

 

경영성과계획서

2015~2017 

127

2 .

연구부문

 

목표체계

1) 

비전

하늘과 우주를 향한 대한민국의 꿈과 새로운 가치의 실현

경영
목표

항공우주 기술개발을 통한 항공우주 강국 실현

급 광학계 해상도 시제품 제작 및 개발

- 0.3m

(’

기준

14

, 0.7m)

한국형발사체 개발지수

달성

-

75%

(’

기준

14

, 50%)

비행고도

도달

- HALE

12km

(’

기준

14

, 8km)

국가 항공우주 인프라 구축 및 활용을 통한 미래가치 창출

발사장비 추가구축과 기존장비 성능개선 세계최고수준 대비

달성

- KSLV-

90%

위성 임무운영 성공률

수준으로 개선

-

98%

(’

기준

14

, 95%)

위성정보활용 통합플랫폼 개발 및 위성영상

장 배포

평균

-

5,500

(’11~’14

, 3,850 )

대형 항공시험평가 설비 가동률

이상 유지

기준

-

70%

(’14

, 61%)

선진 전략경영 체제 구축 및

신뢰성 제고를 통한 사업성공과 파급

R&D

연구 행정 및 지원 업무의 지속적 개선을 통한 효율성 제고

-

연구위험 관리주기 단축과 종합 검증으로

신뢰성 강화

-

R&D

-

성과확산을 통한 기술료 수입액 증대

억원 및 중소기업 기술지원

R&D

(’15~’17,

43.4

)

업무협약 강화 누적

개 기업

(

66

)

전략목표 1

1-1

항공핵심요소기술 개발 및 기술수준입증으로 시장 선점형 미래비행체 개발 및 실용화

항공 미래

비행체 핵심

기반기술

확보

1-2

헬기개발 국책사업을 통한 헬기독자개발능력 확보 및 독자엔진개발을 위한
항공기 엔진 핵심기술 개발

1-3

시장선점형 무인기 핵심기술 개발 및 실용화

1-4

항공우주제품에 대한 제품보증 기반 구축 및 적합성입증 시험평가기술 개발을

통한 산업체 기술 지원

1-5

고흥항공센터 확충을 통한 국가 항공기개발 비행시험센터 구축

전략목표 2

2-1

국가적 미션과 국가 우주개발 역량 향상을 위한 고해상도 다목적실용위성 개발

2-2

차세대 중형위성 개발을 통한 국내공공위성수요 충족 및 우주산업화 촉진

실용위성

성능 첨단화

2-3

기상 해양 및 환경관측을 위한 정지궤도복합위성의 독자적인 개발 및 핵심기술

,

자립화

2-4

위성 탑재체 핵심기술 개발

2-5

위성부품 개발 경쟁력 향상

전략목표 3

위성운영 및

위성정보

서비스 향상

3-1

효율적인 위성운영을 통한 국가개발위성의 안정적인 운영 지속

3-2

위성 및 발사체 등 국가 우주자산의 안정적 운영을 위한 우주충돌감시

3-3

위성활용 증진을 위한 통합 플랫폼 구축 및 운영

전략목표 4

4-1

한국형발사체 자력개발 추진

발사체

자력개발 및
인프라 확충

4-2

발사체 핵심기술 확보 추진

4-3

한국형발사체 발사 나로우주센터 인프라 구축

(

)

전략목표 5

5-1

달 탐사선 핵심기술 확보를 통한 시험용 달 궤도선 개발

미래

융합기술

개발 역량

확충

5-2

미래 우주항공 융복합 핵심기술 개발

5-3

위성항법 핵심기술 및 응용기술 개발


background image

128

전략목표  총괄표

2) 

전략목표 성과목표별  자원투입  현황

·

① 

연도별  사업비  및  인원

 

연도

사업비 백만원

(

)

비중

(B/A,%)

인원 정규직 명

(

,

)

비중

(D/C,%)

기관

총사업비(A)

총 연구사업비

해당 연구

사업비(B)

전체 인원(C)

해당 연구사업

투입 인원(D)

2015

493,000

426,262

411,200

83

800

716

90

2016

670,000

576,311

562,447

84

840

736

88

2017

650,000

545,823

531,886

82

850

728

86

목표별  연구사업비  및  인원

 

전략목표

항공 미래 비행체 핵심 기반기술 확보

1:

배점:

점 만점

20 /100

성과목표

배점

자원투입

연구사업비

백만원

(

)

비중
(%)

인원

( )

비중
(%)

1-1 기초미래선도형 항공핵심요소기술 개발 및 기술수준입증으로

[

]

시장 선점형 미래비행체 개발 및 실용화 출연금

(

)

20

10,622

14

173

41

1-2 산업화형 헬기개발 국책사업을 통한 헬기독자개발능력 확보

[

]

및 독자엔진개발을 위한 항공기 엔진 핵심기술 개발 수탁

(

)

10

11,219

15

50

12

1-3 공공 인프라형

시장선점형 무인기 핵심기술 개발 및

[

]

실용화 수탁

(

)

30

21,785

29

104

25

1-4 공공 인프라형 항공우주제품에 대한 제품보증 기반 구축

[

]

및 적합성입증 시험평가기술 개발을 통한 산업체 기술 지원

출연금 수탁

(

+

)

10

4,638

6

46

11

1-5 공공 인프라형 고흥항공센터 확충을 통한 국가 항공기개발

[

]

비행시험센터 구축 출연금 수탁

(

+

)

30

25,653

35

46

11

총 계(S)

100

73,918

100

420

100

전략목표

실용위성 성능 첨단화

2:

배점:

점 만점

25 / 100

성과목표

배점

자원투입

연구사업비

백만원

(

)

비중
(%)

인원

( )

비중
(%)

2-1 공공 인프라형 국가적 미션과 국가 우주개발 역량 향상을

[

]

위한 고해상도 다목적실용위성 개발 수탁

(

)

30

79,989

16

138

27

2-2 산업화형 차세대 중형위성 개발을 통한 국내공공위성수요

[

]

충족 및 우주산업화 촉진 수탁

(

)

15

59,858

12

63

12

2-3 공공 인프라형 기상 해양 및 환경관측을 위한 정지궤도복합

[

]

,

위성의 독자적인 개발 및 핵심기술 자립화 수탁

(

)

40

348,701

68

259

51

2-4 공공 인프라형 위성 탑재체 핵심기술 개발 출연금 수탁

[

]

(

+

)

10

20,924

4

22

4

2-5 산업화형 위성부품 개발 경쟁력 향상 출연금 수탁

[

]

(

+

)

5

3,061

1

25

5

총 계(S)

100

512,533

100

507

100


background image

부문별  계획

 

경영성과계획서

2015~2017 

129

전략목표

위성운영 및 위성정보 서비스 향상

3:

배점:

점 만점

5 / 100

성과목표

배점

자원투입

연구사업비

백만원

(

)

비중
(%)

인원

( )

비중
(%)

3-1 공공 인프라형 효율적인 위성운영을 통한 국가개발위성의

[

]

안정적인 운영 지속 출연금 수탁

(

+

)

50

26,426

55

116

51

3-2 공공 인프라형 위성 및 발사체 등 우주자산의 안정적

[

]

운영을 위한 우주충돌감시 출연금

(

)

10

1,443

3

11

5

3-3 공공 인프라형 위성활용 증진을 위한 통합 플랫폼 구축

[

]

및 운영 출연금

(

)

40

19,767

41

99

44

총 계(S)

100

47,636

100

225

100

전략목표

발사체 자력개발 및 인프라 확충

4:

배점:

점 만점

40 / 100

성과목표

배점

자원투입

연구사업비

백만원

(

)

비중
(%)

인원

( )

비중
(%)

4-1 공공 인프라형 한국형발사체 자력개발 추진 수탁

[

]

(

)

70

655,976

95

627

87

4-2 공공 인프라형 발사체 핵심기술 확보 추진 출연금

[

]

(

)

10

9,153

1

43

6

4-3 공공 인프라형 한국형발사체 발사 나로우주센터 인프라

[

]

(

)

구축 출연금

(

)

20

25,452

4

50

7

총 계(S)

100

690,581

100

720

100

전략목표

미래 융합기술 개발 역량 확충

5:

배점:

점 만점

10 / 100

성과목표

배점

자원투입

연구사업비

백만원

(

)

비중
(%)

인원

( )

비중
(%)

5-1 공공 인프라형 달 탐사선 핵심기술 확보를 통한 시험용

[

]

달 궤도선 개발 출연금 수탁

(

+

)

50

122,445

68

114

37

5-2 기초 미래선도형 미래 우주항공 융복합 핵심기술 개발 출연금

[

]

(

)

20

9,888

5

72

24

5-3 공공

인프라형

[

]

위성항법 핵심기술 및 응용기술 개발

출연금 수탁

(

+

)

30

48,532

27

121

39

총 계(S)

100

180,865

100

308

100


background image

130

목표별  연구사업비  투자실적  및  계획

 

단위 백만원

(

)

전략목표

미래형 항공기 기반기술 활용

1:

성과목표

실적

계획

비고

2012

2013

2014

2015

2016

2017

1-1 기초미래선도형 항공핵심요소기술 개

[

]

및 기술수준입증으로 시장 선점형 미래비
행체 개발 및 실용화 출연금

(

)

2,564

2,506

2,246

4,022

3,300

3,300

1-2 산업화형

헬기개발 국책사업을 통한

[

]

헬기독자개발능력 확보 및 독자엔진개발을
위한 항공기 엔진 핵심기술 개발 수탁

(

)

7,351

4,326

5,039

4,169

4,531

2,519

1-3 공공 인프라형 시장선점형 무인기 핵심기술

[

]

개발 및 실용화 수탁

(

)

5,088

1,728

777

2,048 10,811

8,927

1-4 공공 인프라형 항공우주제품에 대한 제품

[

]

보증 기반 구축 및 적합성입증 시험평가기술

개발을 통한 산업체 기술 지원 출연금 수탁

(

+

)

3,382

2,991

3,194

1,946

1,090

1,602

1-5 공공 인프라형 고흥항공센터 확충을 통한 국가

[

]

항공기개발 비행시험센터 구축 출연금 수탁

(

+

)

7,034

3,647

5,113

5,056

6,880 13,717

총 계(S)

25,419 15,197

16,369 17,241 26,612 30,065

전략목표

실용위성 성능 첨단화

2:

성과목표

실적

계획

비고

2012

2013

2014

2015

2016

2017

2-1 공공 인프라형

국가적 미션과 국가

[

]

우주개발 역량 향상을 위한 고해상도
다목적실용위성 개발 수탁

(

)

49,487 23,925 15,812 14,500 41,282 24,207

2-2 산업화형 차세대 중형위성 개발을 통한

[

]

국내공공위성수요 충족 및 우주산업화 촉진 수탁

(

)

0

828

0

2,200 20,147 37,510

2-3 공공 인프라형 기상 해양 및 환경관측을

[

]

,

위한 정지궤도복합위성의 독자적인 개발
및 핵심기술 자립화 수탁

(

)

20,870 55,299 91,116 123,449 149,672 75,580

2-4 공공 인프라형 위성 탑재체 핵심기술

[

]

개발 출연금 수탁

(

+

)

3,010

3,674

5,585

5,764

6,830

8,330

2-5 산업화형 위성부품 개발 경쟁력 향상

[

]

(출연금 수탁

+

)

440

1,438

2,593

1,100

987

975

총 계(S)

73,807 85,163 115,106 147,013 218,918 146,602

전략목표

위성운영 및 위성정보 서비스 향상

3:

성과목표

실적

계획

비고

2012

2013

2014

2015

2016

2017

3-1 공공 인프라형 효율적인 위성운영을 통한

[

]

국가개발위성의 안정적인 운영 지속 출연금

(

수탁

+

)

8,205

8,388

8,419

8,863

8,781

8,781

3-2 공공 인프라형 위성 및 발사체 등 국가

[

]

우주자산의 안정적 운영을 위한 우주충돌
감시 출연금

(

)

545

540

522

522

722

200

3-3 공공 인프라형 위성활용 증진을 위한

[

]

통합 플랫폼 연구 및 인프라 운영 출연금

(

)

5,889

5,889

5,889

6,589

6,589

6,589

총 계(S)

14,639 14,817 14,829 15,974 16,092 15,570


background image

부문별  계획

 

경영성과계획서

2015~2017 

131

고유임무유형별  자원투입  현황

② 

고유임무유형

자원투입

연구사업비

백만원

(

)

비중

(%)

인원

( )

비중
(%)

기초 미래선도형

1.

11,455

0.8

140

6.4

공공 인프라형

2.

1,404,495

93.3

1,853

85.0

산업화형 실용화형

3.

(

)

89,583

6.0

188

8.6

총 계(S)

1,505,533

100.0

2,180

100.0

사업유형별  자원투입  현황

③ 

사업유형

자원투입

연구사업비

백만원

(

)

비중
(%)

인원

( )

비중
(%)

고유연구

1.

116,252

7.7

588

27.0

출연 연 간 융합 협동연구

2.

( )

15,064

1.0

62

2.8

수탁사업

3.

1,374,217

91.3

1,531

70.2

총 계(S)

1,505,533

100.0

2,180

100.0

전략목표

발사체 자력개발 및 인프라 확충

4:

성과목표

실적

계획

비고

2012

2013

2014

2015

2016

2017

4-1 공공 인프라형 한국형발사체 자력개발

[

]

추진 수탁

(

)

60,340 124,491 133,177 207,000 220,229 228,747

4-2 공공 인프라형 발사체 핵심기술 확보

[

]

추진 출연금

(

)

1,230

2,335

2,165

1,893

3,630

3,630

4-3 공공 인프라형 한국형발사체 발사 나로

[

]

(

우주센터 인프라 구축 출연금

)

(

)

2,306

5,419

7,613

8,626

8,413

8,413

총 계(S)

63,876 132,245 142,955 217,519 232,272 240,790

전략목표

미래 융합기술 개발 역량 확충

5:

성과목표

실적

계획

비고

2012

2013

2014

2015

2016

2017

5-1 공공 인프라형 달 탐사선 핵심기술 확보를

[

]

통한 시험용 달 궤도선 개발 출연금 수탁

(

+

)

2,062

1,600

1,738

1,324 37,310 83,811

5-2 기초 미래선도형 미래 우주항공 융복합

[

]

핵심 기술 개발 출연금

(

)

2,193

3,404

3,219

3,086

3,401

3,401

5-3 공공 인프라형

[

]

위성항법 핵심기술 및

응용기술 개발 출연금 수탁

(

+

)

8,693

7,256

6,459

9,044 27,842 11,646

총 계(S)

12,949 12,260 11,417 13,454 68,553 98,858


background image

132

전략목표 고유임무유형별  자원투입  현황

·

④ 

단위 백만원

(

)

전략목표1

성과목표1

성과목표2

성과목표3

성과목표4

성과목표5

출연금

사업

수탁
사업

출연금

사업

수탁
사업

출연금

사업

수탁
사업

출연금

사업

수탁
사업

출연금

사업

수탁
사업

기초 미래선도형

1.

5,749

(54%)

1)

-

-

-

-

-

-

-

-

-

공공 인프라형

2.

4,873

(46%)

-

-

-

-

21,785

(100%)

-

3,798

(82%)

9,366

(37%)

16,287

(63%)

산업화형 실용화형

3.

(

)

-

-

-

11,219

(100%)

-

-

840

(18%)

-

-

-

합계

10,622

-

-

11,219

-

21,785

840

3,798

9,366

16,287

전략목표2

성과목표1

성과목표2

성과목표3

성과목표4

성과목표5

출연금

사업

수탁
사업

출연금

사업

수탁
사업

출연금

사업

수탁
사업

출연금

사업

수탁
사업

출연금

사업

수탁
사업

기초 미래선도형

1.

-

-

-

-

-

-

-

-

-

-

공공 인프라형

2.

-

79,989

(100%)

-

-

348,701

(100%)

6,960

(33%)

2,730

(13%)

-

-

산업화형 실용화형

3.

(

)

-

-

-

59,858

(100%)

-

-

11,234

(54%)

-

2,213

(72%)

848

(28%)

합계

-

79,989

-

59,858

- 348,701

18,194

2,730

2,213

848

전략목표3

성과목표1

성과목표2

성과목표3

출연금

사업

수탁
사업

출연금

사업

수탁
사업

출연금

사업

수탁
사업

기초 미래선도형

1.

-

-

-

-

-

-

공공 인프라형

2.

21,909

(83%)

4,517

(17%)

788

(55%)

655

(3%)

19,767

(100%)

-

산업화형 실용화형

3.

(

)

-

-

-

-

-

-

합계

21,909

4,517

788

655

19,767

-

전략목표4

성과목표1

성과목표2

성과목표3

출연금

사업

수탁
사업

출연금

사업

수탁
사업

출연금

사업

수탁
사업

기초 미래선도형

1.

-

-

-

-

-

-

공공 인프라형

2.

-

655,976

(100%)

9,153

(100%)

-

25,452

(100%)

-

산업화형 실용화형

3.

(

)

-

-

-

-

-

-

합계

- 655,976

9,153

-

25,452

-

전략목표5

성과목표1

성과목표2

성과목표3

출연금

사업

수탁
사업

출연금

사업

수탁
사업

출연금

사업

수탁
사업

기초 미래선도형

1.

- 

- 

5,706

(58%)

-

- 

- 

공공 인프라형

2.

1,324

(1%)

121,121

(99%)

811

(8%)

-

1,800

(4%)

46,732

(96%)

산업화형 실용화형

3.

(

)

- 

- 

3,371

(34%)

-

- 

- 

합계

1,324 121,121

9,888

-

1,800

46,732

비율은 각 전략목표내 성과목표별 합계 대비 해당 부분의 비율

1)


background image

부문별  계획

 

경영성과계획서

2015~2017 

133

전략목표 성과목표별  성과지표  현황

·

⑤ 

전략목표

항공 미래 비행체 핵심 기반기술 확보

1

배점

점 만점

20 /100

성과목표

배점

성과지표

배점

1-1 기초미래선도형 항공핵심요소

[

]

기술 개발 및 기술수준입증으로

시장 선점형 미래비행체 개발 및
실용화 출연금

(

)

20

비행고도

HALE

15

헬기 로터 착륙접근비행 소음저감

5

항공기 내추락 해석오차 가속도

(

)

7

틸트로터 무인기 체공성능 향상

8

추진시스템 램제트모드

RBCC

Isp

8

추진 시스템 연료소모율

Hybrid

9

위험장애물 탐지율

9

비행체 중량감소 금속재 구조 대비

(

)

8

호버링 로터 효율 증가

대비

(TR-60

)

8

수소왕복엔진 운용고도

10

표준화된

상위

논문

IF

20% SCI

8

논문

SCI

P/F

기술이전특허

P/F

기술료 수입

5

1-2 산업화형 헬기개발 국책사업을

[

]

통한 헬기독자개발능력 확보 및
독자엔진개발을 위한 항공기

엔진 핵심기술 개발 수탁

(

)

10

전진비행 최대양항비

12

동체 진동저감

14

엔진출력증대

12

엔진 고압터빈기술

15

엔진 제어

설계

S/W

14

엔진 고공시험기술

20

표준화된

상위

논문

IF

20% SCI

8

논문

SCI

P/F

기술이전특허

P/F

기술료 수입

5

1-3 공공 인프라형 시장선점형 무인기

[

]

핵심기술 개발 및 실용화 수탁

(

)

30

함상 착륙오차

37

가변회전수 드라이브 및 로터

10

편대비행 대수

10

상대항법 측정정확도

19

착륙 지점 이동속도

19

논문

SCI

P/F

기술이전특허

P/F

기술료 수입

5

1-4 [공공 인프라형 항공우주제품에

]

대한 제품보증 기반 구축 및 적합성

입증 시험평가기술 개발을

통한

산업체 기술 지원 출연금 수탁

(

+

)

10

국가 항공우주 제품보증 기술 기반 구축

45

항공우주제품의 안전성 신뢰성 확보를 위한 항공우주산업체 지원

,

50

논문

SCI

P/F

기술료 수입

5


background image

134

1-5 공공 인프라형 고흥항공센터

[

]

확충을 통한 국가 항공기개발
비행시험센터 구축 출연금 수탁

(

+

)

30

훨타워 시험기간

20

비행시험 시설 구축의 계획 대비 공정률

15

항공센터 비행시험 시간

35

대형 항공시험평가 설비 가동률

25

논문

SCI

P/F

기술료 수입

5

전략목표

실용위성 성능 첨단화

2

배점

점 만점

25 /100

성과목표

배점

성과지표

배점

2-1 공공 인프라형 국가적 미션과

[

]

국가 우주개발 역량 향상을 위한

고해상도 다목적실용위성 개발 수탁

(

)

30

서브미터급(0.55m) 고해상도 광학 탑재 및

채널 탑재 다목적

IR

실용위성

개발

(K3A)

40

서브미터급(0.5m) 고해상도 영상레이더 탑재
다목적실용위성

시스템 설계

(K6)

20

서브미터급(0.5m) 고해상도 영상레이더 탑재
다목적실용위성

본체 시작품 제작

(K6)

20

표준화된

상위

논문

IF

20% SCI

5

논문

SCI

P/F

기술이전특허

P/F

기술료 수입

15

2-2 산업화형 차세대 중형위성 개발을

[

]

통한 국내공공위성수요 충족 및
우주산업화 촉진 수탁

(

)

15

급 표준플랫폼개발

500kg

20

급 정밀 광학탑재체개발

0.5m

20

시작품개발

20

산업화 예산이전

20

표준화된

상위

논문

IF

20% SCI

5

논문

SCI

P/F

기술이전특허

P/F

기술료 수입

15

2-3 공공 인프라형 기상 해양 및

[

]

,

환경관측을 위한 정지궤도복합
위성의 독자적인 개발 및 핵심기술

자립화 수탁

(

)

40

시스템 위성본체 지상국 핵심기술 개발

,

,

30

기상 및 우주기상 탑재체 개발

15

해양 탑재체 개발

15

환경 탑재체 개발

15

시제품 제작 국산화 품목

(

(H/W, S/W))

15

표준화된

상위

논문

IF

20% SCI

5

논문

SCI

P/F

기술이전특허

P/F

기술료 수입

5


background image

부문별  계획

 

경영성과계획서

2015~2017 

135

2-4 공공 인프라형 위성 탑재체

[

]

핵심기술 개발 출연금 수탁

(

+

)

10

광학계 해상도

15

광학계 MTF

10

영상레이더 지상모델

15

탑재체 해상도

GEO

10

탑재체

GEO

MTF

10

시험인증

20

표준화된

상위

논문

IF

20% SCI

5

논문

SCI

P/F

기술이전특허

P/F

기술료 수입

15

2-5 산업화형 위성부품 개발 경쟁력

[

]

향상 출연금 수탁

(

+

)

5

능동형 안테나 공학인증모델

10

용 우주 베어링 모듈 및 구동제어장치 실험모델

CMG

10

위성용 채널필터들의 삽입손실

10

극저온 블로워

10

저주파 음향소스

5

고주파 음향소스

5

위성용 안테나 패턴 측정 기술

5

급 위성용 부품의

검증

QM

Screening

10

시제품 제작

15

중소기업지원

10

표준화된

상위

논문

IF

20% SCI

5

논문

SCI

P/F

기술이전특허

P/F

기술료 수입

5

전략목표

위성운영 및 위성정보 서비스 향상

3

배점

점 만점

5 /100

성과목표

배점

성과지표

배점

3-1 공공 인프라형 효율적인 위성

[

]

운영을 통한 국가개발위성의

안정적인 운영 지속 출연금 수탁

(

+

)

50

다목적실용위성 임무운영 성공률

43

천리안위성 임무운영 성공률

42

우주임무 누적시간

P/F

위성운영기술 선진화 및 국제화 지속

10

논문

SCI

P/F

기술료 수입

5

3-2 공공 인프라형 위성 및 발사체

[

]

등 우주자산의 안정적 운영을
위한 우주충돌감시 출연금

(

)

10

우주물체감시레이더 모델링 및 시뮬레이터 기술

달성도

TRL

65

우주물체감시 해외기관

체결

MOU

25

논문

SCI

P/F

기술이전특허

P/F

연구소기업 창업 포함 수

(

)

10


background image

136

3-3 공공 인프라형 위성활용 증진을

[

]

위한 통합 플랫폼 구축 및 운영

출연금

(

)

40

호 검보정 및 품질 향상을 통한

향상

3A

MTF

GSD

35

위성정보 서비스 정부기관 대상 배포 영상

(

)

32

위성정보 통합 플랫폼 구축을 통한 사용자 만족도

10

문화 확산 및 국제 협력

20

표준화된

상위

논문

IF

20% SCI

3

논문

SCI

P/F

전략목표

발사체 자력개발 및 인프라 확충

4

배점

점 만점

40 /100

성과목표

배점

성과지표

배점

4-1 공공 인프라형 한국형발사체

[

]

자력개발 추진 수탁

(

)

70

한국형발사체 주요

달성도

CTE

TRL

30

단형 시험발사체 진척율

2

20

한국형발사체 개발지수

30

발사체 관련 기업육성실적

10

표준화된

상위

논문

IF

20% SCI

5

논문

SCI

P/F

기술이전특허

P/F

기술료 수입

5

4-2 공공 인프라형 발사체 핵심기술

[

]

확보 추진 출연금

(

)

10

파이로 분리장치 충격저감

5

페어링 음향저감

5

안전장전장치 시험규격 한국형발사체규격

(

:

)

5

복합재 프레임 경량화

5

상단 로켓 엔진 고성능화

20

정지궤도 위성발사체 개념도출

20

시제품 제작

20

표준화된

상위

논문

IF

20% SCI

10

논문

SCI

P/F

기술이전특허

P/F

기술료 수입

10

4-3 공공 인프라형 한국형발사체 발사

[

]

나로우주센터 인프라 구축 출연금

(

)

(

)

20

한국형발사체 발사를 위한 장비 추가 구축 및 개발

50

한국형발사체 발사를 위한 기 도입장비 성능개선

50

논문

SCI

P/F

전략목표

미래 융합기술 개발 역량 확충

5

배점

점 만점

10 /100

성과목표

배점

성과지표

배점

5-1 공공 인프라형 달 탐사선 핵심

[

]

기술 확보를 통한 시험용 달 궤도선
개발 출연금 수탁

(

+

)

50

달 궤도선 독자개발에 필요한 핵심기술 확보율

25

파장분해능(R= /

)

λ Δλ

10

시험용 달 궤도선 개발

50

표준화된

상위

논문

IF

20% SCI

5

논문

SCI

P/F

기술이전특허

P/F

기술료 수입

10


background image

부문별  계획

 

경영성과계획서

2015~2017 

137

5-2 기초 미래선도형 미래 우주항공

[

]

융복합 핵심기술 개발 출연금

(

)

20

자세제어오차 초소형위성

(

)

30

위치제어오차 소형 드론

(

)

25

내풍속도 소형 드론

(

)

25

표준화된

상위

논문

IF

20% SCI

5

논문

SCI

P/F

기술이전특허

P/F

기술료 수입

15

5-3 공공 인프라형 위성항법 핵심

[

]

기술 및 응용기술 개발 출연금

(

+

수탁)

30

지상 시스템 설계

SBAS

30

지상 시스템 제작

SBAS

30

시제품 제작

30

표준화된

상위

논문

IF

20% SCI

5

논문

SCI

P/F

기술이전특허

P/F

기술료 수입

5


background image

138

세부계획

3) 

전략목표  1

항공 미래 비행체 핵심 기반기술 확보

  

기  본  방  향

목적

◦ 항공 미래 비행체 핵심기술을 확보해 항공기술 선도국 도약을 위한 기반을 구축
◦ 헬기 등의 국가항공기 개발을 지원하고 미래형 무인기의 실용화 및 세계시장 진출을 위한

,

기반기술을 확보

◦ 항우연이 개발에 성공한 틸트로터 무인기의 세계 최초 실용화 및 세계시장 선점을 위해

성능과 운용성 제고를 위한 핵심기술을 개발

◦ 항공우주제품에 대한 제품보증 기반구축 적합성입증기술 개발 및 산업체 지원을 통한

,

창조경제 기여

◦ 항공우주선진국 수준의 시험평가기술 개발을 통한 산업체 경쟁력 향상 지원
◦ 연구원이 보유한 비행 및 지상시험 설비를 활용해 국가 항공기 개발 참여 및 국내 산 학 연에

ㆍ ㆍ

기술 지원을 수행

필요성

◦ 국내 항공산업의 한단계 도약을 위해서는 선도국 추격전략

을 신상품

(fast follower)

선도전략(first

으로 전환이 필요하며 이를 위한 미래형 비행체에 대한 기반기술의

mover)

,

우선 확보가 시급

◦ 항우연이 보유한 기반기술과 시험평가 설비를 바탕으로 헬기 등의 국가 개발 항공기에 대한

개발에 참여함으로써 국가 항공산업 발전에 기여가 필요

◦ 수직이착륙 및 고속비행이 가능한 함상운용 틸트로터 무인기는 국내 수요에 대응이 가능할

뿐만 아니라 기술경쟁력이 충분하여 세계시장 선점 가능

,

◦ 국내 산 학 연에서 개발한 완제기 및 관련부품의 비행 및 지상 시험평가를 수행하고

ㆍ ㆍ

지원함으로써 국가항공산업의 기술기반을 공고화

추진방향

◦ 전기 수소왕복 고고도 무인기의 시스템 기술 및 핵심 기반기술을 개발하고 저소음 로터

(

,

)

,

,

초경량 구조물 자율자동 비행기술 등의

를 중심으로한 미래형 비행체 핵심기술을 개발

,

PAV

◦ 헬기개발 국책사업에 참여하여 추후 헬기의 국내독자개발이 가능할 정도의 핵심기술을

확보하고

엔진

관련

기술로

출력증대기술

고압터빈기술

엔진제어

설계기술

,

,

S/W

,

고공시험기술을 개발

◦ 고속 수직이착륙이 가능한 틸트로터 무인기 체계개발을 통해 국내외 수요에 대응하고 글로벌

-

,

수직이착륙 무인기시장 선점

◦ 항공우주제품에 대한 제품보증 기반 구축 및 적합성입증 및 안전성평가 환경시험기술

개발

및 산업체 기술 지원

◦ 고흥 항공센터의 비행시험시설 및 기술을 단계적으로 확충함으로써 국내 산 학 연의 무인기 소형기

/

ㆍ ㆍ

개발을 지원하며 시험평가 설비 운영을 효율화

,


background image

부문별  계획

 

경영성과계획서

2015~2017 

139

성과목표

성과지표 수 개

( )

1-1 기초미래선도형

항공핵심요소기술 개발 및 기술수준입증으로 시장 선점형

[

]

미래비행체 개발 및 실용화 출연금

(

)

14

1-2 산업화형 헬기개발 국책사업을 통한 헬기독자개발능력 확보 및

[

]

독자엔진개발을

위한 항공기 엔진 핵심기술 개발 수탁

(

)

10

1-3 공공 인프라형 시장선점형 무인기 핵심기술 개발 및 실용화 수탁

[

]

(

)

8

1-4 공공 인프라형 항공우주제품에 대한 제품보증 기반 구축 및 적합성입증 시험

[

]

평가기술 개발을 통한 산업체 기술 지원 출연금 수탁

(

+

)

4

1-5 공공인프라형

고흥항공센터 확충을 통한 국가 항공기개발 비행시험센터

[

]

구축 출연금 수탁

(

+

)

6

항우연 항공 미래비행체 개발 계획

<

>


background image

140

성과목표  1-1

기초

미래선도형 항공핵심요소기술 개발 및 기술수준입증으로 

[

시장 선점형 미래비행체 개발 및 실용화 출연금

(

)

주요내용

(1) 

성과목표  개요

 

◦ 개요 세계적으로  개발중인  항공  핵심기술을  선도적으로  개발함으로써  추격형  기술개발에서 

(

탈피하고 기술개발 및  입증을  통해 세계시장을 선점할 수  있는 미래형 비행체  핵심기술개발

◦ 구성 미래선도형  항공핵심기술은  아래와  같이  구성됨

(

– 고고도  장기체공  전기동력무인기  기반기술  개발 고고도용  고효율  프로펠러

초경량 

(

구조설계 바람의  영향을  고려한  비행체  제어기술  및  고고도용  모터 배터리  제작  등

/

)

– 저소음  로터  및  항공기  내추락  설계 해석  기술개발

/

– 틸트로터  무인기  체공성능향상  기술개발 보조익을  활용한  공력성능  향상

(

)

– RBCC(Rocket-Based Combined Cycle) 추진시스템 핵심기술 개발

추진시스템 설계 및 

 

(RBCC 

성능해석 이젝터  로켓  모드 램제트  모드 스크램제트  모드  공력  및  연소  성능시험  기술연구

/

/

)

– 항공  미래형  비행체  핵심  요소기술  연구 미래형  비행체  기술통합  연구 친환경 고효율 

(

/

추진기술  연구 비행상황  인식  및  자율대응  기술연구 고성능 저소음 저진동  기술연구

/

/

경량구조  및  구조안전성  향상기술  연구)

– 고고도  장기체공  무인기용  수소왕복엔진  기술연구 왕복엔진  수소적용  기술연구 다단 

(

터보차저 열교환기  기술  연구 수소엔진  통합 시험  기술연구

/

/

)

연구동향  및  필요성

 

◦ 연구동향

– 국내 고고도  장기체공  전기동력  무인기는  체공시간 

시간  및  고도 

상승  비행에 

(

25

10km 

성공하였고 

년에는 성층권 상승 시험수행 예정임 또한 미래형 친환경 고효율 비행체 

2015

설계를  위한  핵심기술인  추진시스템  및  추력장치 저  하중  구조설계  기술  등이  진행중임

– 해외 수직이착륙 고고도  장기체공  등  다양한  임무를  수행하는  무인기  개발이  활발히 

(

진행중이며  친환경  미래형  항공기술에  대한  연구도  지속적으로  진행중임

∙ 미국 수소왕복엔진을  장착한  고고도  장기체공  무인기에  대한  연구개발이 

을 

(

Boeing

중심으로  진행중이며 

및 

등의 

회사들도  태양광  에너지를  이용한 

Google 

Facebook

IT 

고고도  장기체공  무인기  개발에  착수함 또한 

등  미래형  비행체에  대한  관심과 

PAV 

연구개발이  진행되고  있음

의  태양광  무인기인 

는  고도 

상승  및  주이상의  비행기록을 

(EU)  EADS

Zephyr

21km 

2

수립하였고  이의  성능  및  활용성을  높이기  위한  연구가  진행중임


background image

부문별  계획

 

경영성과계획서

2015~2017 

141

◦ 사회적 경제적  이슈

/

– 항공분야  차세대  주요  먹거리의  하나로  세계적으로  무인기에  대한  관심과  기술개발이 

활발히  진행되고  있으며  고고도  장기체공  무인기  및  틸트로터  무인기에  대한  관심과 

기술개발은  전세계적으로  진행되고  있음

– 각종 재난지역 및 특정지역의 감시 및 정찰의 필요성이 대두되고 있으며 도서 및 산간지역의 

통신  중계  등도  필요

– 항공우주  핵심  요소기술의  개발을  통해  항공과  우주비행체의  개발에  필요한  요소기술의  심화

– 향후 자동차를 대신할 수 있는 개인용 항공기

등 미래형 비행체 개발을 위한 핵심기술을 

(PAV) 

선제적으로  개발하여  미래형  비행체  개발을  선도함

◦ 기술적  이슈

– 고고도  장기체공  무인비행체  개발을  위해  고고도  환경에  적합한  고효율  프로펠러 초경량 

비행체  설계 제작 고공풍의  영향을  고려한  제어기술  및  고효율  동력원  및  저장장치의 

/

개발이 필요함 또한 주어진 임무를 성공적으로 완수할 수 있는 고성능 저중량 임무 장비의 

개발이  필요함

– 미래형 비행체 개발에 필요한 핵심요소기술의 분류 및 기술개발은 향후 비행체 개발과제의 

성공적  수행을  위해  필수적인  것으로  고효율  친환경  추진시스템 동력원 추력장치  등

(

), 

경량구조  설계  및  안정성  향상 지능형  제어법칙  개발  등이  필요함

개발을  위해  스크램제트  모드에서  안정적인  초음속  연소기술의  개발이  시급함

RBCC 

– 높은 탑재중량과 조기 상용화가 가능한 고고도 장기체공 비행체를 위한 수소왕복 엔진개발은 

고고도환경에  운용이  적합한  고효율  저중량  단  터보차저  및  엔진  시스템  기술개발이 

3

필수적임

추진방향

 

◦ 미래형  비행체를  위한  핵심기술을  개발하고  이  기술들이  적용된  다양한  비행체를  개발하여 

기술을  시연하고  그  우수성을  입증함

– 전기 동력 및 수소왕복엔진  무인기  시스템  기술  및  핵심기반기술을 개발하여  고고도  상승 

및  장기체공  성능  시연

– 저소음 로터 내 추락 해석 및 설계 기술 틸트 로터 체공성능 향상 기술 등을 개발하여 각종 

비행체의  성능  시연

– 미래형 

추진  및  고효율  추력시스템 지능형  자율비행기술 초경량  구조설계  기술 

Hybrid 

등  미래형  비행체  핵심기술을  개발함


background image

142

추진체계  및  절차

 

◦ 고고도  장기체공  무인기  핵심기술  개발은  항우연을  중심으로  중소기업과의  협력을  통해 

진행하며  수소왕복엔진  개발은  타출연연과의  협력을  통해  과제  추진

◦ 저소음  로터 내  추락  해석  및  설계  기술 틸트로터  체공성능  향상  등의  기술은  기  개발된 

항우연의  기술을  바탕으로  성숙도를  향상함

◦ 자율비행기술은  해외  연구소와의  국제협력을  통해  과제  추진

전략목표와의  부합성

(2) 

전략목표

성과목표

전략목표와의 부합성

항공 미래

비행체 핵심

기반기술 확보

항공핵심요소기술

개발 및

기술수준입증으로

시장 선점형

미래비행체 개발 및

실용화

◦ 고고도 장기체공 전기동력 무인기는 수요가 증대하는 반면 세계적으로

,

기술개발 초기단계에 있으므로 기술개발을 선제적으로 수행함으로써
기술 선도 및 시장선점이 용이함

◦ 저소음 로터 및 항공기 내추락 설계 해석 기술개발은 항공기

/

성능을 향상시킬 수 있는 기술로 국내 항공기 설계기술의 수준을

높일 수 있음

◦ 틸트로터 무인기는 미국과 한국만이 기술개발에 성공한 시장선점형

제품으로 성능 및 운용능력 제고를 통해 한국이 세계 최초로 틸트로터
무인기의 실용화에 성공

엔진은 우주 비행기의 추진기관에 적용하기 위한 목적으로

RBCC
연구 개발하고 있으며 관련 기술은 미래 비행체 개발에 적극 활용될

수 있음

등 미래형 비행체는 향후 항공기 및 자동차 시장을 대체할 수

PAV

있는 차세대 주요먹거리 분야로 인식되고 있으며 미래형비행체
핵심요소기술은 미래 비행체 개발에 필수적인 기술로 비행체

개발을 위한 필수 기술임 또한 개발된 요소기술은 기존 항공기에도

.

적용되어 그 성능을 향상할 수 있음

◦ 수소왕복엔진 장착 고고도 장기체공 무인기는 높은 탑재중량과

조기에 상용화 가능성이 높아 향후 다양한 민 군 수요 감시 통신중계

/

(

,

등 충족 가능

)


background image

부문별  계획

 

경영성과계획서

2015~2017 

143

성과지표  현황

(3) 

성과지표  및  지표별  목표

 

사업
구분

성과지표

실적

목표

장기목표

분야 유형

지표명

2012

2013

2014

2015

2016

2017



기술

기술
혁신

비행고도

HALE

[km]

(High Altitude Long

Endurance)

1

5

8

12

이상

12km

헬기 로터 착륙접근비행

소음저감[dB]

2.0

해석

(

)

3.0

해석

(

)

3.0

해석

(

)

항공기 내추락

해석오차 가속도

(

)[%]

±20

±10

±5

±5%

틸트로터 무인기

체공성능 향상

기준

(

TR-60

)[%]

10

15

20

20%

추진시스템

RBCC

램제트모드 Isp[sec]

2,500

해석

(

)

2,000

시험

(

)

2,500

시험

(

)

2,500sec

시험

(

)

추진 시스템

Hybrid

연료소모율[kg/HPh]

0.25

해석

(

)

0.24

시험

(

)

0.23kg/HPh

시험

(

)

위험장애물 탐지율

(Hazard detection rate)

[%]

90

설계

(

)

90

시험

(

)

95%

시험

(

)

비행체 중량감소[%]

금속재 구조 대비

(

)

10

15

18%

호버링 로터 효율 증가

대비

(TR-60

)[%]

2

3

4%

수소왕복엔진

운용고도[km]

18

설계

(

)

18

해석

(

)

고도 20km

해석 시험

(

/

)

기관 핵심 성과지표 및 공통지표

과학 논문

표준화된

상위

IF

20%

논문 편

SCI

[ ]

1

0

0

1

1

1

논문 편

SCI

[ ]

9

9

13

11

11

11

경제 기술료

기술이전특허 건

[ ]

1

1

4

2

2

2

기술료 수입 억원

[

]

2.19

1.07

1.50

1.15

1.30

1.6


background image

144

주요  성과지표의  의미  및  중요성

 

성과지표명

성과지표의 의미 및 중요성

비행고도

HALE

의 미 성층권 고도

이상

운용 가능성 지표

(

)

(

12km

)

중요성 영하

도 성층권 환경에서 운용 가능한 고효율 모터 및 고고도용 프로펠러

(

)

70°

설계 제작 기술 저밀도 저온 전기동력시스템 설계 기술 고고도 상승 및

,

,

정점 체공 제어기 설계 기술의 확보여부 확인

헬기 로터

착륙접근비행

소음저감

(

민수인증 규격에서 요구하는 착륙접근

비행 조건

) ICAO

(Approach)

(BVI

소음발생 조건 에서 로터 중심 대비 하방

평면에서의 최대 소음의

)

,

1.1R

기준 블레이드

대비 저감 수준

(BO-105)

중요성 인류의 안락함 요구 충족 및 점차 강화되는 소음규제를 극복하고 국제경쟁력

(

)

강화를 위해 필수적임

내추락 해석오차

가속도

(

)

의 미

(

)

내추락 해석 시 동체

좌석 장착점 위치의 수직방향 가속도 오차

Floor

중요성

(

)

항공기 내추락 안전성 향상은 탑승자의 생존성 향상을 통해 달성하며

탑승자 생존성은 충격하중의 크기에 의해 결정됨 충격하중은 동체

.

Floor

좌석 장착점에서의 가속도 측정을 통해 확인되며 수직방향 가속도는 탑승자

생존성을 평가하는 가장 중요한 기준으로 작용함

틸트로터 무인기

체공성능 향상

의 미

회 주유로 비행 가능한 시간 지표

(

) 1

중요성

(

)

조종사가 탑승하지 않는 무인기는 피로도 문제가 없어 무인기 조종사는

(

지상에서 교대투입 가능 기계의 성능이 허락하는 한 체공시간을 늘릴 수

)

있음 체공시간이 길수록 임무연속시간이 늘어나므로 시스템 활용도가 높아짐

.

.

체공성능은 운용반경 및 유상하중과 함께 무인기의 활용성을 가름하는
대표적인 성능 지표임

추진시스템

RBCC

램제트모드 Isp

의 미

엔진 램제트 모드 비행마하수

(

) RBCC

(

5) I

sp

중요성 단위 연료 당 발생 추력

(

)

(I

sp 을 높여 연료 탑재량 줄임

)

추진기관

Hybrid

시스템 효율

의 미 친환경 고효율 추진시스템 효율

(

)

/

중요성 엔진과 전기동력원을 결합한 하이브리드 구동방식의 에너지 효율

(

)

위험장애물

탐지율(Hazard

detection

rate)[%]

의 미

전방의

(

) 100m

1m

2 크기의 장애물 탐지 성공 확률

중요성

(

)

미래형 비행체는 비행경로상의 장애물을 스스로 탐지하고 비행운항규정을

충족하는 기동을 통하여 회피할 수 있어야 함 위험 장애물 탐지 성능은 비행체의

.

안전에 가장 중요한 지표임.

비행체 중량감소

금속재 구조 대비

(

)

의 미 일체형 복합재 구조물의 기존 금속재 구조 대비 중량 감소율

(

)

중요성

(

)

일체형 복합재 구조와 종래 기술인 금속재 구조의 중량을 비교함으로써

경량화 달성에 대한 지표

호버링 로터 효율

증가

대비

(TR-60

)

의 미 호버링시 로터 효율 향상

(

)

중요성

(

)

호버링 로터 효율의 증가는 비행체의 총무게 대비 증가율을 의미하기 때문에

이 증가분은 유상하중의 증가를 의미함

수소왕복엔진

운용고도

의 미 수소왕복엔진 운용 가능 고도

(

)

중요성

(

)

고고도 대기조건 온도 압력 밀도 를 고려하여 운용가능한 수소왕복엔진

(

,

,

)

시스템의 고도


background image

부문별  계획

 

경영성과계획서

2015~2017 

145

목표  설정  근거 타당성 및  평가방법

 

(

사업
구분

성과지표

최종목표

목표 도출근거

평가 검증 방법

(

)

분야

유형

지표명

출연금

기술

기술혁신

비행고도

HALE

이상

12km

제트기류(8km~12km)

통과

비행시험

헬기 로터

착륙접근비행

소음저감

3.0dB

풍동시험

NASA ATR 3dB(

)

착륙접근비행

ICAO

조건 해석

(

)

내추락

해석오차

가속도

(

)

±5%

해석 오차는 실물

±5%

시험에서 발생될 수 있는

측정오차 수준으로 판단

시뮬레이션 및 구조

시험체 낙하 시험

틸트로터 무인기

체공성능 향상

20%

경쟁기종 무인헬기

(

)

대비 성능 우위확보

비행시험

추진시스템

RBCC

램제트모드 Isp

2500sec

시험

(

)

2500sec

해석

(

)

지상시험

추진

Hybrid

시스템

연료소모율

0.23kg/HPh

이하

기존 가스터빈엔진

연료소모율 0.254kg/HPh

마력급 터보샤프트

( 550

엔진기준)

해석 및

지상통합시험

위험장애물

탐지율

이상

95%

장애물탐지센서 성능

비행시험

중량감소율 금속

(

재 구조 대비)

20%

해외 연구 사례 목표치 기준

중량 측정

호버링 로터 효율

증가

대비

(TR-60

)

3%

틸트로터 무인기의

TR-60

성능 기준

해석

수소왕복엔진

운용고도

18km

세계최고수준 20km

해석

과학

논문

표준화된

상위

IF

논문

20% SCI

3

기관 핵심 성과지표와

최근

년간 실적 및

3

고유임무재정립

목표치 고려

상위

해당

IF

20%

논문 게재 실적

논문

SCI

33

논문 게재 실적

경제

기술료

기술이전특허

6

기술이전 특허 실적

기술료 수입

억원

4.05

기술료 계약 실적


background image

146

유사  해외  선진연구기관과  비교

 

주요 기술

기관명

기술 수준 및 주요내용

기술력

KARI

년도

2014
기술 수준

년도

2017
기술 목표

비행고도

HALE

1)

QinetiQ

영국

(

)

21.56km

10km

이상

12km

헬기 로터 착륙접근비행

소음저감(dB)

NASA

미국

(

)

통합해석코드

개발

CAMRAD II

재료를 이용한

Piezo

능동비틀림블레이드 설계

풍동시험

3dB(

)

2.0

해석

(

)

3.0

해석

(

)

내추락 해석오차

가속도

(

)

JAMS

미국

(

)

5%

10%

5%

틸트로터 비행체

체공시간

Northrop-

Grumman

미국

(

)

시간

6

시간

6.9

시간

7.2

추진시스템

RBCC

핵심기술

NASA

미국

(

)

3500sec

해석

(

)

2000sec

시험

(

)

2,500sec

시험

(

)

친환경 고효율 추진기술

/

연구

Siemens

독일

(

)

하이브리드동력 비행기 개발

중 연료소모율

(

25%

향상목표)

-

연료소모율

향상

10%

위험장애물 탐지율

Boeing

미국

(

)

이상

95%

80%

95%

중량감소율

금속재 구조 대비

(

)

GKN

aerospace

영국

(

)

25%

10%

20%

고고도 장기체공 무인기용

수소왕복엔진 기술

Boeing

미국

(

)

운용 고도

-

20km

축소형 기술시연기 개발 중

-

-

18km

해석

(

)

사의 

의  비행시험은  편서풍의  영향이  없는  미국 

나 

에서  수행한  결과이며 최근  수행한 

1)  QinetiQ

Zephyr

Arizona

New  Mexico

비행시험도  편서풍의  영향이  없는  호주 지역에서 수행한 결과로 국내의 시험수행 여건과 차이가  있음 또한 

의  목표는  국내 

KARI

관련  과제인  고고도  장기체공  무인기  과제의  가장  큰  기술적  난제인  고도 

에  있는  제트기류와  편서풍을  극복하고 

8-12km

성층권 고도 

이상 에  상승하는  것으로  볼  수  있음

(

12km 

)


background image

부문별  계획

 

경영성과계획서

2015~2017 

147

성과활용  및  기대효과

(4) 

구분

주요 내용

성과활용

◦ 상시 통신중계 및 실시간 영상감시가 가능한 성층권 정보획득 시스템 구축에 활용가능하며

전기추진 항공기 연구개발 기술 및 시설 인프라로 활용

◦ 친환경 저소음 로터 개발 및 기존 헬리콥터 성능향상을 위한 개량
◦ 고효율

개발 및 각종 고효율 프로펠러 개발에 활용

wind turbine blade

◦ 저중량 항공기 구조 설계 및 저하중 자동차 설계 등에 활용
◦ 다양한 임무 수행이 가능한 틸트로터 무인기의 활용을 통하여 국가 공공이익 및 방위력 증진

엔진 핵심 기술을 재사용 발사체에 적용하여 발사 비용을 대폭 감소 극초음속 유도무기

RBCC

,

적용가능

◦ 친환경 고효율 복합 동력 시스템 기술 등은

시스템개발에 적극 활용

PAV

◦ 높은 탑재중량 실현 가능한 수소왕복엔진 장착 고고도 장기체공 무인기 체계 개발을 통한

다양한 민 군 수요 감시 통신중계 등 충족

/

(

,

)

기대효과

◦ 환경 재난 핵위협 테러위협 지역분쟁 위험이 증대되어 언제 어디서나 실시간으로

,

,

,

,

감시 관측하여 분석 제공하는 국가적 영상정보서비스 수요 충족

◦ 지식기반경제 시대에는 각종 정보의 융 복합을 통한 가치 창출이 요구되므로 실시간

,

상시 영상정보의 획득은 새로운 시장 창출

◦ 체공시간 등의 다양한 운용 요구도를 만족시킬 수 있는 실용화 틸트로터 무인기 개발

엔진은 지상고도에서 이륙 후 최고 마하수

의 비행 후 선회할 수 있어 재사용

RBCC

7

발사체 적용 시 발사비용 절감

극초음속 우주항공기 적용을 통한 물류수송산업의

,

혁신적인 변화를 가져올 것으로 예상되므로 경제 및 산업적 측면에서도 그 파급효과가
높을 것으로 기대됨

◦ 미래의 교통시스템 변화에 따라 현재

조 달러가 넘는 자동차 시장이 미래형 항공기

1

시장으로 대체되는 경우 그 시장은 더욱 팽창할 것으로 예측되므로 본 기술은 경제적,

산업적 파급효과가 높을 것으로 기대됨

◦ 현재 우리나라가 세계적인 경쟁력을 보유하고 있는 자동차용 연료전지와 이차전지 분야의

기술을 항공기용 기술 분야로 파급시킴으로써 차세대 신 성장동력으로 떠오르고 있는
항공산업에서 미래의

시장의 주도권을 확보할 수 있음

PAV

◦ 수소왕복엔진을 사용한 고고도 장기체공 무인기는 저궤도 정지궤도 인공위성 중고도 고고도

/

,

무인기 및 유인기 시장 중 고해상도 영상획득 통신중계 분야의 시장 점유 가능

,


background image

148

성과목표  1-2

산업화형 헬기개발 국책사업을 통한 헬기독자개발능력 확보 

[

및 독자엔진개발을 위한 항공기 엔진 

 

핵심기술 개발 수탁

(

)

주요내용

(1) 

성과목표  개요

 

◦ 개요 헬기개발 국책사업 민수헬기 핵심기술개발이나 유인헬기 무인화 개발 등 에 참여하여 

(

(

)

추후  헬기의  국내독자개발이  가능할  정도의  핵심기술  확보  및  항공기용  엔진과  관련된 

요소기술  및  성능시험  기술을  개발하여 추후  항공기용  엔진의  독자  개발  핵심기술  확보

◦ 구성 헬기독자개발능력  확보  및  항공기  개발  인프라  구축  기술은  아래와  같이  구성

(

– 헬기  핵심기술  개발 주로터블레이드

(

,  AFCS(Automatic  Flight  Control  System)  SW, 

AVCS(Active  Vibration  Control  System) 

)

– 산업 발전 항공용

/

/

발전용  가스터빈의  출력증대를  위한 

기술

 

Wet  Compression 

– 중소형  항공기용  터보팬  엔진의  고압터빈  냉각  설계기술  및  시험평가  기술

– 항공기  가스터빈엔진 

의 

FADEC(Full  Authority  Digital  Engine  Control)

EECU(Electrical 

개발기술

Engine  Control  Unit)  Platform 

– 항공기용  엔진  고공시험  기술

연구동향  및  필요성

 

◦ 사회적 경제적  이슈

/

– 응급구조헬기  등  국민의  건강  증진을  위한  민수헬기의  수요가  늘어날  것으로  예측되어 

국내독자로  헬기를  개발할  수  있는  기술  확보가  필요하며  헬기와  같은  회전익기  기술은 

미래형  항공기의  핵심  기술로  활용될  것으로  예측

– 무인기  활용에  대한  세계적인  관심과  수요가  증대되고  있으며  이에  따라  무인기  등에 

필요한  각종  항공용  엔진에  대한  수요  또한  증가하고  있음

◦ 기술적  이슈

– 수리온  개발사업을  통해  국내  최초로  헬기를  개발하는데  성공했으나 주로터  블레이드

자동비행조종장치  소프트웨어  등의  핵심기술은  일부  기술만을  확보하여  향후  독자적으로 

헬기를  개발하는데  부족한  상황임 따라서  수리온  개발사업에서  확보하지  못한  핵심기술 

추가  확보  필요

– 엔진개발  관련  핵심기술은  국외  엔진  개발사로부터의  도입이  불가능하므로  독자  개발이 

필수임 향후 미래형 항공기의 개발을 위하여 항공기 엔진 개발기술의 지속적인 연구가 필요


background image

부문별  계획

 

경영성과계획서

2015~2017 

149

추진방향

 

◦ 헬기

– 헬기개발 국책사업 민수헬기 핵심기술개발이나 유인헬기 무인화 개발 등 에 참여하여 국내 

(

)

헬기체계업체는  헬기  체계  개발에  주력하고  항우연은  추후  헬기의  국내독자개발이  가능할 

정도의  핵심기술인  주로터블레이드,  AFCS(Automatic  Flight  Control  System)  SW, 

등  핵심  기술  확보에  주력함

AVCS(Active  Vibration  Control  System) 

◦ 엔진

– 엔진출력 증대기술 가스터빈엔진 출력증대를 위한 

분무장치를 개발하고 

(

Wet compression 

항우연의  압축기  성능시험설비  및  가스터빈엔진  시험설비에서  실증시험을  수행함

– (엔진 고압터빈기술

가스터빈엔진  핵심구성품인  고압  냉각터빈의  공력 냉각 구조 

 

/

/

설계기술  및  시험평가기술  개발을  통하여  엔진  독자개발  및  국제공동개발  역량  확보에 

주력함

– 엔진 제어 

설계기술 항공기용 엔진제어장치

의 응용소프트웨어를 민수인증규정인 

(

S/W 

(EECU)

수준

으로  개발할  수  있도록  엔진  소프트웨어 

RTCA  DO-178C  Level  A 

(certifiable)

개발절차를  확보 적용하고자  함

/

– (엔진 고공시험기술 고고도  시험설비의  측정  정확도와  설비  제어  정밀도  향상연구를 

 

진행하여  군 민수  요구도를  만족하는  항공기용  엔진  고공시험  기술  확보에  주력함

/

추진체계  및  절차

 

◦ 추진체계

– 헬기  핵심기술은  산 학 연  협력  개발  체계를  구축하여  수행  예정임 주로터블레이드

ㆍ ㆍ

등 개발을 위해 항우연은 설계 및 해석에 주력하고 국내 헬기체계업체는 

AFCS SW, AVCS 

시제품  제작과  시험에  주력함 또한  주로터블레이드와 

의  기초  기술은  대학이 

AFCS  SW

참여하여  개발  예정임

– 엔진출력  증대기술 주관기관인  주 대주기계에서  액적분무장치를  개발하고  항우연에서는 

(

( )

압축기  및  가스터빈  실증시험  및  전산유동해석을  수행함

– (엔진  고압터빈기술 고압  냉각터빈  기술은  항우연  주관  학계와의  협동연구를  통하여 

핵심기술을  개발하고 산업계와의  협력을  통해  상용화  기반기술을  구축하고자  함

– 엔진  제어 

설계기술 민수인증규정에서  요구하는  형상 품질관리 설계 검증을 위한 

(

S/W 

/

별도  조직구성과  객관적인  단계별  검토를  위해 주관기관은  소프트웨어  형상 품질관리를 

/

담당하고  항우연과  타  참여기관은  설계와  검증을  분리하여  담당함

– (엔진  고공시험기술

항공기용  엔진  고공시험  개발을  위하여  표준연과의  협동연구를 

진행함 항우연은 연구결과에 대한 실제 적용 및 설비 제어관련 연구에 집중하며 표준연은 

측정  정확도  향상에  대한  연구에  주력함


background image

150

◦ 추진절차

– 헬기개발  국책사업 민수헬기  핵심기술개발이나  유인헬기  무인화  개발  등 을  국내 

(

)

헬기체계업체와  함께  추진하여 

년  이후  수행  예정임

2015

– 엔진출력 증대기술

년  월부터  주관기관인  주 대주기계와의  협약을  통하여  과제가 

(

)  2013

8

( )

진행  중에  있으며 주관기관과의  긴밀한  협동연구를  통하여 

개월간  수행  예정임

36

– (엔진  고압터빈기술

년  하반기  과제  착수하여  총 

개월  간  기술개발을  수행  중임

)  2011

62

현재  고압  냉각터빈의  공력 냉각설계를  수행  중이며 향후 

년 

월까지  설계  및 

/

2016

11

시험평가기술  개발을  완료할  예정임

– 엔진 제어 

설계기술

년 하반기부터 총 

개월 간 민수인증규정에 따른 소프트웨어 

(

S/W 

) 2012

60

개발절차  수립을  위해  민수인증에서  요구하는  단계  개발절차 계획 설계 검증 완료 를 

4

(

-

-

-

)

준수하고 이에 필요한 단계별 산출물을 작성하여 외부 전문가의 검토를 거쳐 개발할 예정임

– (엔진  고공시험기술

항공기용  엔진  고공시험  기술과제는  국가과학기술연구회의 

민군융합기술  연구사업의  일환으로 

년도 

월부터 

개월에  걸쳐  연구가  진행되고 

2013

12

36

있으며 현재  차년도  협약이  완료되었음

2

전략목표와의  부합성

(2) 

전략목표

성과목표

전략목표와의 부합성

항공 미래

비행체 핵심

기반기술 확보

헬기개발

국책사업을 통한

헬기독자개발능력

확보 및

독자엔진개발을 위한

항공기 엔진 핵심기술

개발

◦ 헬기독자개발능력은 미래형 회전익기인 고속회전익기와 미래형

항공기인

중 회전익기를 기반으로

PAV(Personal Air Vehicle)

하는

개발의 기반기술로 활용 가능

PAV

◦ 항공기 엔진을 독자적으로 개발할 수 있는 능력을 확보함으로써,

미래형 항공기에 활용될 수 있는 다양한 엔진 개발의 기반기술로
활용 가능


background image

부문별  계획

 

경영성과계획서

2015~2017 

151

성과지표  현황

(3) 

성과지표  및  지표별  목표

 

사업
구분

성과지표

실적

목표

장기목표

분야 유형

지표명

2012 2013

2014

2015

2016

2017

수탁

기술

기술
혁신

전진비행

최대양항비

6.0

해석

(

)

6.0

시험

(

)

6.0

동체 진동저감[%]

30

(SISO

*

Simulation)

40

(MIMO

**

Simulation)

45

(MIMO

Simulation)

50%

진동저감

구현

엔진출력증대[%]

10

15

엔진 고압터빈기술

고압터빈 입구온도

(

[ ])

1,400

해석

(

)

1,400

시험

(

)

엔진 제어

설계

S/W

(S/W Design

Assurance Level)

Level A

certifiable

****

엔진 고공시험기술

추력측정불확도

(

[%])

0.8

0.7

0.6

기관 핵심 성과지표 및 공통지표

과학 논문

표준화된

상위

IF

20%

논문 편

SCI

[ ]

0

2

3

2

2

2

논문 편

SCI

[ ]

4

7

5

6

6

6

경제 기술료

기술이전특허 건

[ ]

0

0

2

1

1

1

기술료 수입 억원

[

]

1.98

0

0.75

0.67

0.75

0.9

* SISO Single Input Single Output

** MIMO Multiple Input Multiple Output

적용시 출력

미적용시 출력

미적용시 출력

*** [%] : (wet compression

-

) / (wet compression

) x 100

문서에 정의된 기준에 따라 평가

**** RTCA DO-178C


background image

152

주요  성과지표의  의미  및  중요성

 

성과지표명

성과지표의 의미 및 중요성

전진비행

최대양항비

의 미

(

)

블레이드 전진비행의 성능지수, Lift to Drag Ratio

중요성

(

)

블레이드 핵심기술개발의 결과물인 고유형상 블레이드의 전진비행

성능을 판단할 수 있는 척도임

동체 진동저감(%)

의 미 기본형상 항공기 대비 조종석 부조종석 객실 진동저감율

(

)

,

,

진동저감

정의

적용시 진동수준

미적용시 수준

미적용시

-

[%]

: (AVCS

-

) / (AVCS

진동수준) x 100

진동수준의 정의

헬리콥터 로터

주파수에서의 가속도 크기

-

:

n/rev

중요성

(

)

핵심기술의 성능을 판단할 수 있는 척도로서

AVCS

, 헬리콥터

탑승객의 안락함 제공 기체 및 탑재 장비의 과도한 진동 방지를 통한

,

헬리콥터 운용 편의성 증대

엔진 출력 증대량(%)

의 미

(

)

기준 출력 대비

기술을 통하여 가스터빈엔진 출력

wet compression

증대량

출력증대

정의

적용시 출력

미적용시 출력

-

[%]

: (wet compression

-

) / (wet

미적용시 출력

compression

) x 100

중요성 가스터빈 출력 증대

(

)

엔진 고압터빈 입구온도

의 미

(

)

항공용 가스터빈엔진의 고압터빈 입구 연소기 출구 온도

(

)

중요성

(

)

터빈 입구 온도는 가스터빈엔진의 효율 및 출력을 결정짓는 매우
중요한 성능인자이며 선진국에서도 수출 통제 대상 핵심기술임

,

엔진 소프트웨어의 DAL

(Design Assureance

Level)

(

)

항공용 전자장비 내장 소프트웨어의 설계 무결성 정도를 나타내는

지표로

에서 규정하고 있음

DO-178C

중요성

(

)

항공기 체계의 안전성 분석에 의거 엔진 제어 소프트웨어의

가 요구되고 있음

DAL(Design Assurance Level)

level A

엔진 고공시험설비

추력측정정확도

의 미

(

)

고고도 시험 시 추력측정에 대한 측정 불확도

중요성

(

)

가스터빈 엔진의 성능을 평가하는데 있어 추력은 핵심 성능지표임.
무인기 및 유도무기 등의 성능시험 기술은 해외에서 도입이 불가능한

핵심기술로 독자연구가 필요함


background image

부문별  계획

 

경영성과계획서

2015~2017 

153

목표  설정  근거 타당성 및  평가방법

 

(

사업
구분

성과지표

최종목표

목표 도출근거

평가 검증 방법

(

)

분야

유형

지표명

수탁

기술

기술
혁신

전진비행

최대양항비

6.0

세계최고수준 95%

이상

실험결과

동체 진동저감

진동저감

50%

세계 최고수준

100%

미국

(

LORD)

Simulation

비행시험

엔진

출력증대

기술개발

출력 증대

증대

15%

종래의 기술인 Inlet

보다 높은

fogging

목표

헬기용

가스터빈엔진(T70

0-701K)에

적용하여 실증

엔진

고압터빈
기술개발

고압터빈

입구온도

이상

1,400℃

세계 최고수준

이상

1,600℃

해석 및 시험평가

엔진 제어

기술

S/W

S/W DAL

Level A

certifiable

항공기 안전성

분석에 의거 항공기

엔진 제어

소프트웨어에 할당된

DAL

A

국내외 전문가의

독립적 검토를 통한

평가

엔진

고공시험

기술

추력측정

불확도

0.6%

세계최고수준의

90%

(AEDC 0.5%

이내)

해석 및 시험평가

과학

논문

표준화된

상위

IF

20%

논문

SCI

6

기관 핵심 성과지표와

최근

년간 실적 및

3

고유임무재정립

목표치 고려

상위

해당

IF

20%

논문 게재 실적

논문

SCI

18

논문 게재 실적

경제 기술료

기술이전특허

3

기술이전 특허 실적

기술료 수입

억원

2.32

기술료 계약 실적


background image

154

유사  해외  선진연구기관과  비교

 

주요 기술

기관명

기술 수준 및 주요내용

기술력

KARI

2014

기술 수준

2017

기술 목표

전진비행

최대양항비

Sikorsky

미국

(

)

로터 단독 기준

-

6.0

동체 진동저감

LORD

미국

(

)

헬리콥터 동체

진동저감 50%

세계최고수준

대비 60%

세계최고수준

대비 80%

수준 진동제어

(

)

알고리즘

Simulation

시험데이터 분석

기술 확보

목표

(

) 2020

비행시험을 통한

진동저감

50%

구현을 위한

소프트웨어 개발

시험

HILS

준비

엔진 출력증대

MEE

Industry

유사기술인 Inlet fogging

기술로 출력 약

증대

10%

-

증대

15%

고입터빈 입구온도

GE

미국

(

)

이상

1,600℃

- 세계 최고 수준의 냉각설계

기술 소재 제작 및 코팅

,

,

기술 보유

1,400℃

이상

1,400℃

항공기 가스터빈엔진

제어소프트웨어 설계기술

GE Aviation

S/W DAL A

-

Level A

certifiable

추력측정 불확도

AEDC

미국

(

)

추력측정 불확도 0.5%

이내

0.8%

0.6%


background image

부문별  계획

 

경영성과계획서

2015~2017 

155

성과활용  및  기대효과

(4) 

구분

주요 내용

성과활용

◦ 개발된 주로터 블레이드를 독자헬기 성능개량에 직접 활용

◦ 개발된 능동진동저감시스템을 독자헬기 진동저감 장치로 적용

◦ 엔진 출력증대 가스터빈에

장치를 설치하여 출력증대에 활용

Wet Compression

◦ 항공용 가스터빈엔진 고압터빈 설계기술 항공 산업 발전용 가스터빈엔진의 핵심

/

/

구성품인 고압터빈의 국내 독자개발 및 국제공동개발에 활용 독자설계 및 해석 시

(

,

험평가 수행 가능)

◦ 엔진 제어

기술개발 국내 독자 엔진 개발 프로그램 추진 시 엔진제어시스템

S/W

설계 제작에 활용

/

◦ 고공시험 기술개발 현재 진행 중인 국내개발 소모성 엔진의 시험평가에 활용

중이며 향후 국내에서 개발 예정인

및 각종 엔진의 고공시험 및

,

KFX

APU

인증시험의 수행 가능

기대효과

◦ 국내 헬리콥터 제작업체에서 주로터 블레이드 기술을 국산헬기 독자개발에 적용하여

기술료 절감

◦ 기존 항공기 능동진동제어 시스템 국내 독자 적용 및 운용 능력 확보

◦ 엔진 출력증대 엔진 출력

이상 증대

15%

◦ 항공용 가스터빈엔진 고압터빈 설계기술 거의 대부분 수입에 의존하며 고부가가치

주기 교체품목인 고압터빈 부품의 수입대체 및 성능 효율 개선

/

◦ 엔진 제어

기술개발 엔진 제어 소프트웨어 플랫폼 및 개발 절차의 국내 기업

S/W

기술 이전을 통한 산업화

◦ 고공시험 기술개발 국내개발 엔진의 고공시험 및 인증시험을 국내에서 완료함으로써

국방기밀 유지와 기술유출 방지 및 개발비 절감가능


background image

156

성과목표  1-3

공공 인프라형 시장선점형 무인기 핵심기술 개발 및 실용화 수탁

[

(

)

주요내용

(1) 

성과목표  개요

 

연구  추진  중

(

)

◦ 개요 미국에  이어  세계  번째로  기술개발에  성공한  틸트로터  무인기의  세계  최초  실용화 

(

2

및  세계시장  선점을  위해  성능과  운용성  제고를  위한  핵심기술  개발

◦ 구성 틸트로터  무인기의  시장  경쟁력  확보를  위한  핵심기술로서  아래와  같이  구성

(

– 함상이착륙  기술개발

– 가변회전수  드라이브  및  로터  기술개발

– 편대비행  기술개발

연구동향  및  필요성

 

◦ 연구동향

– 국내 고속 수직이착륙이  가능한  틸트로터무인기  원천핵심기술  세계  번째  확보로  세계 

(

-

2

최초  실용화  가능  단계  진입

– 해외 미국 유럽을  중심으로  고속 수직이착륙기  상용화를  위한  연구개발  경쟁  심화

(

-

∙ 미국

프로그램 최대이륙중량 

최대속도 

이상의  대형 

(

)  X-plane 

10,000lb, 

555km/h 

고속 수직이착륙  무인기  개발계획  착수

년  월

-

(’14

4 )

년부터 

사업을  추진  중

(EU)  2014

Clean  Sky  2 

종의  고속 수직이착륙  시연기를  개발하여 

년  비행시험  계획

2

-

2020

◦ 사회적 경제적  이슈

/

– 세계적으로  민간무인기  시장이  활성화될  조짐

– 중국 어선의 불법조업 일본의 독도 영토 주장 등으로 한반도 연안에 대한 감시 정찰 대응 

수단이  필요

– 수직이착륙  및  고속비행성능을  가지는  함상운용  틸트로터  무인기는  국내  수요에  대응이 

가능할  뿐만  아니라 기술경쟁력이  충분하여  세계시장  선점  가능한  시장선도형  제품

◦ 기술적  이슈

– 스마트무인기기술개발사업을  통해  수직이착륙  및  고속비행이  가능한  틸트로터  무인기 

원천기술  확보하였으나 기  수행된  기술검증  단계를  넘어  실용화를  추진하고 정찰 감시 

/

등의 임무 효율성 제고 및 다양한 수요자의 성능 요구도 부합을 위해서는 틸트로터 무인기 

성능  및  운용능력  향상  기술  필요

– 비행효율 향상 함상 및 복수 운용능력 확보를 통하여 틸트로터 무인기의 경쟁력 및 활용도 

제고  필요


background image

부문별  계획

 

경영성과계획서

2015~2017 

157

추진방향

 

◦ 고도의  자율비행기술 고속 수직이착륙이  가능한  틸트로터  무인기  체계개발을  통해  국내외 

-

수요에  대응하고 글로벌  수직이착륙  무인기시장  선점

– 국내  고속 수직이착륙  무인기의  민 군  수요  대응을  위한  틸트로터  무인기  체계개발

-

– 성능  및  운용능력  향상을  위한  무인기  선도기술과  IMA(Integrated  Modular  Avionics) 

기반  임베디드 

기술을  개발 적용함으로써  글로벌  시장  선점용  고성능  틸트로터 

S/W 

무인기  체계개발

추진체계  및  절차

 

◦ 산업체  중심의  무인기  체계개발 과  항우연  중심의  무인기  선도기술개발 및  대학  중심의 

’ 

운용솔루션  개발 과제  추진

’ 

◦ 무인기  체계개발 국내  민 군  수요  대응을  위한  체계개발  수행 중소 중견기업 대기업 

/

/

컨소시움

◦ 무인기  선도기술  개발 글로벌시장  선점용  체계개발을  위한  무인기  선도기술  개발  수행. 

출연연 기업 대학  컨소시움

/

/

◦ 운용솔루션  개발 임무장비  획득정보  처리기술  및  응용  솔루션

개발

(killer  application) 

대학 출연연 기업  컨소시움

/

/

전략목표와의  부합성

(2) 

전략목표

성과목표

전략목표와의 부합성

항공 미래

비행체 핵심

기반기술 확보

시장선점형

무인기 핵심기술

개발 및 실용화

◦ 틸트로터 무인기는 미국과 한국만이 기술개발에 성공한 시장선점형 제품

◦ 성능 및 운용능력 제고를 위한 핵심기술 개발을 통해 한국이 세계

최초로 틸트로터 무인기의 실용화에 성공할 경우 국내 수요 대응은

물론 세계시장 선점 가능


background image

158

성과지표  현황

(3) 

성과지표  및  지표별  목표

 

사업구분

성과지표

실적

목표

장기목표

분야

유형

지표명

2012 2013 2014

2015

2016

2017

수탁

기술

기술혁신

함상

착륙오차

CEP

2.5m

(HILS)

CEP

2m

(HILS)

CEP

2m
지상

(

시연)

CEP

2m
함상

(

시연)

2023 ,

CEP 1m
함상시연

가변회전수

드라이브 및

로터

축소
모델

개발

2023 ,

비행시연

편대비행

대수

2

(HILS)

2023 ,

대 비행시연

3

상대항법

측정정확도

CEP

0.5m

차량

(
시험)

CEP

0.5m

육상

(
비행)

CEP

0.5m

해상

(
비행)

2017

목표와

동일

착륙 지점

이동속도

0kt

(Sea

State II)

10kt

(Sea

State II)

2023 ,

10kt

(Sea State III)

기관 핵심 성과지표 및 공통지표

과학

논문

논문 편

SCI

[ ]

1

3

3

3

3

3

경제

기술료

기술이전특허 건

[ ]

0

0

0

0

1

1

기술료 수입 억원

[

]

5.0

0

0

1.2

1.37

1.6


background image

부문별  계획

 

경영성과계획서

2015~2017 

159

주요  성과지표의  의미  및  중요성

 

기술혁신 지표

지표의 의미

함상착륙 오차

▪ 의 미 함상착륙 정확도 지표

(

)

▪ 중요성

(

) 협소할 뿐만 아니라 위치 및 자세가 항상 변화하는 함상 이착륙 공간에

,

무인기를 안정적으로 착륙시키기 위해서는 정밀하게 목표지점으로
무인기를 유도 및 착륙시킬 수 있는 능력이 중요함

가변회전수 드라이브 및

로터

▪ 의 미 비행효율 제고 지표

(

)

▪ 중요성

(

) 회전익 천이 고정익 비행모드에 따른 최적의 로터회전수 운용을 통하여

/

/

비행효율 제고가 가능하며 해외 선진국에서 기술이전을 꺼리는 핵심적인

,

기술임

편대비행 대수

▪ 의 미 복수무인기 운용능력 지표

(

)

▪ 중요성

(

) 조종사의 업무부하를 증가시키지 않고 임무효율성을 제고하기 위해서는

자율 편대비행 능력 확보를 통해 복수의 무인기를 동시에 운용하는

능력이 중요함

상대항법 측정정확도

▪ 의 미 함상이착륙 정확도 지표

(

)

▪ 중요성

(

) 무인기와 착륙 지점이 동시에 변화하는 함상이착륙을 수행하기

위해서는 착륙 지점에 대한 무인기의 정밀한 상대 위치를 획득할 수
있는 정밀상대항법 성능이 중요함

착륙 지점 이동속도

▪ 의 미 함상착륙 능력 지표

(

)

▪ 중요성

(

) 선박에서 항공기를 운용할 경우 선박의 흔들림을 최소화하기 위하여

,

통상 선박이 일정속도로 운항하는 상태에서 항공기 착륙이 수행됨.

따라서 선박운항으로 인한 착륙 지점의 이동속도는 무인기의
함상착륙 능력을 나타내는 주요 지표임

목표  설정  근거 타당성 및  평가방법

 

(

사업
구분

성과지표

최종목표

목표 도출근거

평가 검증 방법

(

)

분야

유형

지표명

수탁

기술

기술
혁신

함상 착륙오차

CEP 2m

세계최고수준:

CEP 2m

비행시험

가변회전수

드라이브 및 로터

축소모델 개발

세계최고수준:

기술검증용 시제제작 및

비행시험

지상시험

편대비행

대수

2

세계최고수준

2

실용화시스템 기준

(

)

HILS

상대항법

측정정확도

CEP 0.5m

해상비행

(

)

세계최고수준: CEP 0.5m

실용화시스템 기준

(

)

비행시험

착륙 지점

이동속도

10kt

(Sea State II)

세계최고수준

10kt

(Sea State II)

비행시험

과학

논문

논문

SCI

9

기관 핵심 성과지표와

최근

년간 실적 및

3

고유임무재정립

목표치 고려

논문 게재 실적

경제 기술료

기술이전특허

2

기술이전 특허 실적

기술료 수입

억원

4.17

기술료 계약 실적


background image

160

유사  해외  선진연구기관과  비교

 

주요 기술

기관명

기술 수준 및 주요내용

기술력

KARI

년도 기술

2014

수준

년도 기술

2017

목표

함상이착륙

Northrop-

Grumman

미국

(

)

CEP 2.0m

CEP 2.5m

(HILS)

CEP 2.0m

함상시연

(

)

가변회전수 드라이브 및

로터

Boeing

미국

(

)

기술검증용 시제제작 및

비행시험

개념정립단계

축소모델 개발을

통한 기술검증

편대비행

Northrop-

Grumman

미국

(

)

2

-

2

상대항법

측정정확도

Novatel

캐나다

(

)

CEP 0.5m

기반

(RTK-GNSS

)

CEP 2.0m

CEP 0.5m

해상비행

(

)

착륙 지점

이동속도

Boing

미국

(

)

10kt

(Sea State II)

0kt

(Sea State 0)

10kt

(Sea State II)

성과활용  및  기대효과

(4) 

구분

주요 내용

성과활용

◦ 틸트로터 무인기시스템의 민수 공공 군수 활용을 통하여 국가 공공이익 및 방위력 증진

/

/

◦ 타기종 무인기에 개발기술 적용을 통한 성능 및 운용성 제고

◦ 틸트로터 유인기 개발에 활용

기대효과

◦ 다양한 운용요구도를 만족시킬 수 있는 틸트로터 무인기 세계 최초 실용화 개발로

세계시장 선점

◦ 수직이착륙 유 무인항공기 함상자동이착륙 기술기반 구축

◦ 근거리 편대비행 기술의 정밀 자동제어 분야 기술 파급


background image

부문별  계획

 

경영성과계획서

2015~2017 

161

성과목표  1-4

공공인프라형

[

] 항공우주제품에 대한 제품보증 기반 구축 및 적합성입증

시험평가기술 개발을 통한 산업체 기술 지원

출연금 수탁

(

+

)

주요내용

(1) 

성과목표  개요

 

◦ 개요

(

)  항공우주분야  대형  국책개발사업의  신뢰성  및  안전성  확보를  위해  항공우주제품에 

대한  제품보증  기반을  구축하여  체계적인  제품보증  및  신뢰성  보증  업무를  수행하고, 

항공우주제품에  대한  적합성입증기술 소프트웨어  검증

, 안전성평가 환경시험기술  등

 

을 

개발 항공우주산업체에  적극  지원

함으로써 국책개발사업의  성공적  임무완수  및 

항공우주산업체 

경쟁력  향상에  기여하고자  함

◦ 구성

(

)

– 항공우주제품에 대한 안전성 평가기술  탑재용  소프트웨어 검증기술의  개발 및 체계적인 

제품보증활동  등의  제품보증  기술  기반  구축

– 국가주도  항공기  개발사업에  대한  적합성입증기술 연구

 

– 항공우주제품의  안전성 신뢰성  확보를  위한  항공우주산업체  지원

연구동향  및  필요성

 

◦ 사회적 경제적  이슈

/

– 최근  미국

및  러시아

등  항공우주  선진국의  잇따른  우주  발사체  발사 

(SpaceX) 

(Proton-M) 

실패와  인도  및  일본  등의  신흥  우주  선진국의  우주탐사  프로젝트  성공으로 국내 

대형우주개발사업의  안전성과  신뢰성  확보에  대한  국민적인  관심과  열망이  집중되고  있음

– 항공우주분야  대형  국책개발사업은  개발위험이  매우  높고 고도의  기술과  기반체계를 

필요로  하기  때문에 체계적인  제품보증  활동과  적합성입증기술 소프트웨어  검증기술

안전성평가 환경시험기술의  개발을  통한  항공우주산업체  기술지원은  항공우주제품에 

대한  신뢰성과  안전성  확보를  위해  필수적으로  수행되어야  하는  기반적인  임무임

◦ 기술적  이슈

– 미국항공우주청

러시아연방우주청

및 일본 우주항공연구 개발기구

(NASA), 

(Roscosmos) 

(JAXA) 등은 

체계적인  제품보증업무를  통해  우주개발사업의  신뢰성  및  안전성  확보에  주력하고  있음 따라서

항공우주선진국으로  도약하기  위해  우주개발사업에  대하여  보다  더  체계적이고  적극적인 

제품보증활동이  요구됨

– 국제민간항공기구

에서는 시카고 협약을 통해  항공기의 항행에 따른 안전성 확보를 

(ICAO)

위한  설계 생산 운용의  모든  과정에서  안전성  요구사항에  대한  적합성  판단 을  국가 

의무사항으로  규정하고  있으며 국내  항공제품의  실용화  및  해외  시장  진출을  위해서는 


background image

162

이러한  안전성  요구사항에  대한  적합성  입증이  필수적이나 현재  국내  항공산업체의 

적합성입증기술기반은  매우  취약한  수준임

추진방향

 

◦ 항공우주분야에서 공통적으로 적용되는 

에 따른 항공우주제품의 설계 안전성 

SAE ARP 4761

평가  및 

에  따른  항공용  탑재용  소프트웨어  개발  검증  업무에  요구되는 

RTCA  DO-178

기술 즉 방법 및 기법 등 에 대한 참고문서를 개발하고 기 구축한 환경시험장비를 활용하여 

(

)

에  따른  간접낙뢰시험  수행을  통한  시험기술  확보  등의  제품보증  기술과 

RTCA  DO-160

관련된  기술기반을  구축

◦ 가적  대형  항공우주개발사업의  성공적  임무완수를  위해  사업  진행  전반에  걸친  체계적인 

품질보증  및  신뢰성보증  활동  수행

◦ 국가  주도  항공기  개발사업에  대한  적합성입증기술,  안전성  평가기술  및  환경시험기술  등의 

핵심  기술기술  개발

◦ 항공우주  산업체  실무인력에  대한  지속적인  지도 지원을  통한  산업기반  조성

/

추진체계  및  절차

 

◦ 발사체 위성  사업단  및  산업체와의  협력  관계를  구축하고 부품  및  시제품  제작에  관한 

품질보증  및  신뢰성  보증체계  구축

◦ 제품보증,  적합성입증  분야별

인력의  전문성  극대화  도모를  통한  항공우주제품 

 

적합성입증기술  지원  및  산업체  실무인력  육성지원

전략목표와의  부합성

(2) 

전략목표

성과목표

전략목표와의 부합성

항공 미래

비행체

핵심

기반기술

확보

항공우주제품에 대한

제품보증 기반 구축 및

적합성입증 시험평가기술

개발을 통한 산업체

기술 지원

◦ 항공우주제품에 대한 제품보증 및 적합성입증기술은 국가적 대형

항공우주사업의 신뢰성 및 안전성확보와 전략목표 달성을 위한 기반

기술임

◦ 항공우주제품에 대한 적합성입증기술 소프트웨어 검증 안전성

,

,

평가 환경시험기술을 개발 이를 항공우주산업체에 대한 기술 지원에

,

활용함으로써 시장 경쟁력을 갖춘 항공우주산업체를 육성 확보할

,

,

수 있음


background image

부문별  계획

 

경영성과계획서

2015~2017 

163

성과지표  현황

(3) 

성과지표  및  지표별  목표

 

사업
구분

성과지표

실적

목표

장기목표

분야

유형

지표명

2012 2013 2014 2015 2016 2017

출연금

수탁

+

연구
개발

서비스

공공

인프라

국가

항공우주

제품보증

기술 기반

구축

항공우주 안전성

평가기준 및

소프트웨어

검증기술 개발 건

[ ]

1

1

1

안전성 평가

기준 및

소프트웨어

검증기술

확보

수탁

항공전자 장비품

환경시험 건

[ ]

3

3

3

항공전자

장비품

환경시험

능력 확보

출연금

항공우주

제품의

안전성,

신뢰성

확보를

위한

항공우주

산업체

지원

인증기술 및

신뢰성평가 기술

지원 건

[ ]

*

11

10

10

10

10

10

산업체

적합성입증

기반 구축

항공전자부품 관련

인증요건 교육 건

[ ]

*

1

1

1

2

2

2

산업체

실무인력

양성

항공우주

품질 신뢰성

소프트웨어 검증 등

전문인력 양성 명

[ ]

*

15

14

14

30

30

30

산업체

실무인력

양성

수탁

기관 핵심 성과지표 및 공통지표

과학

논문

논문 편

SCI

[ ]

1

1

1

1

1

1

경제 기술료

기술료 수입 억원

[

]

0

0.2

0

0

0.1

0.1

성과지표의 질적인 수준은 각 지표 건별 만족도 조사를 수행하여 관리할 예정

*


background image

164

주요  성과지표의  의미  및  중요성

 

성과지표명

성과지표의 의미 및 중요성

국가 항공우주

제품보증 기술 기반

구축

(

미) 항공우주제품의 품질과 신뢰성 확보와 핵심적인 적합성 입증기술 및

환경시험능력 확보를 통한 항공우주제품의 안전성 확보

중요성 국가 항공우주사업의 성공적 임무완수를 위한 기반조성

(

)

항공우주제품의

안전성 신뢰성

,

확보를 위한 항공우주

산업체 지원

(

미) 항공우주 관련 연구 및 실무에 종사하는 산업체 연구기관 및 학계 국가기관

,

,

종사자를 대상으로 적합성입증기술 확보와 신뢰성 평가기술을 적극 지원

중요성

(

)

항공우주산업체에 대한 적합성입증기술 지원 및 실무인력 양성은 산업체의
국제경쟁력 확보를 위한 중요 기술기반임

목표  설정  근거 타당성 및  평가방법

 

(

사업
구분

성과지표

최종목표

목표 도출근거

평가
검증

(

)

방법

분야

유형

지표명

출연금

수탁

+

공공

인프라

연구
개발

서비스

국가

항공우주
제품보증

기술 기반

구축

항공우주 안전성

평가기준 및 소프트웨어

검증 기술 개발

핵심적 적합성 입증 및

검증 기술 확보

항공우주제품의 안전성 확보에
필수 사항임

연구

보고서

등록

수탁

항공전자 환경시험

기술개발

항공전자장비품 환경

시험능력 확보

환경시험 능력 확보는 항공전자
장비품 적합성입증을 위한
중요 기술기반임

시험

보고서

등록

출연금

항공우주

제품의

안전성,

신뢰성
확보를

위한

항공우주

산업체

지원

항공기 장비품 및 부품

,

주요 적합성입증기술

및 신뢰성평가 기술

지원

산업체

적합성입증기반 구축

산업체의 독자적인 적합성입
증기술 신뢰성평가 능력 확

,

보는 산업체 경쟁력 향상의
기반임

업체지도

실적

항공전자부품 관련

인증요건 교육

산업체 실무인력 양성

전문실무인력은 산업체 기술
기반의 핵심 요소임

교육수행

실적

품질 신뢰성 소프트

웨어 검증 등 전문인력

양성

산업체 실무인력 양성

전문실무인력은 산업체 기술
기반의 핵심 요소임

교육이수

실적

수탁

과학

논문

논문

SCI

3

기관 핵심 성과지표와

최근

년간 실적 및

3

고유임무재정립

목표치 고려

논문
게재
실적

경제 기술료

기술료 수입

억원

0.2

기술료

계약
실적


background image

부문별  계획

 

경영성과계획서

2015~2017 

165

유사  해외  선진연구기관과  비교

 

주요 기술

기관명

기술 수준 및 주요내용

기술력

KARI

년도

2014
기술 수준

년도

2017
기술 목표

국가 항공우주

제품보증 기술 기반

미국

NASA

항공우주제품에 대한

제품보증 및 신뢰성 보증

항공제품에 대한

품질보증능력

확보

조직적인

항공우주제품

품질관리 및

제품보증체계로 확대

성과활용  및  기대효과

(4) 

구분

주요 내용

성과활용

◦ 항공우주제품에 대한 체계적인 제품보증 및 항공우주산업체의 품질경쟁력 강화
◦ 향후 민수헬기 수송기급 등의 신규 범주 항공기 및 장비품의 국내 개발 시 산업체에

,

,

적합성입증 기술 지원 등의 기반기술 지원을 통한 산업체 경쟁력 강화

기대효과

◦ 국가

항공우주사업의

체계적인

제품보증

기술기반

구축을

통해

적극적으로

제품보증활동과 신뢰성 보증활동을 수행함으로서 국내 개발 항공우주제품 항공기

(

,

장비품 및 부품 의 품질 및 안전성 신뢰성을 확보

)

◦ 항공우주산업체의 적합성입증기술기반 구축 및 품질경쟁력 확보를 통한 국제경쟁력 확보


background image

166

성과목표  1-5

공공

인프라형 고흥항공센터 확충을 통한 국가 항공기개발 

[

비행시험센터 구축 출연금 수탁

(

+

)

주요내용

(1) 

성과목표  개요

 

◦ 개요 연구원이  보유하고  있는  각종  시험평가설비를  활용하여  국내의  항공기  개발  지원을 

(

담당할  시험  인프라를  구축하고  이를  통해  국내  산 학 연에  기술  지원을  수행

ㆍ ㆍ

◦ 구성 항공기  개발  인프라  구축  기술은  아래와  같이  구성

(

– 항공비행시험평가  기반확충 수탁

(

)

– 항공센터운영 출연금

(

)

– 항공시험평가  설비운영 출연금

(

)

– 주  로터  블레이드  동적  밸런싱  시험 수탁

(

)

연구동향  및  연구필요성

 

◦ 연구동향

– 국내 한국항공우주연구원의 전남 고흥의 항공센터

의 안흥 비행센터 등이 대표적인 

(

, ADD

비행시험 센터이며 항우연

등이 풍동 전기체 구조시험 엔진 및 항전장비 시험설비를 

/ADD

구축하고  운영  중

– 해외 미국 일본 유럽  등  항공선도국들은  국가  연구기관을  통해  항공우주  비행  및  지상 

(

시험  센터  및  시설을  구축해  운영

∙ 미국

는 

공군기지에 

를  통해

(

) NASA

Edwards 

Armstrong Flight  Research Center

,  DC-8, 

등의  다양한  비행시험기를  보유하고  운영  중이며

등에서 

ER-2,  C-20A

,  Ames,  Glenn 

풍동 엔진  등의  시험시설을  구축하고  운영

∙ 독일

은 

와 

에 

를  구축해

(

)  DLR

Braunschweig

Oberpfaffenhofen

Flight  Research  Center

등 

가지  기종을  보유하고  운영  중

G550,  Falcon20,  A320 

14

◦ 사회적 경제적  이슈

/

– 항공기의  국내  체계개발  기술이  확보되어  다양한  유무인 군용  및  민용의  항공기  개발이 

활발히  진행

– 국내  개발  항공기의  지적  재산권과 국가  안보상  필수적인  핵심  관련  사항들의  보호를 

위해서는  지상  및  비행시험의  국내  수행이  필수

– 또한 국내에서 운용되는 항공기의 안전성 확보를 위해서도 국가적으로 항공기 시험평가와 

관련된  설비  및  기술을  확보하고  이를  유지하는  것은  매우  필요

– 특히 국내 산 학 연의 연구개발 무인기의 비행시험 소요는 대부분 고흥항공센터에서 처리되고 

ㆍ ㆍ


background image

부문별  계획

 

경영성과계획서

2015~2017 

167

있음

– 급증한 비행시험 및 지상시험 수요에 비해 비행시험장 활주로 등 기반시설은 매우 열악하여 

시험에  제약이  따르고  안전사고  위험성이  상존하고  있어 이에  대한  조속한  구축이  시급

– 고흥항공센터  활주로  길이는  현재 

로  고정익  무인기 무인헬기

인승  유무인기

700m 

,  2

인간동력항공기 정도의 비행시험이 가능 국내 개발된  인승 소형항공기 모두 최소한 

4

1,200 

급  활주로에서  비행시험됨

국내  개발된  시험대상  기종

시험  수행  비행장

활주로  규격

창공 

인승

91(5

)

김해  공항

3,200m  x  60m

복합재쌍발기 인승

인승

KT-1,  T-50, 

(8

),  KC-100(4

)

사천  공항

2,740m  x  45m

복합재쌍발기 인승 반디호 인승

(8

), 

(4

)

한국항공대학교

1,200m  x  18m

반디호 인승

인승  유무인기

(4

),  CFT(2

)

한서대학교

1,200m  x  25m

– 국외  의존했던  시험을  국내  구축된  시험설비를  이용하여  시험을  수행함으로써  독자  운영 

및  운영유지비용  절감이  가능

항공센터의 년도별 비행시험 활용도

<

>

◦ 기술적  이슈

– 국가개발사업에서  요구되는  시험평가를  적시에  지원하기  위해서는  지상  및  비행  관련 

기반시험설비의  선진화  및  안정적  운영환경  구축이  필수적임

– 선진 항공기용 시험평가 설비 구축 및 기술 지원을 통해 국내 개발 항공기의 종합 지상 및 

비행시험  센터로  발전

– 첨단  설비의  안정적  운영유지로  기술  수준  향상  및  고급화가  필요

– 국내 개발 항공기의 지상 및 비행시험 센터로 활용함으로써 국내 기술 자립도를 대대적 향상

– 소형항공기 이륙중량 

이하 및 동급 무인항공기 비행시험장으로 특화를 통해 국내 

(

5,700kg 

관련  기관의  유사설비와  중복성을  최소화

– 국가 항공기  개발 프로그램으로  확보된 기반  시설을 지속적으로  활용해  향후  개발 예정인 

비행체에  직접  적용이  필요


background image

168

추진방향

 

◦ 고흥  항공센터의  무인기 소형기  등의  비행시험을  위한  항공센터  발전방안을  기획하고

활주로  확장 장비구축  및 

등의  비행시험평가  기반시설  확충을  추진

R&D 

구분

확충 내역

활주로 확장

◦ 활주로 길이

700m 1,200m,

24m 45m

시설장비 추가 구축

기지국 항공기 추적 모니터링 시스템 구축

ADS-B

,

◦ 항공무선국 항공급유차 화학소방차 등 구축

,

,

산학 협력동 확장

◦ 격납고 및 사무 작업 공간 설계 및 구축

/

비행시험

능력 제고

R&D

및 항공무선국을 활용한 시험비행체 추적 및 비행시험 안전 기술 연구

ADS-B

◦ 고흥  항공센터는  항우연  자체개발  유무인기의  비행시험을  중심으로  국내  산 학 연에서 

ㆍ ㆍ

개발한  무인기의  비행  시험을  지원

– 고흥항공센터는  무인항공기  비행시험을  위한  활주로 주기시설 비행시험  관제장비  등을 

구축하고  있어  국내  최고의  무인항공기  비행시험  센터로  대내외  적으로  인정

– 국내 중소중견기업의 무인항공기 비행시험에 대한 설비 및 기술 지원을 지속적으로 확대할 계획

◦ 풍동 전기체 구조 엔진 시험설비는 국가 항공우주 비행체 개발을 지속적으로 지원하고 국내 

산업계에서  개발하는  항공우주  관련  완제기  또는  부품의  시제품  개발  지원  확대

추진체계  및  절차

 

◦ 항우연의 비행 및 지상시험 설비에 대한 대외 협력 및 기술 지원 체계를 구축해 활용 효율을 극대화

분야

협력기관

추진전략

항공센터운영

유콘시스템

비텔링스

서원무인기

UAS Center

◦ 추진전략 비행시험 시설 및 비행시험 평가관련 인프라 구축 및 Testbed

항공기 구축

◦ 기관별 협력방안

- 유콘시스템

무인항공기 통제장비

(

):

- 비텔링스

개발

위성통신

(

) DataLink

(C-band, UHF,

)

- 서원무인기

항공기 구축 탑재장비

(

) Testbed

(

)

비행시험 시설 및 시험평가 기법

UAS Center:

항공비행시험

평가

기반확충

항공대

한서대

ASTC

선진엔지니어링

일본

ENRI(

)

◦ 추진전략 전문가 기술자문 대학

역할분담

국제협력

(

),

(ASTC),

(ENRI)

◦ 기관별 협력방안

- 항공대 한서대 선진 비행시험 시험장 설계 자문

/

/

/

국토부 비행시험장과 역할 분담 협력

ASTC:

일본

유무인기 항행 감시 및 운항안전 시험에 대한 국제협력

ENRI(

):

항공시험평가

설비운영

국방과학연구소

서울대

카이스트

◦ 추진전략

- 시험분야별 국내 전문가 학술발표 및 정기

등을 통한 기술 협력

workshop

- 공동연구 및 설비공동활용을 통한 국내 유관기관 협력강화
- 국내 산 학 연 개발품에 대한 시험평가 지원

ㆍ ㆍ

주 로터

블레이드

동적 밸런싱

시험

한국항공

◦ 추진전략 헬리콥터 전기체 지상시험 측정 결과 피드백을 통한 훨타워

시험 효율성 증진 방안 공동연구

◦ 기관별 협력방안

- 한국항공 헬리콥터 지상시험 측정 결과 제공 및 분석

(

)


background image

부문별  계획

 

경영성과계획서

2015~2017 

169

전략목표와의  부합성

(2) 

전략목표

성과목표

전략목표와의 부합성

항공 미래

비행체

핵심

기반기술

확보

고흥항공센터

확충을 통한

국가

항공기개발

비행시험센터

구축

◦ 비행시험 인프라는 개발된 항공기술의 완성도를 최종적으로 검증하는 필수 시설임

◦ 항법 제어 센서 등 개발하는 항공부품 및 기법 등을 항공센터에서 운영하는

항공기를 이용하여 성능 검증 지원

Testbed

◦ 미래 항공기술 개발을 위해서는 관련기술을 시험평가 할 수 있는 기반시험설비를

국내에서 구축 운영하여야 함

/

◦ 헬리콥터 개발에 필수적인 훨타워 시험설비를 활용하여 납품시험인 동적 밸런싱

시험을 수행하고 관련 시험기술을 정교화하여 추후 산업체 활용시 기술 지원

성과지표  현황

(3) 

성과지표  및  지표별  목표

 

사업
구분

성과지표

실적

목표

장기목표

분야

유형

지표명

2012 2013 2014 2015 2016 2017

수탁

기술

기술

혁신

훨타워 시험기간 대당

[1

]

2

2

2

1.5

1.5

1

1

인프라

전용
시설

장비

비행시험 시설 구축의
계획 대비 공정률[%]

2

5

12

25

50

100

소형기 무인기

/

시험활주로 준공

출연금

항공센터 비행시험 시간[hr] 250

550

600

650

700

720

비행시험 인프라

공동 활용

대형 항공시험평가

설비 가동률[%]

83

68

61

72

73

75

이상 유지

70%

수탁

기관 핵심 성과지표 및 공통지표

과학

논문

논문 편

SCI

[ ]

1

1

1

1

1

1

표준화된

상위

IF

20%

논문

SCI

* 편

[ ]

0

1

0

0

0

0

경제 기술료

기술료 수입 억원

[

]

0

0

0.28 0.07 0.08

0.1

년 편의 실적만 있는 지표

* 2013

1


background image

170

주요  성과지표의  의미  및  중요성

 

성과지표명

성과지표의 의미 및 중요성

훨타워 시험기간

의 미 헬리콥터

대 블레이드

개 용

개 블레이드의 시험 총 소요 기간

(

)

1 (

4 )

4

중요성

(

)

본 시험기간은 헬리콥터 납품 일정에 직접 영향을 끼치며 소요군

,

전력화 일정과도 직접 연관 있음

비행시험 시설 구축의 계획

대비 공정률

의 미 비행시험 활주로 및 비행안전 지원 설비 구축 공정률

(

)

중요성 시설 구축 완료시 원활하고 안전한 비행시험 수행 가능

(

)

항공센터 비행시험 시간

(

미) 비행시험 시설 및 시험평가 장비 공동활용을 통한 개발기간 및

개발비용 단축

중요성

(

)

항공기 개발시 기술개발 목표와 관련되지 않는 분야에 대한 개발비용

및 개발일정을 줄임으로써 당초 개발목표에 집중함으로써 기술개발
성공확률을 높임

대형 항공시험평가

설비 가동률

의 미 가동시간 연간 가동가능시간

(

)

/

x 100

중요성 항공관련 기반시험설비 유지관리를 통해 안정적 운영환경 확보

(

)

기본가동률 유지를 통한 국가개발사업 적기 활용

목표  설정  근거 타당성 및  평가방법  지표별  작성

 

(

사업
구분

성과지표

최종목표

목표 도출근거

평가 검증 방법

(

)

분야

유형

지표명

수탁

기술

기술혁신

훨타워

시험기간

대당

주일

1

1

현재

주 실적치를

2

50%

이상 단축시킴

시험결과보고서

인프라

전용

시설
장비

비행시험

시설 구축의

계획 대비

공정률

◦ 활주로 확장

길이

(

1,200,

폭 45m) 100%

◦ 시험항공기

항행안전 감시용

시스템

ADS-B
구축 100%

◦ 산 학 연

공동

ㆍ ㆍ

활용 격납고 설계

100%

◦ 이륙중량

이하

5,700kg

소형기 무인기 비행시험용

/

활주로

◦ 소형기 무인기 탑재 가능한

/

미래형 항행감시

시스템(ADS-B)

◦ 구축 준공 여부

(

)

◦ 구축 및 작동 여부

출연금

항공센터
비행시험

시간

720hr

◦ 년 비행가능 일수

200

x

일일 비행가능 시간 4hr

= 800hr

◦ 가동률

기준

90%

= 720hr

항공센터 운영 기록

대형

항공시험

평가설비

가동률

2017

75%

이상 유지

70%

◦ 설비 운영을 위한

최소가동률

대비

(100hr)

이상 조건

1,000%

각 시험설비별 연간

가동시간 점검

수탁

과학

논문

논문

SCI

3

기관 핵심 성과지표와

최근

년간 실적 및

3

고유임무재정립

목표치 고려

논문 게재 실적

경제

기술료 기술료 수입

억원

0.25

기술료 계약 실적


background image

부문별  계획

 

경영성과계획서

2015~2017 

171

유사  해외  선진연구기관과  비교  기술별  작성

 

주요 기술

기관명

기술 수준 및 주요내용

기술력

KARI

년도

2014
기술 수준

년도

2017

기술 목표

항공센터운영

UAS test

Center

◦ 고고도 장거리 장기체공 무인기

비행시험

◦ 다양한

항공기 운용

Testbed

◦ 유 무인기 복합운용시험

◦ 저고도 근거리 무인기

자동비행시험

◦ 중고도 중거리 무인기

자동비행시험

◦ 개 기종

2

Testbed

항공기 운용

항공비행시험

평가 기반확충

NMSU/PSL

국가 무인기 공용 시험비행장 및

공역 확보

세계최고수준

대비 5%

세계최고수준

대비30%

항공시험평가

설비운영

미국

NASA(

),

독일

DLR(

),

일본

JAXA(

)

주요국가에서는 정부관련 기관에서

항공분야 주요 시험설비를 구축하여

운영하고 있음

세계최고수준

대비 90%

세계최고수준

대비 100%

주 로터

블레이드 동적

밸런싱 시험

AIRBUS

Helicopter

프랑스

(

)

동적 밸런싱 시험 자료 분석 및

처리 기술

자료 분석 소프트웨어 개발을

통한 시험 단축 기술

세계최고수준

대비 75%

세계최고수준

대비 95%

성과활용  및  기대효과

(4) 

구분

주요 내용

성과활용

◦ 본 성과는 산업체 한국항공 가 추후 수행할 동적 밸런싱 시험에 직접 적용하여

(

)

빠른 시일내에 실제 사용가능토록 활용될 수 있음

◦ 항공센터 국내 산 학 연의 무인기 소형기 개발 비행시험에 활용

/

ㆍ ㆍ

◦ 국내 연구개발 항공기 및 구성품들을 시험하는 비행종합 시험센터

◦ 국내 연구개발 항공기의 구조 풍동

추진기관 성능시험에 직접 활용

,

, Iron-bird,

기대효과

◦ 산업체에 기술이전 등을 통해 추후 개발되는 헬기에 직접 적용하여 소요군의

적기 전력화 또는 헬기 체계업체의 납품일정 준수에 기여

◦ 항공센터 독자개발 항공기 연구개발의 발전과 비행시험 기술 자립화를 통한

항공산업 완제기 개발분야 경쟁력 확보

◦ 비행시험 시설 및 시험평가 인프라 공동활용을 통해 비행시험 일정 및 비용을

단축할 수 있으며 신뢰성 있는 시스템을 제공함으로서 무인항공기 개발시 경쟁

,

력을 확보함과 동시에 항공부품개발 산업에 기여

◦ 국내 연구개발 항공기의 지상시험을 통한 개발 효율향상 및 지재권 보호


background image

172

전략목표  2

실용위성 성능 첨단화

기  본  방  향

목적

◦ 국가적 미션과 위성정보 수요 충족을 위한 저궤도 실용위성 차세대중형위성 및 고궤도

,

정지궤도복합위성의 지속적인 개발과 실용위성 성능의 첨단화

◦ 위성 탑재체 핵심기술 개발 및 위성 부품 개발 경쟁력 향상

필요성

◦ 국가 전략적 수요에 따른 초정밀 관측위성인 다목적실용위성의 지속적 개발 필요
◦ 중 저해상도 광역관측 기상 해양 환경관측 등 공공분야 관측 수요 적기대응 및 관측주기

,

,

,

단축을 위한 차세대중형위성 개발 필요

◦ 기상관측 및 해양 환경 감시를 위한 정지궤도복합위성 개발 필요

◦ 위성 탑재체 핵심기술 및 위성 부품 개발을 통한 위성 독자 개발 능력 필요

추진방향

◦ 다양한 공공수요에 부응하는 인공위성의 핵심 부품 및 기술 확보를 통한 위성 성능의 첨단화

및 위성 개발능력 자립화에 기여

◦ 위성기술 선도를 통한 우주산업화 기반 마련 및 경제 발전에 기여
◦ 민간참여 확대 및 전문 산업체 육성을 통하여 세계 위성 시장의 경쟁력 확보

국가우주개발중장기계획

<

>

성과목표

성과지표 수 개

( )

2-1 공공 인프라형 국가적 미션과 국가 우주개발 역량 향상을 위한 고해상도 다목적실용위성 개발 수탁

[

]

(

)

7

2-2 산업화형 차세대 중형위성 개발을 통한 국내 공공위성수요 충족 및 우주산업화 촉진 수탁

[

]

(

)

8

2-3 공공 인프라형 기상 해양 및 환경관측을 위한 정지궤도복합위성의 독자적인 개발 및 핵심기술

[

]

,

자립화 수탁

(

)

9

2-4 공공 인프라형 위성 탑재체 핵심기술 개발 출연금 수탁

[

]

(

+

)

10

2-5 산업화형 위성부품 개발 경쟁력 향상 출연금 수탁

[

]

(

+

)

14


background image

부문별  계획

 

경영성과계획서

2015~2017 

173

성과목표  2-1

공공

인프라형 국가적 미션과 국가 우주개발 역량 향상을 위한 

[

]

고해상도 다목적실용위성 개발 수탁

(

)

주요내용

(1) 

성과목표  개요

 

◦ 개요 국토 자원관리 재해재난 대응 등 국가 공공업무 수행에 필요한 고해상도 위성정보를 

(

지속적으로  제공하기  위한  다목적실용위성  시리즈  개발  계획에  따라  저궤도  지구관측위성 

국내  주도  개발

◦ 구성 고해상도 광학 적외선 영상정보 및 레이더 영상정보를 제공하기 위하여 아래와 같이 구성

(

/

– 다목적실용위성 

호 서브미터급 고해상도 광학 영상 및 적외선 영상의 국가 수요 충족을 

3A :

위한  저궤도  관측위성  국내  주도  개발

– 다목적실용위성  호 서브미터급  고해상도  레이더영상의  국가  수요  충족을  위한  저궤도 

6 :

관측위성  국내  주도  개발

연구동향  및  필요성

 

◦ 연구  동향

– 미국 프랑스는 

이하  급의  광학  탑재  위성을  운영하고  있으며

급  초고해상도 

0.5m 

,  0.25m

광학  탑재  위성인 

위성을 

년  발사  예정임

WorldView-3 

2014

– 독일 이탈리아를  중심으로 

년대  부터  상업용  고해상도  레이더  영상

위성을 

2000

(SAR) 

경쟁적으로  개발하고  있으며

급  세계  최고  수준의  영상레이더  탑재  위성을 

년 

,  0.5m

2017

발사  예정임

◦ 연구  필요성

– 공공 민간부문의  지속적  수요가  존재하는  서브미터급  고해상도  광학  및  영상레이더 

탑재체  핵심기술의  자립화를  위한  국산화  개발이  필요함

– 공공안전  및  국토 자원  관리  등을  위해  저궤도  고해상도  광학  관측위성의  임무  수명을 

고려한  순차적  개발 호

이  필요함

(3 :0.7m 3A :0.55m)

– 전천후  상시  지구  관측이  가능한  저궤도  고해상도  영상레이더  관측위성의  임무  수명을 

고려한  순차적  개발 호

이  필요함

(5 :1m 6 :0.5m)

추진방향

 

◦ 다목적실용위성 

호 개발 및 운용을 통해 고정밀 관측위성 광학 및 레이더 의 기술자립을 

3A

6

(

)

달성하고 

년  이전  고정밀  관측위성의  수출을  위한  기반을  확보함

’20

◦ 서브미터급 고해상도 광학 및 레이더 탑재 위성의 개발 기술을 산업체로 기술이전하여 실용위성 

산업화  기반을  구축함


background image

174

추진체계  및  절차

 

전략목표와의  부합성

(2) 

전략목표

성과목표

전략목표와의 부합성

실용위성

성능

첨단화

국가적 미션과 국가

우주개발 역량 향상을

위한 고해상도

다목적실용위성 개발

급 다목적실용위성

호 임무수명 이후의 서브미터급 광학

0.7m

3

영상 확보의 연속성 보장 및 정밀 적외선

영상 수요 충족

(IR)

급 다목적실용위성

1m

호 임무수명 이후의 서브미터급 레이더

5

영상 확보의 연속성을 보장 및 레이더영상 활용기반 구축

◦ 서브미터급 고해상도 탑재 위성 개발 기술을 산업체로 기술이전하여

실용위성 산업화 기반 구축


background image

부문별  계획

 

경영성과계획서

2015~2017 

175

성과지표  현황

(3) 

성과지표  및  지표별  목표

 

사업
구분

성과지표

실적

목표

장기목표

분야

유형

지표명

2012

2013

2014

2015 2016 2017

수탁

기술

기술
혁신

서브미터급(0.55m)

고해상도 광학 탑재 및

채널 탑재

IR

다목적실용위성(K3A)

개발 진척율

(

)

시스템

종합준비

검토

(IRR)

(70%)

시험

준비
검토

(TRR)

(80%)

선적전

검토

(PSR)

(90%)

발사,

초기

운영(1)

(LEOP)

(100%)

발사(2015)

서브미터급(0.5m)

고해상도 영상레이더 탑재

다목적실용위성(K6)

시스템 설계 진척율

(

)

사업

착수

임무정의

검토

(MDR)

(5%)

시스템

설계
검토

(SDR)

(20%)

예비

설계

검토

(2)

(PDR)
(40%)

상세

설계

검토

(3)

(CDR)
(60%)

시스템

종합준비

검토

(4)

(IRR)
(70%)

발사(2019)

시작품

서브미터급(0.5m)

고해상도 영상레이더 탑재

다목적실용위성(K6)

본체 시작품 제작 건

[ ]

3

발사(2019)

기관 핵심 성과지표 및 공통지표

과학

논문

표준화된

상위

IF

20%

논문 편

SCI

[ ]

2

2

1

1

1

1

논문 편

SCI

[ ]

5

8

6

6

6

6

경제 기술료

기술이전특허 건

[ ]

2

4

1

2

2

2

기술료 수입 억원

[

]

2.07

0.42

3.71

2.10

2.10

2.15

※ 주석 MDR(Mission Definition

Review),

SRR(System

Requirements

Review),

SDR(System

Design Review),

PDR(Preliminary Design Review), CDR(Critical Design Review), TRR(Test Readiness Review), IRR(Integration Readiness
Review), PSR(Pre-Ship Review), LEOP(Launch & Early Operation Plan)

(1) 초기운영 결과보고서 발행
(2) 서브시스템 규격서 및 구성품 규격서 발행
(3) 시스템 및 구성품 설계 해석 보고서

/

(4) 시스템 및 구성품 제작 시험 보고서

/


background image

176

주요  성과지표의  의미  및  중요성

 

성과지표명

성과지표의 의미 및 중요성

서브미터급 고해상도 광학 및

채널

IR

탑재 다목적실용위성

개발

(K3A)

의 미

급 고해상도 광학 영상의 화소 정밀도 및 궤도 정밀도

(

) 0.55m

중요성 저궤도 광학 탑재체로 관측된 영상의 질적 평가를 위한 필수

(

)

항목이며 고해상도 영상을 관측하기 위한 정밀 궤도가 필수적임

,

서브미터급 고해상도 영상레이더

탑재 다목적실용위성

시스템

(K6)

설계 및 본체 시작품 제작

의 미

급 고해상도 레이더 영상의 화소 정밀도 및 궤도 정밀도

(

) 0.5m

중요성

(

)

저궤도 레이더 탑재체로 관측된 영상의 질적 평가를 위한 필수

항목이며 고해상도 영상을 관측하기 위한 정밀 궤도가 필수적임

,

목표  설정  근거 타당성 및  평가방법

 

(

사업
구분

성과지표

최종목표

목표 도출근거

평가 검증

(

)

방법

분야

유형

지표명

수탁

기술

기술
혁신

서브미터급

(0.55m)

고해상도 광학

탑재 및 IR

채널 탑재

다목적실용위

개발

(K3A)

급 고해상도 광학

0.55m

탑재체와 적외선센서를
탑재한 위성의 발사 및

초기운영 완료

세계최고수준 대비 80%

급 고해상도 광학탑재

0.55m

위성의 최종 조립과 시험이
완료되었으며

년초 발사

2015

및 초기운용

발사성공여부
초기운영결과

서브미터급

(0.5m)

고해상도

영상레이더

탑재

다목적실용위

시스템

(K6)

설계

급 고해상도

0.5m

영상레이더 탑재 위성

시스템 설계 완료

- 세계최고수준 대비 90%

세계

최고수준의

2017
영상레이더 탑재 위성 독일

(

,

과 동급 수준의

TerraSAR-XNG)

급 고해상도 위성 시스템

0.5m

설계

설계문서

해석문서

시작품

서브미터급

(0.5m)

고해상도

영상레이더

탑재 다목적

실용위성(K6)

본체 시작품

개발

3

초고주파신호분배기

(RFDU)

전력생성분배기

(IBMU/PCDU)

정밀궤도조정소프트웨어

- 세계최고수준 대비 90%

세계

최고수준의

2017

영상레이더 탑재 위성 독일

(

,

과 동급 수준의

TerraSAR-XNG)

급 고해상도 위

0.5m

성 본체

시작품 개발

시작품 제작 및

시험 결과

과학

논문

표준화된

상위

IF

20%

논문

SCI

3

기관 핵심 성과지표와

최근

년간 실적 및

3

고유임무재정립 목표치 고려

상위

해당

IF

20%

논문 게재 실적

논문

SCI

18

논문 게재 실적

경제 기술료

기술이전특허

6

기술이전

특허 실적

기술료 수입

억원

6.35

기술료 계약 실적


background image

부문별  계획

 

경영성과계획서

2015~2017 

177

유사  해외  선진연구기관과  비교

 

주요 기술

기관명

기술 수준 및 주요내용

기술력

KARI

년도

2014
기술 수준

년도

2017
기술 목표

서브미터급

고해상도

광학 탑재

채널

IR

탑재

다목적실용

위성(K3A)

개발

0.55m

고해상도

광학 및

탑재

IR

위성 개발

디지털

그로브

미국

(

)

CNES

프랑스

(

)

이하 급의

라는

0.5m

WorldView

고해상도 광학 위성 기를 운용중

2

,

2014

0.25m

WorldView-3

광학 위성 발사

는 프랑스에서 개발한

Helios

정찰위성으로

년 발사된

2004

무게

급 적외선

4,200kg

5m

탑재한 대형 위성

세계최고수준

대비 60%

세계최고수준

대비 80%

급 다목적실용

0.7m

위성 개발 경험으로
탑재체 조립 및 시험기술

보유

급 적외선검출기

36m

를 탑재한 과학기술

(IR)
위성에서 시험개발

수준임

•발사 초기운영 및 궤도

,

운영을 통해 0.55m
급 실용위성 개발 기술

확보

급 적외선검출기

5m

등의 핵심 부품은 해외
협력을 통해 개발

서브미터급

고해상도

영상레이더

탑재

다목적실용

위성(K6)

개발

0.5m

고해상도

영상

레이더

탑재 위성

시스템 및
본체 설계

Airbus

독일

(

)

TASI

이탈리아

(

)

모듈 기반의 능동형 위상배열

TR

탑재체

SAR
경량 고안정성

소재의

/

CFRP

일체형 본체

오차의 지상반복궤적 유지를

250m

위한 정밀궤도조정 기술

세계최고대비 70%

세계최고대비 90%

능동형

탑재체

SAR

파라미터 최적화

경량 금속소재 본제

개발

정밀도의 궤도조정

2km

개발

S/W

탑재체 레벨에서의

SAR
능동형

탑재체

SAR

파라미터 최적화 검증
경량 고안정성

/

CFRP

소재의 일체형 본체

개발

FM

정밀도의 궤도

200m

조정 S/W proto-type

개발

성과활용  및  기대효과

(4) 

구분

주요 내용

성과활용

◦ 지상 환경관측 농작물 작황 및 산불피해 분석 등 국가재난관리 업무에 활용

,

,

◦ 국토 자원 관리 재해 재난 대응 등 다양한 공공부문 수요에 효율적 대응 및 국토 관리

,

서비스에 활용하며, 국가 위성정보의 통합 관리 활용 촉진 도모

기대효과

◦ 국토 자원관리 재해재난 대응 등 국가 공공업무 수행에 필요한 위성정보 제공을 통한

,

공공서비스 창출

◦ 고해상도 위성영상 국내 자급 기반 구축

◦ 고부가가치 창출이 가능한 전천후 레이더 영상의 확보를 통한 위성영상 정보시장 참여
◦ 장기적으로 고해상도 기술의 산업체 이전 및 세계 우주시장 진출의 기반 마련


background image

178

성과목표  2-2

산업화형 차세대 중형위성 개발을 통한 국내공공위성수요 충족 및 

[

우주산업화 촉진 수탁

(

)

주요내용

(1) 

성과목표  개요

 

◦ 개요 다양한  공공분야  관측수요  적기대응  및  관측주기  단축을  위한  중형위성  시리즈  개발 

(

계획에  따라

급  차세대  표준형  위성플랫폼  확보  및  정밀지상관측용  중형위성  국내 

,  500kg

독자  개발

◦ 구성 다양한  탑재체를  탑재  할  수  있는 

급  표준플랫폼  개발  및 

해상도의 

(

500kg

0.5m 

정밀광학탑재체  개발

– 시스템  및  표준플랫폼 다양한  탑재체  요구조건들을  수용할  수  있는  표준플랫폼  개발

(

– 광학탑재체 국산화 고유모델로 개발하여 국내수요 및 세계시장에서 경쟁력을 갖는 해상도 

(

급  광학  탑재체  개발

0.5m

연구동향  및  필요성

 

◦ 국토 자원관리 재해재난  대응  등  국가  공공업무  수행에  필요한  위성정보  제공을  통한 

공공서비스  창출

◦ 국내  산업체  기술이전  및  향후  다수의  위성개발  기회  제공을  통한  국내  위성  분야  산업체 

경쟁력  강화  및  위성산업  활성화

◦ 차세대  중형위성은  수출 전략형 위성으로 개발비용 절감 및 기간단축을 통한  경쟁력 확보로 

세계  위성시장에  효과적으로  진입

◦ 국가  우주개발사업에서  요구하는  위성  표준플랫폼  제공

추진방향

 

◦ 시스템 본체  개발 국내외  위성산업  주도를  위한 

급  차세대  표준형  중형위성  플랫폼 

(

/

500kg

국내  독자  개발  추진

– 다양한  탑재체 전자광학 레이더 적외선  등 의  장착이  가능한  표준본체  개발 국내  개발 

(

)

우주핵심  기술  적용  및  국내  산업체  기술  이전

◦ 탑재체  개발 국내외  수요가  높은 

급  광학탑재체를  국산화  고유  모델로  개발

(

0.5m

– 다목적실용위성개발 사업을 통해 축적한 국내외 기술역량 활용 광학 모듈 등의 설계 조립

/

/

정렬 시험  독자  수행

/

◦ 지상국 개발 기존 항우연 지상국 인프라의 고도화 및 연계 극대화를 통해 초기중복 투자 방지

(

– 다중관제  임무  환경에  적합하도록  기존  지상국  보완  및  공통  기반시설  활용을  통해 

개발비용  최소화  등  가격  경쟁력  확보

◦ 조립 시험  방안 중복  투자  방지 국제  수준의  조립 시험기술  역량  확보를  위하여  기존 

(

/

항우연  구축시설  및  기술을  바탕으로  국내  독자  조립 시험  수행


background image

부문별  계획

 

경영성과계획서

2015~2017 

179

  실용급위성  시스템개발  기술  산업체  이전

◦ 차세대중형위성개발사업 착수단계부터 실용급위성 시스템개발 기술이전 대상 산업체 참여 및 

단계적인 산업체 참여확대를 통해 국내  위성 산업체의 독자적 위성개발 역량 육성에 적합한 

개발  체계  구축

◦ 호  위성  개발  시 한국항공우주연구원 산업체의  공동설계팀  구성 산업체에  위성개발을 

1

-

주도적으로  수행할  수  있는  기술 위성시스템  개발기술  포함 전수

(

– 호  개발  참여  기업  또는  컨소시엄  기업  구성을  통해  후속  사업  주관

1

◦ 호  위성  개발부터는  국내  위성  산업체들이  위성  개발  사업을  주도적으로  수행할  수  있는 

2

개발  체계  구축  및  지원

◦ 산업체 참여확대 및 기술이전 등을 통해 산업체의 위성 기술 자립화를 완성하고 산업체 주도 

저비용  다용도  중형급  해외  위성수출  시장  진입

산업체  기술이전  예정

 

시스템  개발  업무

 

WP#

제목 및 설명

WP#31000

시스템엔지니어링

WP#31100

시스템 설계 요구사항 분석 규격서 개발

/

/

WP#31200

시스템 요구조건 수립 및 검증

WP#31300

영상품질관리 검보정

/

WP#31400

고장관리 설계 및 종합

WP#32000

궤도 임무 및 우주환경 분석

/

WP#32100

궤도분석

WP#32200

임무분석

WP#32300

우주환경분석

WP#33000

접속관리

WP#33100

발사체 접속관리

WP#33200

탑재체 접속관리

WP#33300

지상국 접속관리

WP#35000

전기시스템 및 EDI

WP#35100

전기시스템

WP#35200

EDI

WP#36000

기계시스템 및 MDI

WP#36100

기계시스템

WP#36200

MDI

WP#37000

시스템레벨 검증모델 개발

WP#37100

열 구조

검증모델개발

-

(STM)

WP#37200

전기성능

검증모델개발

(ETB)

WP#38000

형상 및 자료관리

WP#38100

형상관리

WP#38200

자료관리


background image

180

추진체계  및  절차

 

◦ 총괄주관기관 한국항공우주연구원

– 연구개발  수행에  관한  종합적인  관리  및  위성  개발  전분야  개발  업무  수행

– 국내기업공동설계팀  구성 운영  및  분야별  기술전수

◦ 국내기업공동설계팀

– 한국항공우주연구원과  공동으로  위성개발  업무  수행

– 차세대중형위성  호  개발사업  독자  추진을  위한  능력  배양

2

◦ 국내기업 기관

– 위성  본체 탑재체  구성품  등  국산화  품목  개발  등에  참여

◦ 해외기업

– 위성  본체 탑재체  구성품  중  일부  비국산화  품목은  경험  있는  해외기업을  활용

– 발사용역업체  및  보험업체 사업일정 예산  등을  고려  선정

전략목표와의  부합성

(2) 

전략목표

성과목표

전략목표와의 부합성

실용위성

성능

첨단화

차세대 중형위성 개발을

통한 국내공공위성수요 충족 및

우주산업화 촉진

◦ 다양한 탑재체 요구조건을 충족할 수 있는 표준플랫폼 개발을 통해

개발기간 및 개발예산 절감하여 가격 대비 성능 우수성 확보

급 정밀광학탑재체 국산화 고유모델 개발하여 국내 공공수요

0.5m

충족 및

세계 시장 경쟁력 확보

성과지표  현황

(3) 

성과지표  및  지표별  목표

 

사업
구분

성과지표

실적

목표

장기목표

분야

유형

지표명

2012 2013 2014

2015

2016

2017

수탁

기술

기술
혁신

500kg

표준플랫폼개발 진척율

(

)

시스템설

계검토

(1)

(SDR)

(20%)

예비설계

검토

(1)

(PDR)

(40%)

상세설계

검토

(3)

(CDR)

(60%)

발사(2019)

급 정밀

0.5m

광학탑재체개발 진척율

(

)

시스템설

계검토(1)

(SDR)

(20%)

예비설계

검토(2)
(PDR)

(40%)

상세설계

검토(3)

(CDR)

(60%)

발사(2019)

시작품

시작품개발

* 건

[ ]

9

경제

기술료

산업화 예산이전 백만원

[

]

720

2,700

2,700

기관 핵심 성과지표 및 공통지표

과학

논문

표준화된

상위

IF

20%

논문 편

SCI

[ ]

0

0

0

0

1

1

논문 편

SCI

[ ]

0

1

0

0

1

3

경제

기술료

기술이전특허 건

[ ]

0

0

0

1

0

0

기술료 수입 억원

[

]

0

0

0

1.0

1.0

1.05

※ 본 성과목표는

년 착수 사업임

2015

시작품개발을 위해

년 설계 및 제작 기간 소요

*

’15 ~’16

시스템규격서 제품보증규격서 발행

(1)

,

서브시스템규격서 구성품규격서 발행

(2)

,

시스템 및 구성품 설계 해석 보고서 발행

(3)

/


background image

부문별  계획

 

경영성과계획서

2015~2017 

181

주요  성과지표의  의미  및  중요성

 

성과지표명

성과지표의 의미 및 중요성

500kg

표준플랫폼 개발

의 미 다양한 탑재체 장착가능 위성본체개발

(

)

중요성 위성 개발예산 및 개발기간 단축을 통해 위성개발 경쟁력 확보가능

(

)

급 정밀

0.5m

광학탑재체개발

의 미 정밀해상도의 지구관측탑재체 개발

(

)

중요성 위성선진국과 경쟁할수 있는 고해상도 탑재체 개발

(

)

목표  설정  근거 타당성 및  평가방법

 

(

사업
구분

성과지표

최종목표

목표 도출근거

평가 검증

(

)

방법

분야

유형

지표명

수탁

기술

기술

혁신

500kg

표준플랫폼

개발

급 표준플랫폼 설계

500kg
완료

◦ 표준플랫폼 검증모델 제작

완료 및 검증

◦ 비행용 구성품 제작

년에 발사될 세계

2013 ~2022
정부 위성 수는

개로 분석됨

755

.

그 중

에 해당하는

400~699kg

위성은

개로 예측

90

급 표준플랫폼이 해외위성

500kg
시장 진출에 적합하다고 판단됨

설계자료

해석자료
시험결과

급 정밀

0.5m

광학탑재체

개발

급 해상도 정밀광학

0.5m

탑재체 설계완료

◦ 정밀광학탑재체 검증모델

제작완료 및 검증

◦ 비행용 구성품 제작

급 민간광학탑재체 해상도

500kg
최고사양

0.5m

일본

위성

(

ASNARO

)

설계자료
해석자료

시험결과

시작품 시작품개발

9

국산화품목에 대한 검증용 시작품 개발

시작품

확인

경제

기술
이전

산업화

예산이전

백만원

6,120

기술이전 및 공동설계를 위해 파견되는
산업체 인력 인건비

계약서

예산집행

내역서

과학

논문

표준화된

상위

IF

20%

논문

SCI

2

기관 핵심 성과지표와

최근

년간 실적 및

3

고유임무재정립 목표치 고려

상위

IF

해당

20%

논문 게재

실적

논문

SCI

4

논문 게재

실적

경제 기술료

기술이전특허

1

기술이전

특허 실적

기술료 수입

억원

3.05

기술료

계약 실적


background image

182

유사  해외  선진연구기관과  비교

 

주요 기술

기관명

기술 수준 및 주요내용

기술력

KARI

년도

2014

기술 수준

년도

2017
기술 목표

표준

플랫폼

개발

소형 경량

저전력 추진

시스템 및

추력기 개발

기술

일본

NEC(

)

유럽

TAS(

)

미국

OSC(

)

◦ 미국을 비롯한 대부분의 우주

선진국들은

급 추력기 및

1N

소형 추진시스템 기술 보유

년대부터

추력기를

1990

1N

활용한 소형 추진시스템이 주로
개발되고 있으며 이를 활용한

위성 플랫폼으로 LEOStar-2,
LEOSTAR-500,

Proteus,

등이 있음

ASNARO

70%

90%

◦ 다목적실용위성 개발 경험

및 촉매 연소시험장 확보로

/

개발을 위한 기반기술 보유

급 추력기

개발이

1N

EM

진행 중임

◦ 차세대중형위성

탑재용

1N

추력기 제작완료

및 시험

위성 전장품

(Avionics)

의 회로직접

및 경량화

기술

Airbus

유럽

(

)

BAE
미국

(

)

◦ 탑재 컴퓨터

- 경량화를 위해서 대부분

선진국은 자체

ASIC(AirBus

SCOC3, RUAG

COLE)

사용함으로서 다수의 FPGA

기반으로 설계하지 않고 있음

- 고속

와 주변

CPU(RAD750)

보드를

로 연결할 수

PCI

있도록 개발

50%

85%

상 하향 처리를

CPU

IO,

/

모두 구현한 범용 ASIC

을 개발함으로서

(SCOC3)
모든 보드에 사용가능토록

구현

◦ 국내의 우주용

기술

ASIC

은 거의 확보되지 않았고,
대부분

이용

FPGA

◦ RAD750 6U Compact

기반으로

PCI

CPU Core

가지는 보드를 개발하였고,
다른 주변 보드는 PCI

에 장착하는 형태

Rack

기반의 탑재

ASIC

컴퓨터 제작완료
및 시험

0.5m

정밀

광학

탑재체

개발

소형 경량

,

위성을 위한

광구조계

개발

Airbus

독일

(

)

미국

ITT(

)

Alcate

프랑스

l(

)

◦ 필라멘트와인딩 방식 복합재

광구조체 개발

재질 대구경 반사경

Zerodur

제작

재질 반사경 및 광구조체

SiC

제작

80%

95%

재질 반사경 개발

Zerodur

- 다목적 호 직경

2 (

60cm),

호 및

호 직경

3

3A (

80cm)

- 직경

80cm

1m

인증모델 개발 표준연

(

)

◦ 고안정 고강성 복합재 광

/

구조체 개발

- 반사경

급 및

80cm

1m

광구조체 인증모델 개발

대한항공

(

)

- 반사경

급 광구조체

60cm

인증모델 개발중(DACC
항공)

◦ 차세대중형위성

경량 광구조계

제작완료 및 시험


background image

부문별  계획

 

경영성과계획서

2015~2017 

183

성과활용  및  기대효과

(4) 

구분

주요 내용

성과활용

◦ 국토 자원 관리 재해 재난 대응 등 다양한 공공부문 수요에 효율적 대응 및 국토 관리

,

서비스에 활용하며, 국가 위성정보의 통합 관리 활용 촉진 도모

기대효과

◦ 국토 자원관리 재해재난 대응 등 국가 공공업무 수행에 필요한 위성정보 제공을 통한

,

공공서비스 창출

◦ 국내 산업체 기술이전 및 향후 다수의 위성개발 기회 제공을 통한 국내 위성 분야 산업체

경쟁력 강화 및 위성산업 활성화

◦ 차세대 중형위성은 수출 전략형 위성으로 개발비용 절감 및 기간단축을 통한 경쟁력

확보로 세계 위성시장에 효과적으로 진입

◦ 국가 우주개발사업에서 요구하는 위성 표준플랫폼 제공

- 한국형발사체 발사이력 확보를 위한 발사위성 제공

※ 향후 차세대중형위성 시리즈는 한국형발사체를 활용 발사함으로써 한국형발사체

상용화를 위한 우주이력 확보 가능

- 한국형 달궤도선 및 달착륙선 플랫폼으로 활용 가능

주요 기술

기관명

기술 수준 및 주요내용

기술력

KARI

년도

2014

기술 수준

년도

2017
기술 목표

고해상도

위성 영상

획득을 위한

소형

FPA

,

경량화 설계,

제작 및

조립기술

Excelis

미국

(

)

◦ 멀티칩모듈

고집적

(MCM),

프로그래머블 디바이스를
사용한 소형 경량화 및 고속

응답

구현

FPA

50%

85%

다목적실용위성

카메라

개발

- 다목적 호

3

10,000lines/s,

3A

13,000lines/s

◦멀티영상밴드 광검출기를

이용한

기능구현모델

FPA

국산화 개발진행 중
(I3System)

◦차세대중형위성

탑재용

제작

FPA

완료 및 시험

고해상도

위성

영상획득을

위한 정밀

Re-Focusing

Mechanism

기술

Alcatel

프랑스

(

)

DLR
독일

(

)

◦ 열변형방식 초점조절장치 개발

80%

95%

구동 기계식

Step motor

초점조절장치 개발

◦열변형방식 초점조절장치

개발

◦차세대중형위성

탑재용 초점조절
장치 제작완료 및

시험


background image

184

성과목표  2-3

공공

인프라형 기상 해양 및 환경관측을 위한 

[

정지궤도복합위성의 독자적인 개발 및 핵심기술 자립화 수탁

(

)

주요내용

(1) 

성과목표  개요

 

◦ 개요 정지궤도복합위성의  국내주도개발을  통해  독자적인  기상 우주기상 환경  및  해양관측 

(

능력을 확보하고 정지궤도 위성본체 및  시스템의 독자개발 능력 구축  및 기술자립화를 추진

◦ 구성 천리안위성

발사 설계수명  년 의  개발경험과  저궤도위성  개발기술  및  확보 

(

(’10.6 

7 )

기술을  적극  활용하여  개발하고  미확보된  기술은  해외  전문기관과의  공동개발을  통해  개발

– 시스템  및  위성본체 다양한  임무를  수행할  수  있는  정지궤도  위성의  표준플랫폼을 

(

개발하고  핵심기술의  자립화

– 기상탑재체  및  우주기상센서 한반도  주변의  기상관측을  할  수  있는  기상탑재체와  우주 

(

기상을  모니터링하는  센서  개발

– 해양탑재체 한반도  주변의  해양을  모니터링  할  수  있는  탑재체  개발

(

– 환경탑재체 지구  환경을  모니터링  할  수  있는  탑재체  개발

(

연구동향  및  필요성

 

◦ 사회적 경제적  이슈

/

– 위성 핵심 부품 국산화를 통한 극저온 고온 환경용 전자 회로 설계 군사용 전자회로 기술 

/

등의  수입대체  및  무선통신  부품  및  고정밀  항공우주  분야  전자부품의  수출  가능성  확대

– 중소형  정지궤도  위성에  대한  국내뿐만  아니라  동남아  및  남미국가의  지속적인  수요가 

존재하므로  중소형  정지궤도  위성  고유  플랫폼을  개발하여  틈새시장  공략을  통한  세계 

위성시장  진출  가능

– 황사 산불 태풍  및  집중호우  등의  예측하기  힘든  악기상을  조기  탐지하고  예보함으로써 

기상재해  및  인명피해의  경감이  가능

– 정지궤도 해양 환경위성을 이용하여 적조지역을  조기 관측함으로써 적조피해의 확산 방지 

/

및  연안  양식  시설물의  분포와  밀도를  파악하고  효율적인  한반도  연안  해양자원  관리가 

가능하며 월경성  오염물질  등  환경관측  능력  확보로  환경관리  대응체계구축이  가능


background image

부문별  계획

 

경영성과계획서

2015~2017 

185

◦ 기술적  이슈

– 자세제어  측면에서는  관측탑재체의  열제어  요구조건으로  인해  태양전지판이  한쪽에만 

장착되는 비대칭 형상을 가지게 되어 이를 극복하기 위한 고성능의 자세제어시스템 필요하고 

또한 

의  고고도에서  운용되는  관측용  광학탑재체의  성능을  만족시키기  위해 

36,000km

자세정밀도를  향상시키는  기술이  요구

– 정지궤도  복합위성개발을  통해  확보하고자  하는  본체  기술은  일반적인  통신위성에  비해 

상대적으로 고성능이거나  포괄적이어서 고유 플랫폼을 바탕으로 상용화 가능성을 높일 수 

있으며 최근  방송 통신  외에  항행 항법 관측  등의  여러  분야에서  정지궤도위성의  수요가 

점차  확대되고  있어  다양한  임무  요구조건을  충족시  킬  수  있는  정지궤도  위성플랫폼 

개발이  필요

– 전  세계적으로  관심이  집중되는  기후  변화  대응  및  녹색성장  분야에서  정지궤도  위성의 

관측영상을  활용한  다양한  정보의  제공을  가능하도록  하기  위해 관측영상보정시스템의 

주도적인  개발을  추진하고  이를  통해  기상 해양 환경  등  다양한  분야의  관측영상  처리 

기술  확보가  필요

추진방향

 

◦ 천리안위성  개발경험  및  저궤도  위성  개발을  통해  확보된  기술을  활용하여  시스템  및  위성 

본체 지상국의  국내주도개발  수행

◦ 탑재컴퓨터 비행소프트웨어 등 주요 전장품의 국산화 개발을 통한 국내업체의 핵심기술 확보 유도

◦ 탑재체별  요구조건  및  기술수준을  고려한  개발방식  설정

– 기상탑재체 기상관측  정확도  향상 국내기술수준 해외기술도입  제한  등을  고려하여 

(

해외구매  추진

– 해양 환경탑재체 요구사양 향상 및 기술적 위험도를 고려하여 해외업체와의 공동개발

(

/

식으로  추진

추진체계  및  절차

 

◦ 총괄주관연구기관 한국항공우주연구원

– 정지궤도위성개발  총괄 주파수확보 발사체  선정 국산화  총괄  및 

구매 외국기관과의 

HW 

기술협력  등

◦ 해외협력기관

– 발사용역업체 사업일정 예산  등을  고려하여  선정

◦ 대학  및  연구기관

– 대학  및  국내연구기관  참여를  확대하여  국내  연구역량  강화


background image

186

◦ 국내업체

– 위성개발  관련  민간역량  강화를  위해  기술공유 이전이  효과적으로  이루어지도록  실효성 

있는  산업체  참여  확대방안  마련

전략목표와의  부합성

(2) 

전략목표

성과목표

전략목표와의 부합성

실용위성 성능

첨단화

기상 해양 및

,

환경관측을 위한

정지궤도복합위성의

독자적인 개발 및

핵심기술 자립화

◦ 기상 우주기상 해양 환경 관측용 정지궤도위성 개발을 통해 공공수요에

,

대응함으로써 국민 편익을 강화

◦ 정지궤도 위성체 고유모델을 확보하여 국가 우주개발중장기계획에

의거한 후속 정지궤도 위성 통신 항법 의 공공수요에 신속히 대응

(

,

)

◦ 정지궤도복합위성 영상항법 및 궤도 결정 정밀도 향상을 통한

위성체 성능 향상

◦ 정지궤도 핵심부품 국산화 기술 확보를 통한 독자 개발 능력 구축


background image

부문별  계획

 

경영성과계획서

2015~2017 

187

성과지표  현황

(3) 

성과지표  및  지표별  목표

 

사업
구분

성과지표

실적

목표

장기목표

분야

유형

지표명

2012

2013

2014

2015

2016

2017

수탁

기술

기술
혁신

시스템,

위성본체,

지상국

핵심기술

개발

진척율

GK2A

SRR

(10%)

SDR

(20%)

PDR

(40%)

CDR

(60%)

IRR

(70%)

TRR

(80%)

진척율

GK2B

SRR

(10%)

SDR

(20%)

PDR

(40%)

-

CDR

(60%)

IRR

(70%)

영상항법 정밀도

[ rad, 3 ]

μ

σ

31

30

29

28

21

궤도결정

정밀도[km]

<5

<4

<3

<3

<3

기상 및

우주기상

탑재체

개발

진척율

PDR

(40%)

CDR

(60%)

TRR

(80%)

PSR

(90%)

가시대역

채널

0.4

신호대잡음비

[SNR@100%

albedo]

270

270

270

270

270

적외채널

변조전달함수

[MTF@Nyquist

frequency]

0.22

0.22

0.22

0.22

0.22

해양

탑재체

개발

진척율

PDR

(40%)

CDR

(60%)

TRR

(80%)

PSR

(90%)

복사분해능

신호대잡음비

(

)

[@250m GSD]

1,000 1,000 1,000 1,000

>1,000

@250m

GSD

환경

탑재체

개발

진척율

PDR

(40%)

CDR

(60%)

TRR

(80%)

PSR

(90%)

서브나노급
분광해상도

[nm]

개념설계

0.6

0.6

0.6

0.6

0.6nm

제품
개발

시제품 제작 건

[ ]

국산화 품목

(

(H/W, S/W))

5

27

24

17

기관 핵심 성과지표 및 공통지표

과학

논문

표준화된

상위

IF

20%

논문 편

SCI

[ ]

0

0

0

1

1

1

논문 편

SCI

[ ]

2

3

3

5

4

4

경제 기술료

기술이전특허 건

[ ]

0

0

2

1

1

1

기술료 수입 억원

[

]

0

0

0.44

1.0

1.0

1.5


background image

188

주요  성과지표의  의미  및  중요성

 

성과지표명

성과지표의 의미 및 중요성

시스템,

위성본체,

지상국

핵심 기술

개발

영상항법 정밀도

(

미) 영상의 각 화소가 지향하고 있는 지구상의 위치가 위도와 경도와

얼마나 정밀하게 일치하는가의 척도

중요성

(

)

광학탑재체로 관측된 구름 해양생물 및 대기오염물질 등의 위치 및

,

정확한 예보의 필수항목임

궤도결정 정밀도

(

미) 위성 위치 정보의 정확도를 나타내는 지표

중요성

(

)

위성의 안정적 운영과 이에 따른 파생 결과물 위성 영상 등 의 질적

(

)

향상을 위한 필수 요소임

기상 및

우주기상

탑재체

개발

가시대역

채널

0.4

신호대 잡음비

(

미) 관측된 신호내에 측정해야 할 신호대와 섞여있는 잡음

의 비율

(noise)

중요성 관측 신호내에 측정 요소의 비율이 높게 하는 성능 요소로서 높은

(

)

성능은 강우강도 가강수량 구름온도 해수면온도 등 기상자료

SNR

,

,

,

산출물의 정확도에 영향을 미침

적외채널

변조전달함수

(

미 광학계 성능을 나타내는 대표적인 지표로서

값이 높을수록

)

MTF

영상 선명도가 좋아짐

중요성

(

)

높은

성능은 태풍분석 태풍 경로 분석 황사탐지 등 기상예보

MTF

,

,

정확도 향상에 기여함

해양

탑재체

개발

복사분해능

신호대잡음비

(

)

(

미) 해색관측 임무에 필수적으로 요구되는 성능으로 해양탑재체 개발

,

성과를 평가하기 위한 핵심 지표임

중요성

(

)

정지궤도에서 미약한 해색신호를 집광하여 복사분해능을 높이는

기술은 차기 해양탑재체 개발에 필요한 핵심 기술임

환경

탑재체

개발

서브나노급

분광해상도

(

미) 대기오염물질 원격관측을 수행할 수 있는 사양

중요성 태양산란광을 이용하여 오염물질의 분광정보를 관측하기 위해서는

(

)

서브나노급의 분광해상도가 필요


background image

부문별  계획

 

경영성과계획서

2015~2017 

189

목표  설정  근거 타당성 및  평가방법

 

(

사업
구분

성과지표

최종목표

목표 도출근거

평가 검증 방법

(

)

분야 유형

지표명

수탁

기술

기술
혁신

시스템,

위성본체,

지상국

핵심 기술

개발

영상항법

정밀도

28 rad

μ

◦ 기상탑재체의 해상도와 위성체의

자세센서 탑재체의 정밀도 및

/

오정렬 위성체 탑재체 구조

,

/

물의 열적변형오차의 추정
정도를 근거하여 도출함

◦ 정지궤도 기상위성기준 세계

최고수준과 동등수준임

자세 궤도 및 각속도와

,

가상영상으로 구현된
영상기하보정 시스템

결과로 평가

궤도정밀도

<3km

◦ 세계최고수준 대비 65%

◦ 현재

선진국의

궤도결정

정밀도는 약

수준이고

<1km

,

정복위성의 경우 시스템 성능에
필요한 요구사항이

미만

3km

이지만 이미 최고수준의 기술

,

능력 확보

궤도 결정 결과 분석

기상 및

우주기상

탑재체

개발

가시대역

채널

0.4

신호대잡음비

270

(SNR

@100%

albedo)

◦ 미국 일본의 차세대 정지궤도

,

기상탑재체 성능과 같은 수준
으로서 우리나라 기상관측
능력을 세계수준으로 향상

선행탑재체

Heritage

시험결과 및 본 탑재체

시험결과를 분석하여

달성여부 평가

적외채널

변조전달함수

0.22

(MTF

@Nyquist

frequency)

◦ 미국 일본의 차세대 정지궤도

,

기상탑재체 성능과 같은 수준
으로서 우리나라 기상관측
능력을 세계수준으로 향상

선행탑재체

Heritage

시험결과 및 본 탑재체

시험결과를 분석하여

달성여부 평가

해양

탑재체

개발

복사분해능

신호대잡음비

(

)

>1,000

@250m

GSD

◦ 천리안위성 대비 해상도는 약

배로 향상되었으나 복사

4

,

분해능은 천리안과 동일한
수준을 목표로 설정함

설계 분석 및

,

시험을 통한 최종 성능

검증

환경

탑재체

개발

서브나노급
분광해상도

(<0.6nm)

0.6nm

◦ 세계최고수준 0.54nm

미국

독일

(

BATC,

Astrium,

네덜란드 Dutch Space)

측정결과

제품
개발

시제품 제작

국산화 품목

(

(H/W),

S/W)

68

◦ 구조체 및 각 부분품 개발

모델 각 탑재체 비행 모델 및

,

시험 지원 장비 등

시제품 확인

과학 논문

표준화된

상위

IF

20%

논문

SCI

3

기관 핵심 성과지표와

최근

년간 실적 및

3

고유임무재정립 목표치 고려

상위

해당

IF

20%

논문 게재 실적

논문

SCI

13

논문 게재 실적

경제

기술

기술이전특허

3

기술이전 특허 실적

기술료 수입

억원

3.5

기술료 계약 실적


background image

190

유사  해외  선진연구기관과  비교

 

주요 기술

기관명

기술 수준 및 주요내용

기술력

KARI

년도

2014

기술 수준

년도

2017
기술 목표

시스템,

위성본체,

지상국 핵심

기술 개발

미국

NOAA(

)

기상예측을 위한 정지궤도위성의

영상항법정밀도 기술

세계최고기준

대비 68%

세계최고기준

대비 75%

영상항법정밀도

달성

31 rad

μ

영상항법정밀도

달성

28 rad

μ

NOAA

NESDIS

미국

(

)

기상 해양 환경 감시를 위한 복수

,

,

개의 정지궤도위성 운영을 위한 위성
궤도 결정 기술

세계최고기준

대비 40%

세계최고기준

대비 65%

궤도 결정 정밀도

미만

5km

궤도 결정 정밀도

미만

3km

기상 및

우주기상

탑재체 개발

미국

Exelis(

)

프랑스

TAS(

)

미국은 차세대 기상탑재체를 개발하여
현업에 활용 초기 단계임

유럽은 차세대 기상탑재체를 개발중에
있음

*차세대 기상탑재체

채널 전구

16

,

관측

10

세계최고기준

대비 24%

세계최고기준

대비 35%

저궤도 위성 관측탑재체

개발 및 현업 활용

정지궤도 위성 관측

탑재체 개발 경험은 없음

특히 적외채널 신호검출기

및 온도제어장치 개발

경험이 미미함

본 기상탑재체 개발과

다목적위성3A

탑재체 개발 및

운영을 통하여

적외채널 기상탑재체

개발 기반 확보

해양탑재체

개발

Airbus DS

천리안위성에 탑재된 해양탑재체
개발 해상도

복사민감도

(

500m,

1,000)

세계최고기준

대비 60%

세계최고기준

대비 80%

정지궤도용 해상도

급 해양탑재체

250m

시스템 설계 분석 기술

/

확보

정지궤도용

해양탑재체 국내주도

개발을 위한 시스템

및 조립 시험 기술

/

확보

환경탑재체

개발

BATC

미국

(

)

혹은

을 이용한

Grating,

Prism

초분광

영상기(Hyperspectral Imager) 개발

세계최고기준

대비 50%

세계최고기준

대비 80%

아리랑

호의

1

OSMI

개발을 통한 초분광영상

탑재체 개발 경험 보유

사와 공동개발을

BATC
통해

을 사용한

Grating

서브나노급

초분광영상기

개발기술 확보


background image

부문별  계획

 

경영성과계획서

2015~2017 

191

성과활용  및  기대효과

(4) 

구분

주요 내용

성과활용

◦ 시스템 및 위성본체

(

)

- 시스템

(

) 영상항법정밀도 및 영상처리속도를 높이는 기하보정시스템의 국산화 개발을 완수하고

발사 후 광학영상의 전처리 시스템으로 활용

- 지상국

(

) 복수의 레인징 스테이션을 이용한 궤도 결정 기술 국산화를 통해 차세대 정지궤도

위성관제시스템 개발 시 활용

- 지상국

(

) 궤도 결정 정밀도 향상을 통해 고품질 영상 획득 및 위성 운영에 소요되는 제반

비용 최적화

◦ 기상 및 우주기상 탑재체

(

)

- 기상탑재체 천리안위성 기상관측 임무를 승계하고 향상된 기상예보 및 기후관측 등 기상

현업에 활용

- 우주기상탑재체 고에너지입자 검출 지구자기장 측정 위성 대전 감시 등 우주기상 예보

,

,

현업에 활용

◦ 해양탑재체

(

)

- 한반도 주변 국토 해양에 대한 상시 관측을 수행하고 관련 데이터의 현업 기상 해양 관련

(

/

기관 및 군 분야 에 활용

)

- 차기 해양탑재체 국내주도개발 시 확보된 핵심기술을 활용

◦ 환경탑재체

(

)

- 동아시아지역의 월경성 대기환경오염원의 종류 발생량과 이동경로를 지속적으로 관측하고

,

,

환경 예 경보체계 구축 시 활용

- 정지궤도 초분광 영상탑재체의 핵심 기술인 분광영상계와 정밀스캐닝 기술을 활용하여 유사

탑재체 국내개발 수행 시 활용

기대효과

◦ 시스템 및 위성본체

(

)

- 시스템 기후 및 대기환경예측 정밀도 향상으로 인한 예측 신뢰도 향상에 기여

(

)

- 시스템 영상처리산업 분야 기여 및 영상전처리 시스템 국가 경쟁력 확보

(

)

- 지상국

(

) 위성관제시스템의 성능 향상에 따른 우주기술 선진국 기술 장벽 극복 및 국제

경쟁력 제고

- 지상국

(

) 향상된 위성관제시스템의 산업체 기술 이전을 통한 창조 경제에 기여

◦ 기상 및 우주기상 탑재체

(

)

- 기상탑재체

(

) 천리안위성 대비 배 향상된 관측시간과

종에서

종으로 확대된 기상산출물을

3

16

52

활용하여 보다 정확하고 신속한 기상예보를 통한 인명과 재산 보호 가능

- 우주기상탑재체

(

) 우주 고에너지입자의 영향을 고려한 위성운영이 가능하게 되고 지구자기장

,

변화에 따른 유도전기 발생으로 인한 전력망 및 통신케이블 장애의 사전예방 지원

◦ 해양탑재체

(

)

- 정지궤도용 해양탑재체 개발의 국내 기술 자립도 향상

- 국토 해양의 재해 및 재난신고시 피해를 최소화하는 시스템 구축을 위한 기틀 마련

◦ 환경탑재체

(

)

- 차기 정지궤도 환경탑재체 국내주도개발 수행 가능성 확보
- 미국 유럽의 정지궤도 환경감시 위성과 더불어 전세계 감시망 구성에 동참함으로써 국가

,

브랜드 제고


background image

192

성과목표  2-4

공공

인프라형 위성 탑재체 핵심기술 개발 출연금 수탁

[

(

+

)

주요내용

(1) 

성과목표  개요

 

◦ 개요 해상도 

(

0.3m

고도 

기준

(

500Km 

) 우주용  망원경 해상도 

급  정지궤도  광학탑재체

 

20m

다채널  영상레이더의  핵심기술  개발과  지상시험  인프라의  안정적  운영을  통해서  위성기술 

선도에  필요한  기술기반을  확충코자  함

◦ 구성 위성분야  기술선도를  위한  핵심기술  및  인프라  운영기술은  다음과  같이  구성됨

(

– 차세대  우주용  망원경  핵심부품  개발

(EM )

– 정지궤도위성용  미래형  전자광학  탑재체  핵심기술  개발

(EM )

– 차세대  영상레이더  탑재체  핵심기술  개발

– 우주환경시험  핵심  인프라  운영  및  고도화

연구동향  및  연구필요성

 

◦ 지구관측영상에  대한  수요확대로 관측위성분야의  시장규모가  꾸준히  증가하고  있으며

는 

년  사이에  약 

기의  관측위성이  개발되고  시장이  약 

억 

Euroconsult

2012~2021

288

243

달러까지  확대되는  것으로  전망한바  있음

◦ 지구관측위성분야의  기술은  분해능을  극대화하고 위성  재방문주기  개선 전천후  지상관측 

탑재체  개발 정지궤도기반  지상관측  등을  통해서  실시간  관측능력을  확충하는  방향으로 

전개되고  있음

◦ 우리나라는  다목적실용위성  개발사업을  통해서  세계적인  수준의  탑재체 해상도 

급 를 

(

0.55m )

주도적으로  개발할  수  있는  능력을  확보하였으나 핵심기술  및  제작기술은  선진국  수준에 

비해  상대적으로  낮은  수준임

◦ 향후의  국가수요에  대응하고  기술경쟁력을  배양하기  위해서 고성능  탑재체  핵심기술의 

선행개발  및  기술개발  인프라의  확충이  필수적임

추진방향

 

◦ 해상도 

이하  우주용  망원경 

개발을  위하여 반사경 

급  제작  기술 고안정 고강성 

0.3m 

EM 

1m

/

복합재  광구조체  제작  기술 망원경  조립 정렬 성능시험  기술을  국내독자개발로  확보

/

/

◦ 재난 산불  등  상시감시를  위한  비디오  및  고해상도

급 영상  제공을  목표로 정지궤도 

/

(20m ) 

광학탑재체  광학설계 광구조설계  및  광전자부  설계를  수행하고 엔지니어링

모델을 

(EM) 

제작하여  핵심기술  확보

◦ 증가하는  공공수요  및  해외의  기술전개  방향에  대응하여 반사판  안테나  기반의 

C,  X,  Ku 

밴드  영상레이더  탑재체  핵심부 분 품의  설계 제작 총조립 시험  등  핵심기술을  개발

( )

/

◦ 우주  종합  검증  시스템의  정확성 안정성  확보  및  시험장비  고도화를  통한  위성  기술  개발 

핵심  인프라  확보


background image

부문별  계획

 

경영성과계획서

2015~2017 

193

추진체계  및  절차

 

◦ 우주개발중장기계획  등  국가  우주전략과  연계하여  기술개발의  실효성을  확보할  수  있도록  추진

◦ 우주개발 경험을  보유한  항우연이  주축이 돼서 국내에서  가용한  기술자원을  최대한  활용할 

수  있도록 산 학 연  협력연구체계  구축

ㆍ ㆍ

– 관련기술의  산업체  기술파급과  국내  기술의  성숙도  제고를  위해서 시작품  제작용역  등의 

방법으로  국내  산업체의  참여를  독려

– 학교기관  및  출연 연 등의  연구성과를  적극  활용하여  기술개발의  시너지  창출

( ) 

◦ 각종 문헌 및 국내외 전문가들을 활용한 적극적인 기술교류 및 기술정보수집 활동을 통해서, 

기술개발  위험요소를  최소화하고  신기술  경향에  즉각  대처토록  함 경쟁력  유지

(

)

전략목표와의  부합성

(2) 

전략목표

성과목표

전략목표와의 부합성

실용위성

성능 첨단화

위성 탑재체

핵심기술 개발

◦ 고해상도 영상수요 해상도

이하 에 능동적으로 대처하기 위해서

(

0.3m

)

,

기반시설 및 장비를 구축하고

국내기관 및 업체와 협력을 통해서

,

핵심부품 반사경 광구조체 광전자부 및 자료전송부 을 국내기술로 제작

(

,

,

)

◦ 향후 위성영상 수요는 상시 실시간 재난감시 체계로 전환되는 추세이며

/

,

이에 대응하여 비디오 및 고해상도

급 영상을 제공하는 정지궤도

(20m )

광학탑재체 핵심기술의 확보가 시급함

급 소형 경량 위성용 영상레이더 탑재체

500kg

기술의 자립으로,

탑재체분야의

산업역량을

확충하고

공공분야의

전천후

,

,

주야간

관측능력을 확보

◦ 우주 종합 검증시스템의 안정적인 운영 및 시험장비 고도화는 위성

핵심기술개발 검증을 위한 필수요소로써 전략목표와 완벽히 부합함


background image

194

성과지표  현황

(3) 

성과지표  및  지표별  목표

 

사업
구분

성과지표

실적

목표

장기목표

분야

유형

지표명

2012

2013

2014

2015

2016

2017

출연금

수탁

+

기술

시제품

제작

광학계

해상도[m]

@500Km

0.5

(80%)

0.5

(90%)

0.5

(100%)

0.3

(80%)

0.3

(90%)

0.3

(100%)

0.2

이후

(2020

)

광학계

MTF[%]

33

(80%)

33

(90%)

33

(100%)

30

(80%)

30

(90%)

30

(100%)

30

이후

(2020

)

출연금

영상레이더

지상모델[m]

2

(EM)

1

(EQM)

비행모델

이후

(2020

)

기술
혁신

탑재체

GEO

해상도[m]

20

(80%)

20

(90%)

10

이후

(2020

)

탑재체

GEO

MTF[%]

5

(80%)

5

(90%)

4

이후

(2020

)

출연금

수탁

+

인프라

시험인증 건

[ ]

51

56

58

60

60

60

기관 핵심 성과지표 및 공통지표

과학

논문

표준화된

상위

IF
논문 편

20% SCI

[ ]

1

0

0

1

0

0

논문 편

SCI

[ ]

4

1

2

2

2

1

경제

기술료

기술이전특허 건

[ ]

0

0

1

0

1

1

기술료 수입 억원

[

]

0

0.68

0.81

0.3

0.3

0.35

주요  성과지표의  의미  및  중요성

 

성과지표명

성과지표의 의미 및 중요성

광학계 해상도

의 미 영상의 정밀도 지표 즉 화소 하나에 해당하는 관측물체의 크기

(

)

,

중요성 저궤도위성 탑재체 및 위성영상의 기술수준과 경쟁력을 나타내는 지표

(

)

영상레이더지상모델

의 미 우주급 기술의 도달수준을 평가하는 지표

(

)

중요성

(

)

비행모델 개발을 위해서는 최소한 우주환경을 고려한 공학인증모델(EQM)

개발능력이 확보되어야 하고

개발전에는 공학모델

(TRL 6), EQM

(EM)

통해서

의 사전검증이 이루어져야 함

(TRL 5) EQM

탑재체 해상도

GEO

의 미 영상의 정밀도 지표 즉 화소 하나에 해당하는 관측물체의 크기

(

)

,

중요성 정지궤도위성 탑재체 및 위성영상의 기술수준과 경쟁력의 지표

(

)


background image

부문별  계획

 

경영성과계획서

2015~2017 

195

목표  설정  근거 타당성 및  평가방법

 

(

사업구분

성과지표

최종목표

목표 도출근거

평가 검증 방법

(

)

분야

유형

지표명

출연금

수탁

+

기술

시제품

제작

광학계 해상도

@500Km

0.3m

단계

(2

)

세계 최고수준 해상도

상업용 위성

0.3m(

)

성능시험

측정

(WFE

)

파면오차(WFE )> /10,

※ 

λ

=633nm

λ

광학계 MTF

30%

단계

(2

)

세계 최고수준

추정

5% >(

)

성능시험

측정

(MTF

)

출연금

영상레이더

지상모델

1m

단계적으로(EM, EQM)

기술개발

성능시험

기술

기술

혁신

탑재체 해상도

GEO

20m

세계 최고수준 해상도

상업용 위성

20m(

)

성능분석 및 핵심기술

부분체 제작 검증

성능시험

측정

(WFE

)

파면오차(WFE )> /10,

※ 

λ

=633nm

λ

탑재체

GEO

MTF

5%

세계 최고수준

추정

5% >(

)

성능시험

측정

(MTF

)

출연금

수탁

+

인프라

시험인증

180

최근

년 실적대비

3

증가

56.6%

시험성공

과학

논문

표준화된

상위

IF

논문

20% SCI

1

기관 핵심 성과지표와

최근

년간 실적 및

3

고유임무재정립 목표치 고려

상위

해당

IF

20%

논문 게재 실적

논문

SCI

5

논문 게재 실적

경제

기술료

기술이전특허

2

기술이전 특허 실적

기술료 수입

억원

0.95

기술료 계약 실적

유사  해외  선진연구기관과  비교

 

주요 기술

기관명

기술수준 및 주요내용

기술력

KARI

년도

2014
기술 수준

년도

2017
기술 목표

고해상도

광학탑재체

미국

ITT(

)

해상도 0.3m

세계최고수준

대비 60%

세계최고수준

대비 90%

정지궤도 고해상도

광학탑재체

DARPA

미국

(

)

해상도

급 개념설계 및 핵심부품 개발단계

10m

세계최고수준

대비 30%

세계최고수준

대비 50%

소형 경량

영상레이더

독일

OHB(

)

실용화

500kg

SAR-Lupe

실험모형

공학인증모델

고유모델

(

)

이스라엘

IAI(

)

실용화

300kg

TecSAR

다기능 영상레이더

유럽

ESA(

)

고도센서 복합

SAR,

(CryoSAT2)

실험모형

공학인증모델

고유모델

(

)

미국

NASA(

)

고도센서 산란계 복합

SAR,

,

(DBSAR)

우주개발체 조립

및 시험시설

미국

NASA(

)

위성 및 우주 개발 관련 모든 시험 인프라 구축
및 첨단 신규 시험시설 개발 수행

톤급 위성

2 3

시험능력

톤급 위성

4

시험능력

유럽

ESTEC(

)

유럽 연합의 기술 협력을 통한 선진 시험 기술
및 시설 확보

JAXA Test

일본

Center(

)

독자적인 시험 기술 및 시험 규격 개발 미국

,

,

유럽과 협력 확대


background image

196

성과활용  및  기대효과

(4) 

구분

주요 내용

성과활용

◦ 해상도

급 우주용 망원경은 다목적실용위성 호 예상 독자개발시 핵심기술로 활용

0.3m

7 (

)

◦ 해상도

급 정지궤도 광학탑재체 선행개발을 통하여 향후 예상되는 수요에 미리 대비

20m

◦ 상시관측 및 적시대응을 위한 차세대 정지궤도 고해상도 광학탑재체 개발에 활용

◦ 영상레이더 고도계 산란계 등 다양한 전파탑재체의 기술기반

,

,

◦ 우주 종합 검증시험 시스템은 산 학 연 공동체 연구시설로 활용이 가능함

ㆍ ㆍ

◦ 장비운용기술은 우주관련 개발기술의 기초 자료로도 활용이 가능함
◦ 국내 위성개발 효율 극대화 로켓 항공 자동차 등의 유관산업에 대한 지원 가능

,

,

,

기대효과

◦ 해상도

급 우주용 망원경 선행개발을 통하여 고해상도 광학탑재체 시스템기술 및

0.3m

핵심부품 국산화율 제고

◦ 해상도

급 정지궤도 광학탑재체 선행개발을 통하여 선진국 추격이 아닌 선도연구로서

20m

핵심기술분야 경쟁력 확보

◦ 차세대 고해상도 광학탑재체 핵심기술 확보 및 국내 산업체 육성
◦ 차세대 정지궤도 고해상도 광학탑재체 핵심기술 확보 및 국내 우주산업의 육성

◦ 영상레이더 마이크로파 영상기 등 우주개발중장기수요에 능동적 대응

,

◦ 우주개발 핵심 인프라 확충을 통한 국가우주개발사업의 성공적 완수 및 우주개발 경쟁력 확보


background image

부문별  계획

 

경영성과계획서

2015~2017 

197

성과목표  2-5

산업화형 위성부품 개발 경쟁력 향상 출연금 수탁

[

(

+

)

주요내용

(1) 

성과목표  개요

 

◦ 개요 위성체  핵심  부품  및  기술  개발을  통하여  인공위성  개발의  기술자립화  및  세계  시장 

(

경쟁력  확보

◦ 구성 위성체  핵심  부품  및  기술  개발을  통한  경쟁력  확보  기술로서  아래와  같이  구성

(

– 고속  자료전송을  위한  능동형  위성  안테나  핵심기술  개발

– 우주용  베어링  모듈  및  초정밀  구동  제어장치  개발

– 위성용  채널필터들의  국제  공동연구

– 우주환경시험용  핵심  장비  국산화  개발

– 중 대형  위성  환경시험기술  개발

/

– 국내개발위성을  위한  제품보증  표준개발  및  우주용  소재 부품  인증체계  구축

연구동향  및  필요성

 

◦ 고속  자료전송을  위한  능동형  위성  안테나  핵심기술  개발

– 종래와 같은  축 지향

안테나는 기계적 교란으로 인해서 서브미터급 초고해상도 

(pointing) 

및  민첩한  기동성을  특징으로  하게  될  후속  실용위성의  경쟁력을  저해하는  요소임

– 고해상도  및  고기동성  실용위성에  대한  국가수요를  충족함은  물론 기술개발  초기단계의 

첨단기술을  선점해서 우주산업의  경쟁력을  확보할  필요가  있음

◦ 우주용  베어링  모듈  및  초정밀  구동  제어장치  개발

– 현 기술 상태는 자이로토크를 생성하기 위한 

기능구현 정도이며 우주급 

CMG 

CMG 개발에 

필수적인 우주용 베어링 기술 정밀 모터 기술 구동제어 장치 기술 내구성 보증기술 

등 핵심 

요소기술이  특히  취약함

– 위성용 

핵심기술  개발을  통한  첨단  기술  확보로  지속적인  고정밀  인공위성  개발을 

CMG 

통하여  우주산업  국제  경쟁력  향상과  국가의  위상  제고  필요

◦ 위성용  채널필터들의  국제  공동연구

– 해외  구매  대비  기술  경쟁력  및  제한된  국내  위성부품  소요  수량에  따른  가격  경쟁력 

부족으로  인해  위성용 

부품을  지속적으로  국산화  개발하는데  어려움이  있음

RF 

– 우주개발  선진국과의  국제  공동개발을  통해  위성용 

부품의  기술  경쟁력을  확보하여

RF 

국내개발  위성들에  소요되는 

부품을  지속적으로  공급하고  나아가  해외  위성부품  시장 

RF 

참여  등을  통해  수요창출  및  가격  경쟁력  확보  필요


background image

198

◦ 우주환경시험용  핵심  장비  국산화  개발

– 한국항공우주연구원  위성시험동에는  우주환경시험용  검증  시설  전체  또는  핵심  장비를 

미국에서  수입하여  설치되어  운용  중  장비가  많음

– 수입이  까다로운 상기  부품  개발을  통하여  위성  및  우주환경 검증  시설  전체에  대한 수출 

가능성이  높아짐

◦ 국내개발위성을  위한  제품보증  표준개발  및  우주용  소재 부품  인증체계  구축

– 지속  가능한  우주  개발을  위하여  국내  산업체의  우주산업  역량을  강화하고 저비용 

고효율의  제품보증  보증  체계를  구축

– 위성 산업의 규모가 커짐에 따라 우주용 부품 소재 산업 역시 확충될 것으로 예상 항우연은 

이들 부품 소재에 대한 우주 인증을 수행하여 국내 위성 개발 업체들의 부품 소재 국산화율을 

높이고 국내  부품  소재의  해외  시장  진출을  촉진

추진방향

 

◦ 고속  자료전송을  위한  능동형  위성  안테나  핵심기술  개발

– 시장에서의  우위확보를  위해서 세계수준  이상의  자료  송수신  성능을  확보

– 직접적인  기술수요가  예상되는  후속  실용위성  및  차세대중형위성개발사업  등과  연계하여, 

조기에  실용화  및  산업화할  수  있는  기반을  구축

◦ 우주용  베어링  모듈  및  초정밀  구동  제어장치  개발

– 해외 

기술정보  수집  및  항우연내  위성  개발경험을  활용

CMG 

– 이전  과제들을  통한 

개발  경험  활용하여  우주급으로  개발시  요구되는  제품보증  분석

CMG 

◦ 위성용  채널필터들의  국제  공동연구

– 우주  인증을  위한  소요  기술  분석 개발품에  대한  인증  평가  및  기술  지원

– 확보된 기술을 기반으로 국내개발 위성에 지속적인 

부품 공급 및 해외 부품 시장 참여

RF 

◦ 우주환경시험용  핵심  장비  국산화  개발

– 세계기술의  동향  파악  및  소요  기술  분석

– 개발  사양  확정 열해석 구조체  동특성  분석  및  시제품  제작

– 내구성  검증  및  상용화

◦ 위성  제품보증  표준개발  및  우주용  소재 부품  인증체계  구축

– 항우연 위성시험실 및 타 연구기관과 연계하여 우주용 소재 및 부품의 신뢰성 시험 기준을 

수립하고  인증  체계를  제도화  함

– 상업용  부품의  우주용  사용을  위한  우주급 

기술을  연구하고 국내  부품  시험 

Screening 

기관과  연계  체계  구축

추진체계  및  절차

 

◦ 산 학 연 협력 개발 체계를 구축하고 항우연은 핵심 요소기술 및 요구분석 국제공동연구의 

ㆍ ㆍ

창구 개발품의  활용  등의  역할을  수행

◦ 항우 연 을  중심으로  핵심기술  개발  및  활용  연구를  수행하고 산업체는  부품  및  시제품 

( )

제작을  수행함


background image

부문별  계획

 

경영성과계획서

2015~2017 

199

전략목표와의  부합성

(2) 

전략목표

성과목표

전략목표와의 부합성

실용위성

성능 첨단화

위성체 핵심 부품 및

기술 개발을 통한

인공위성 개발의

기술자립화 및 세계

시장 경쟁력 확보

◦ 후속 초고해상도 관측위성의 영상품질 확보를 위해서는 기계적

교란과 무관한 능동형 자료전송 안테나가 필수적으로 확보되어야 함

◦ 국제공동연구를 통한 실용위성용

부품의 개발 경쟁력 확보 및

RF

해외 위성부품시장 참여 기틀마련

◦ 우주환경시험용 핵심장비 확보에 따른 시험장비 상용화
◦ 위성체 우주환경시험 기술 확보를 통한 해외 의존도 탈피 및

수입대체 효과 중소기업지원 확대를 통한 산업체 역량 확충

,

성과지표  현황

(3) 

성과지표  및  지표별  목표

 

사업
구분

성과지표

실적

목표

장기목표

분야

유형

지표명

2012 2013 2014 2015 2016 2017

출연금

수탁

+

기술

기술
혁신

능동형 안테나 기술

공학인증 모델

1)

[EIRP

2), dBW]3)

실험
모델

(> 22)

공학
모델

(> 22)

공학
인증

모델

(> 22)

비행모델

(2019 )

용 우주 베어링 모듈

CMG
및 구동제어장치 실험모델

위치제어에러

[

, deg]

0.25

설계

(

)

0.25

해석

(

)

0.25

시험

(

)

검증모델

(2016 )

위성용 채널필터들의

삽입손실[dB]

1.5

해석

(

)

1.1

설계

(

)

1.1

시험

(

)

모델

FM

(2018~)

극저온 블로워

차압

[

, bar]

0.5

설계

(

)

0.5

해석

(

)

0.5

시험

(

)

상용화

(2016 )

저주파 음향소스

음압레벨

[

, dB]

140
설계

(

)

140

해석

(

)

140
시험

(

)

상용화

(2016 )

고주파 음향소스

음압레벨

[

, dB]

138
해석

(

)

138
시험

(

)

상용화

(2019 )

위성용 안테나 패턴 측정

기술 이득

[

, dB]

± 1

± 0.5

고도화

(2019 )

급 위성용 부품의

QM

검증 건

Screening

[ ]

5

5

상용화

(2019~)

시제품

시제품 제작 건

[ ]

3

2

1

경제

시험
지원

중소기업지원 건

[ ]

24

36

18

15

15

15

기관 핵심 성과지표 및 공통지표

과학

논문

표준화된

상위

IF

20%

논문 편

SCI

[ ]

2

0

1

0

0

1

논문 편

SCI

[ ]

2

2

2

2

2

1

경제

기술료

기술이전특허 건

[ ]

0

0

0

0

1

2

기술료 수입 억원

[

]

1.23

0

0.06

0.3

0.6

0.65

년에 능동형 안테나 기술개발이 완료되는바 해당기술에 대한 기술이전

년 및 후속 기술지도

1) ’15

,

(’16 )

(’16, ’17)

등을 통해서 산업화를 지원할 계획임

실효출력

2) EIRP, Effective Isotropically Radiated Power (

)

3) dBW, Decibel Watt (decibel referred to one watt)


background image

200

주요  성과지표의  의미  및  중요성

 

성과지표명

성과지표의 의미 및 중요성

능동형 안테나 기술

공학인증 모델

의 미 우주급 기술의 도달수준을 평가하는 지표

(

)

중요성

(

)

비행모델 개발을 위해서는 최소한 우주환경을 고려한 공학인증모델

,

,

개발능력이 필요하고

개발전에는 초보적 실험모델

(EQM)

(TRL 6), EQM

및 공학모델

을 통해서 사전검증을 진행하게 됨

(BB, TRL 5)

(EM, TRL 5)

용 우주 베어링 모듈

CMG

및 구동제어장치 실험모델

의 미

(

)

제어모멘트자이로에 활용될 수 있는 우주용 베어링 모듈 및 초정밀
구동 제어장치 기반기술 개발

중요성

(

)

우주용

개발을 위해서는 필수적으로 요구되는 구동 제어장치

CMG

기술임

위성용 채널필터들의

삽입손실

의 미

수동부품에 신호가 입력되어 투과되었을 때 발생하는 신호의 손실

(

) RF

정도를 나타내는 지표

중요성 삽입손실은 대역내 대역외

특성 그룹지연 등과 함께 필터

(

)

,

Rejection

,

의 특성을 나타내는 중요한 파라미터임.

극저온 블로워

의 미

(

)

흡입구와 토출구의 압력 차이로 블로워의 핵심 성능을 나타내는 지표

중요성

(

)

극저온 환경 모사를 위한 열제어 시스템내의 유동저항을 극복하기 위한

최대의 차압 확보가 필요함

저 고주파 음향소스

/

의 미

(

)

음향 가진소스에서 발생하는 소음 에너지의 크기를 나타내는 핵심

성능지표

중요성

(

)

발사체에서 발생하는 높은 에너지의 소음을 지상에서 모사하기 위해

높은 음압레벨 성능 확보가 필요함

위성용 안테나 패턴 측정

기술

의 미

위성용 안테나의 패턴 및 이득을 측정하는 기술의 정확도를 평가하는

(

)

지표

중요성 영상레이더 및 통신탑재체 지상국과의 교신 등 위성의 다양한 임무수

(

)

,

행을 위해 중요한 역할을 하는 위성용 안테나의 패턴 및 이득을 측정
하여 안테나 성능을 검증하는 중요한 기술임

급 위성용 부품의

QM

검증

Screening

의 미 자체 확보한

기술을 통해 부품의 우주 환경 적합성이 검증

(

)

Screening

될 수 있는지를 확인하기 위한 지표

중요성 위성용 부품은 여러

과정을 통해 요구되는 신뢰성 수준을

(

)

Screening

확보함 자체 기술로

된 부품에

의 환경 검증을

.

Screening

QM Unit

수행하여 부품

기술의 신뢰성을 확보함

,

Screening


background image

부문별  계획

 

경영성과계획서

2015~2017 

201

목표  설정  근거 타당성 및  평가방법

 

(

사업
구분

성과지표

최종목표

목표 도출근거

평가 검증 방법

(

)

분야

유형

지표명

출연금

수탁

+

기술

기술

혁신

능동형 안테나

공학인증모델

공학인증

모델

개발능력 확보

FM

해석 및 시험

용 우주 베어링 모듈

CMG
및 구동제어장치 실험모델

검증모델

모듈 및 구동장치

EM

기술 확보

시험

위성용 채널필터들의

삽입손실

이하

1.1dB

급 기술 확보

QM

해석 및 시험

극저온 블라워

0.5bar

세계최고수준

(0.5bar)

100%

시험

저주파 음향소스

140dB

세계최고수준

(148dB)

95%

시험

고주파 음향소스

138dB

세계최고수준

(140dB)

100%

시험

위성용 안테나 패턴

측정 기술

±0.5dB

세계최고수준

(±0.5dB)

100%

시험

급 위성용 부품의

QM

검증

Screening

검증모델

부품

을 위한

Screening

QM

기술 확보

시험

시제품

시제품 제작

3

안테나

모듈 구동장치

QM,

EM,

극저온 블라워 음향소스

,

제작결과

경제

시험

지원

중소기업 환경시험지원

45

위성체 부품 환경시험

중소기업 지원

시험지원 건수

과학

논문

표준화된

상위

IF

20%

논문

SCI

1

기관 핵심 성과지표와

최근

년간 실적 및

3

고유임무재정립 목표치 고려

상위

해당

IF

20%

논문 게재 실적

논문

SCI

5

논문 게재 실적

경제

기술료

기술이전특허

3

기술이전 특허

실적

기술료 수입

억원

1.55

기술료 계약 실적


background image

202

유사  해외  선진연구기관과  비교

 

주요 기술

기관명

기술 수준 및 주요내용

기술력

KARI

년도

2014
기술 수준

년도

2017
기술 목표

고속 자료전송용 위상배열

안테나 기술

NASA

미국

(

)

능동형 위상배열 안테나 기술
실용화

공학모델

비행모델

우주용 베어링 모듈 및

초정밀 구동 제어장치 제작

기술

NASA

미국

(

)

설계를 위한 휠 김벌 구동장치

CMG

/

,

베어링 타입 우주용 베어링 윤활유

,

사양 설계

세계최고수준

대비 10%

세계최고수준

대비 30%

우주급

수동소자

RF

규격도출 성능분석 및

,

인증체계 기술

ESA
유럽

(

)

채널필터 설계 성능분석 및 우주

인증기술 실용화

세계최고수준

대비 50%

세계최고수준

대비 90%

우주환경시험용 핵심 장비

국산화 개발 및 제작 기술

BNI

미국

(

)

극저온 블로워 국산화 설계 제작

,

및 상용화

세계최고수준

대비 30%

세계최고수준

대비 100%

Wyle

미국

(

음향 소스 국산화 설계 제작 및

,

상용화

세계최고수준

대비 30%

세계최고수준

대비 100%

위성 제품보증 표준개발 및

우주용 소재 부품 인증 체계

기술

ESA

유럽

(

)

- 우주용 부품 시스템 시험 규

체계 구축

구축 및 유지

QML/QPL

세계최고수준

대비 80%

세계최고수준

대비

이상

90%

성과활용  및  기대효과

(4) 

구분

주요 내용

성과활용

◦ 자료전송용 능동형 위성안테나는 후속 고정밀 다목적실용위성에 직접 활용이 가능함
◦ 우주용 베어링 모듈 및 초정밀 구동 제어장치 기술개발을 통한 중형위성의 기동성 향상을

위한 제어모멘트자이로에 활용 가능함

◦ 전략 부품의 국산화 검증 및 이를 통한 실용급 위성 탑재

◦ 위성용

부품 설계 제작 관련 우주인증 선진기술 확보 및 적용

RF

/

◦ 우주환경시험 핵심장비의 수출 상용화 및 향후 한국형발사체 대형위성 개발 필요 시

,

,

독자적으로 시설 확장 가능

◦ 위성체 개발시 제품보증 체계 적용 및 우주용 소재 부품 인증체계 적용으로 신뢰성 확보

◦ 위성체 우주환경시험 기술 확보를 통한 해외 의존도 탈피 및 수입대체 효과

기대효과

◦ 위상배열 안테나를 기반으로 하는 각종 위성기술 분야의 기술파급 및 고부가가치 위성안테나

산업기반 확충

◦ 위성제어에 필수적인 구동기 핵심기술 확보로 반작용휠 제어모멘트자이로 등의 우주분야

,

신산업 창출 교두보 확보

◦ 국제 경쟁력 있는 우주급

부품 개발 기술 확보 및 해외 위성용 부품 시장 참여 기틀 마련

RF

◦ 음향 가진 소스 극저온 블라워 국산화를 통한 우주환경시험장비 수출 토대 확보

,

◦ 해외 부품 인증 체계와의 연계를 통해 국내 부품 업체의 해외 우주 시장 진출 토대 마련

◦ 국내 산업체지원 확대를 통한 위성산업 경쟁력 확보


background image

부문별  계획

 

경영성과계획서

2015~2017 

203

전략목표  3

위성운영 및 위성정보 서비스 향상

기  본  방  향

목적

◦ 다목적실용위성 및 천리안위성 운영 후속위성의 운영을 위한 준비작업 수행 위성운영기술의

,

,

선진화 효율화 연구 지속

,

◦ 표준 영상 및 고부가 영상 지속적인 배포 다목적실용위성

호 검보정 완료 및 품질 확보 향상

,

3A

/

작업 수행 지속적으로 위성정보 활용 관련 문화 확산 및 국제협력 강화

,

◦ 우주자산과 충돌위험이 높은 인공우주물체를 집중적으로 관측하여 정밀궤도정보를 산출하고,

우주자산의 영상정보를 획득하며 충돌위험분석 및 우주물체 환경분석 기능을 구축 및 우주파편제거

,

지상시험모델 개발

필요성

◦ 위성을 운영하는 임무관제국은 국가의 핵심 기반시설로서 위성영상 자료가 원활하게 수신 처리

배포되어 활용될 수 있도록 위성이 임무를 안정적으로 수행할수 있도록 하며 지상 장비 및

,


시설에 대한 운영 및 유지 보수를 최적의 상태로 유지해야 함

◦ 과거에는 위성 영상 활용에 있어서 국가 수요가 많은 부분을 차지하고 있었지만 위성 정보 활용

증대에 따라 공공 및 민간 분야 수요가 증대되고 있음 위성 정보 서비스 향상을 통해 국가

.

,

공공기관 민간 분야 위성 활용 요구도를 만족시키고 새로운 부가 가치를 창출을 통해 국가 및

,

국민 편익 증진

◦ 지속적인 우주개발로 인하여 우주물체와 위성 발사체 등 우주자산과의 충돌위험 등 우주위험이

지속적으로 증가하고 있는 위험에 대비

추진방향

◦ 다목적실용위성 천리안위성의 안정적인 운영 이를 위한 숙련된 인력의 지속적인 유지와 교육

,

,

수행 위성운영업무 절차의 표준화 및 국제화 추진

,

◦ 위성정보 공급 및 활용 체계 고도화 지속적인 위성정보 서비스 제공 위성정보 활용 촉진 기반 확충

,

,

◦ 다목적실용위성 및 천리안위성 충돌위험 분석 및 충돌위험 회피 수행 미래부 우주물체감시시스템

,

개발사업 계획 수립 및 예타 지원 충돌위험감시시스템 핵심기술 연구 우주파편제거시스템

,

,

지상시험모델 개발

성과목표

성과지표 수 개

( )

3-1 공공 인프라형 효율적인 위성운영을 통한 국가개발 위성의 안정적인 운영 지속 출연금 수탁

[

]

(

+

)

6

3-2 공공 인프라형 위성 및 발사체 등 국가 우주자산의 안정적 운영을 위한 우주충돌감시 출연금

[

]

(

)

5

3-3 공공 인프라형 위성활용 증진을 위한 통합 플랫폼 구축 및 운영 출연금

[

]

(

)

6


background image

204

성과목표  3-1

공공

인프라형 효율적인 위성운영을 통한 국가개발위성의 

[

안정적인 운영 지속 출연금 수탁

(

+

주요내용

(1) 

성과목표  개요

 

◦ 개요 국가 출연기관에서 기 개발된 인공위성은 물론 향후 발사될 위성들의 안정적인 운영을 

(

지속하기  위한  지상  설비의  운영  및  인원에  대한  지속적인  교육과  훈련을  목표로  하고, 

위성운영  기술의  선진화  및  국제협력을  위한  지속적인  노력을  계속함

◦ 구성 안정적인  위성운영과  운영기술  선진화를  위해  다음과  같이  세가지  성과지표를  정함

(

– 다목적실용위성의  임무운영

– 천리안위성의  임무운영

– 위성운영기술의  선진화  및  국제화  지속

연구동향  및  필요성

 

◦ 국가에서  개발된  위성을  최종적으로  운영하는  임무관제국은  국가의  핵심  위성기반시설로서 

위성영상자료가 원활하게 수신 처리 배포되어 효율적으로 활용될 수 있도록 위성의 임무를 

안정적으로  수행하고  지상  장비  및  시설에  대한  운영  및  유지 보수를  최적의  상태로 

유지해야  함

추진방향

 

◦ 국가의  주요  자산인  다목적실용위성 

호와  천리안위성의  지속적인  정상운영을 

2,  3,  5,  3A

통해서  국내외  지구관측영상 기상영상  등의  안정적인  공급이  될  수  있도록  해야  함

◦ 위성의 안정적인 운영을 위하여 숙련된 인력의 지속적인 유지 교육 등을 계속적으로 수행하여야 

하며 위성운영업무  절차에  있어서도  표준화 국제화를  통해서  최적화해야할  필요  있음

◦ 현재까지  축적된  기술력을  바탕으로  위성  및  지상시스템의  성능감쇠에  의한  문제발생  시 

자체적으로  문제점을  분석하고  해결  방안을  제시해야  함

추진체계  및  절차

 

◦ 지상  장비  및  시설을  최적의  상태로  유지하여  효율성을  극대화  시키고  위성운영의  위험 

요인들을  최소화  시킬  수  있는  관련  소요기술의  확보  필요

◦ 핵심  기술  분야는  항공우주연구원  인력이  담당하고  일상적인  반복  업무에  대해서는  대행 

용역업체

의  지원을  받는  협조체제  구축  필요

(Outsourcing)

◦ 항우연  인력은  위성  운영에  대한  핵심  기술력  관리하고  전체적인  시스템  업무를  담당하며, 

아웃소싱  인력은  일상적으로  반복되는  위성운영을  담당함으로써  제한된  인력을  효율적으로 

활용하면서  운영  핵심기술을  확보할  수  있도록  함


background image

부문별  계획

 

경영성과계획서

2015~2017 

205

◦ 항우연  인력 및  아웃소싱  인력에 대한 체계적인 교육이나  세미나를  통해 개개인의 지속적인 

기술력  유지  및  향상을  도모함

위성운영업무 추진체계

<

>

전략목표와의  부합성

(2) 

전략목표

성과목표

전략목표와의 부합성

위성운영 및

위성정보

서비스 향상

효율적인

위성운영을 통한

국가개발위성의

안정적인 운영 지속

◦ 기술적 측면

- 위성 관제 기술력 진화
- 해외 지상국과의 교신 지원 경험을 축적하여 관제 접속 기술 확립

등과의 기술교류를 통한 국제적인 위성운영

NASA, ESOC

GSOC

기술 향상

- 위성운영 표준 기술에 대한 국내선도 기관 역할 수행
- 위성운영 기술에 대한 민간 기업 기술 이전


background image

206

성과지표  현황

(3) 

성과지표  및  지표별  목표

 

사업
구분

성과지표

실적

목표

장기목표

분야

유형

지표명

2012

2013

2014

2015

2016

2017

출연금

경제

운영

다목적실용위성

임무운영 성공률

95%

이상

95%

이상

95%

이상

96%

이상

97%

이상

98%

이상

다목적실용

위성 및

천리안위성

임무완수

수탁

천리안위성

임무운영 성공률

95%

이상

95%

이상

95%

이상

96%

이상

97%

이상

98%

이상

우주임무

누적시간

203

개월

243

개월

291

개월

347

개월

395

개월

443

개월

출연금

기술

사회

기술

개발

국제
협력

위성운영기술

선진화 및 국제화

지속

위성상태
자동분석

편대비행

설계

궤도

정밀도

10cm

가상화

기술개발

호기

3

현업

적용여부

국제우주

운영대회

항우연

대전

(

)

개최여부

해외

수신소

추가운영

여부

기관 핵심 성과지표 및 공통지표

과학

논문

논문 편

SCI

[ ]

2

2

2

0

0

0.5

경제

기술료

특허기술이전

* 건

[ ]

2

0

0

0

0

0

기술료 수입 억원

[

]

0.84

0

0

0.43

0.6

1

년 건의 실적만 있는 지표

* 2012

2

 

임무운영 성공률 위성 영상정보의 계획 대비 실제 획득한 건수 비율

:

국제우주운영대회 전 세계 우주전문기관들이 최신 우주기술 및 임무운영기술을 주제로 하는

:

국제회의임 격년 개최

년에 항우연 개최 예정

(

). 2016

(www.spaceops2016.org)

임무운영시간은 다목적실용위성 및 천리안 위성에 대한 임무 누적 시간 다목적실용위성

월부터

.

3A

4

운영 가정하고

년 이후 목표 설정 발사 일정에 따라 값이 변경될 수 있음

2015

.

.


background image

부문별  계획

 

경영성과계획서

2015~2017 

207

주요  성과지표의  의미  및  중요성

 

성과지표명

성과지표의 의미 및 중요성

다목적실용위성

임무운영

의 미 국가의 주요자산인 지구관측위성의 안정적인 운영 계속

(

)

중요성

(

)

국가의 핵심 인프라의 하나인 지구관측용 인공위성의 안정적인 운영을 위해

지상 시설을 관리하고 운영 인력의 지속적인 교육과 훈련을 실시함

천리안위성

임무운영

(

)

국가의 주요자산이자 대국민 기본 인프라인 정지궤도 통신해양기상위성의

안정적인 운영 계속

중요성

(

)

국가의 핵심 인프라의 하나인 기상 및 해양 관측 통신 임무를 수행하는

,

인공위성의 안정적인 운영을 위해 지상 시설을 관리하고 운영 인력의 지속적인

교육과 훈련을 실시함

우주임무 누적 시간

의 미

(

)

국가의 주요자산이자 위성의 운영 시간에 대한 누적 운영 시간 단위 개월

(

:

)

중요성

(

)

국가의 주요자산이자 위성을 임무 수명 기간 동안 운영하는 것은

항공우주연구원의 주요 임무임

위성운영기술

선진화 및 국제화

지속

의 미 위성운영 분야의 기술선진국과의 지속적인 협력과 기술연구 체제 확립

(

)

중요성

(

)

대표적인 미래 과학기술인 인공위성 운영기술을 향상시키고 선진 우주

기술국과의 격차를 줄이기 위한 지속적인 노력을 수행함

목표  설정  근거 타당성 및  평가방법

 

(

사업
구분

성과지표

최종목표

목표 도출근거

평가 검증 방법

(

)

분야

유형

지표명

출연금

수탁

+

경제

운영

다목적실용위성

임무운영 성공률

이상

98%

계획 대비 실제 성공한

임무 비율

성공률 달성 여부

천리안위성

임무운영 성공률

이상

98%

계획 대비 실제 성공한

임무 비율

성공률 달성 여부

우주임무 누적시간

년 기준

2017

개월

443

항공우주연구원이

운영 중인

다목적실용위성 및

천리안 위성 고려

위성 운영 누적
시간 달성 여부

기술

사회

기술개발

국제협력

위성운영기술

선진화 및 국제화

지속

해외수신소 추가

개발 및 참석자

명 이상의

300

운영관련 대규모

국제회의 항우연

개최

해외수신소 추가

개발로 위성운영 능력

확대 및

2016

국제우주운영대회를

대전에서 개최

신규해외수신소

운영 성공 및

대회개최 여부

과학

논문

논문

SCI

0.5

기관 핵심 성과지표와

최근

년간 실적 및

3

고유임무재정립

목표치 고려

논문 게재 실적

경제

기술료

기술료 수입

억원

2.03

기술료 계약 실적


background image

208

유사  해외  선진연구기관과  비교

 

주요 기술

기관명

기술 수준 및 주요내용

기술력

KARI

년도

2014
기술 수준

년도

2017
기술 목표

저궤도위성운영

ESOC

기 이상의 저궤도위성 동시 운영중

10

세계최고수준

대비 70%

세계최고수준

대비 90%

정지궤도

기상위성운영

NOAA

기 이상의 정지궤도 기상위성 동시

4

운영중

세계최고수준

대비 70%

세계최고수준

대비 90%

기술력 수준

국제 우주기술 표준

권고안 외 의 적용 정도를 우주 선진국과 비교

:

(CCSDS/WMO

)

(CCSDS:

Consultative Committee for Space Data Systems, WMO: World Meteorological Organization)

성과활용  및  기대효과

(4) 

구분

주요 내용

성과활용

◦ 위성 운영 체계를 고도화함으로써 국가소유 위성의 안정적인 운영을 지속하며

위성 영상의 체계적 공급 체계를 유지하고 고도의 위성운영기술을 확보함으로써

,

국가 위상 제고와 국민 자긍심 고취에 기여함

기대효과

◦ 안정적인 위성운영을 지속하고 기술연구를 증진함으로써 국민 편익 및 생활

향상에 기여


background image

부문별  계획

 

경영성과계획서

2015~2017 

209

성과목표  3-2

공공 인프라형 위성 및 발사체 등 국가 우주자산의 안정적 운영을 

[

위한 우주충돌감시 출연금

(

주요내용

(1) 

성과목표  개요

 

◦ 개요 우주개발로 증가 추세에 있는 우주물체와 연구원이 운영하고 있는 아리랑위성 및 천리안

(

위성의  충돌위험을  감시하고 미래창조과학부  우주위험대비  기본계획 의  충돌위험대비체계 

구축에  필요한  핵심기술  개발

◦ 구성 우주자산의  안정적  운영을  위한  충돌감시  성과목표  구성

(

– 우주물체감시레이더  모델링  및  시뮬레이터  기술 

달성도

TRL 

– 해외  우주위험감시기관과  국제협력  및  공동연구 

체결

MOU 

연구동향  및  필요성

 

◦ 우리나라는 우주위험에 대한 체계적 대응체계가 미비한 상황으로 이를 타개하기 위하여 정부는 

년  월  우주개발진흥법  개정을  통하여  우주위험대비기본계획  수립 을  명기함

년  월 

’14

5

(’14

5

국회  통과)

조 우주위험대비기본계획의 수립 등

15 (

)

정부는 우주공간에 있는 물체의 추락 충돌 등에 따른 위험에 대비하기

위하여

년마다 우주위험 대비에 관한 중장기 정책 목표 및 기본방향을 정하는 우주위험대비기본계획을 수립

10

하여야 한다.

◦ 우주위험을  대비하기  위하여  미래창조과학부는  우주위험대응기본계획 을  수립하고  연도별 

우주위험대비 시행계획 을 작성하여 수행내용을 관리하고 있으며 연구원은 우리나라 우주자산과 

우주물체  간의  충돌위험을  감시하는  임무를  담당하고  있음

◦ 우리나라 우주자산과 충돌위험이 높은 인공우주물체를 집중적으로 관측하여 정밀궤도정보를 

산출하고 우주자산의  영상정보를  획득하며 충돌위험분석  및  우주물체  환경분석  기능을 

수행하는  충돌위험감시시스템의  구축과  핵심기술연구가  필요함

◦ 점증하는 우주물체로 인한 충돌위험을 감소시키기 위하여 충돌위험이 높거나 충돌 시 우주환경을 

심각하게  오염시킬  가능성이  높은  우주파편을  능동적으로  제거하는  시스템의  개발이  필요함. 

항우연은  우주파편  경감  핵심기술  개발을  위하여  우주파편제거  지상시험모델을  개발  중임 

협동연구과제

(NAP 

)


background image

210

추진방향

 

◦ (우주물체감시레이더  모델링  및  시뮬레이터  기술 

달성

TRL 

)  우주파편  감시  및  정밀추적에 

필수  장비인  우주물체감시레이더  체계설계  및  성능검증 설계변경  영향성  분석을  위한 

기술  확보가  필요하며 이를  위하여  아래  요구도를  만족하는  레이더시뮬레이터를 

M&S

년까지  개발토록  함

‘17

– 레이더  체계  성능지표  산출  기능

– 레이더  구성  유닛  설계변경  및  성능지표  산출  기능 

– 레이더  운영환경  모의  기능

– 우주물체  모의  기능  인공우주물체 

개  이상

(

15,000

)

– 우주물체  궤도예측모델   

및 

적용 

SGP4 

HPOP 

(TBC)

– 탐지표적  크기 

직경 

원형물체  기준

:  > 

30cm  (

)

– 탐지거리 

최대 

1,500km

– 탐지거리  및  각도  분해능  :  <  5m,  <  0.01°

– 탐지확률  및  오경보율  :  95%(TBC),  <  10

-6  (TBC)

◦ 국제협력 

(

MOU)  우주위험감시  및  관련장비  개발역량을  보유한  해외  기관과  충돌위험감시 

핵심기술  공동개발과  관측자료  공동활용 

체결

MOU 

추진체계  및  절차

 

◦ 우주물체감시레이더  모델링  및  시뮬레이터  기술 

달성 우주물체감시레이더  체계설계 

(

TRL 

및  성능검증 설계변경  영향분서에  필요한  우주파편특성  및  동특성모사 레이더  체계  및 

신호특성  모델링 레이더  자원관리  모델링 레이더  운영모드  시뮬레이션 레이더  성능점검 

기능  등이  포함된  레이더시뮬레이터를  산 학 연  협력  하에  개발토록  함

ㆍ ㆍ

◦ 국제협력 

년도 중 우주위험감시 및 관련장비 개발방안을 협의한 독일 

(

MOU) ’14

프라운호펴레이더 

연구소  및  독일  우주운영기관  등과 

년  중  구체적인  협력방안을  협의하여 

’15

년  중 

를 

’16

MOU

체결토록  함


background image

부문별  계획

 

경영성과계획서

2015~2017 

211

전략목표와의  부합성

(2) 

전략목표

성과목표

전략목표와의 부합성

위성운영 및

위성정보

서비스 향상

위성 및

발사체 등

국가 우주자산의

안정적 운영을

위한

우주충돌감시

◦ 위성정보 및 위성서비스 향상이라는 전략적 목표는 안정적이고 중단 없는

위성정보 활용이 뒷받침되어야 가능함 이를 위하여 연구원이 운영

.

중인

위성시스템과 발사체의 충돌위험을 식별하고 필요 시 충돌회피기동을

,

수행할

수 있는 역량 확보가 필요함

◦ 미래창조과학부가 추진 중인 충돌위험감시시스템 의 성공적 구축을

'

'

위하여

우주물체감시레이더 개발의 핵심기술인 레이더시뮬레이터 개발이 요구됨

◦ 해외 우주감시 및 우주운영기관과

체결을 통하여 충돌위험감시의

MOU

국제협력 및 핵심기술 공동개발이 가능하며 이를 통한 우리나라 우주자산의

,

안정적 운영으로 위성정보 및 위성서비스 향상의 전략적 목표 달성

성과지표  현황

(3) 

성과지표  및  지표별  목표

 

사업
구분

성과지표

실적

목표

장기목표

분야

유형

지표명

2012

2013

2014

2015

2016

2017

출연금

기술

제품개발

우주물체감시

레이더 모델링

및 시뮬레이터

기술 TRL

달성도

3

4

6

우주물체감시

레이더

시뮬레이터

개발

사회

국제협력

우주물체감시

해외기관

체결 건

MOU

[ ]

1

기관 핵심 성과지표 및 공통지표

과학

논문

논문 편

SCI

[ ]

0

0

2

0

0

0.5

경제

기술료

기술이전특허 건

[ ]

0

0

1

2

2

2

기술료

수입

* 억원

[

]

0.18

0

0.1

0

0

0

창업

연구소기업

창업 포함 수

(

)

0

0

0

2

2

3

억원

억원은 실적만 있는 지표

* 2012

0.18

, 2014

0.1


background image

212

주요  성과지표의  의미  및  중요성

 

성과지표명

성과지표의 의미 및 중요성

우주물체감시

레이더 모델링 및

시뮬레이터 기술

달성도

TRL

(

미) 우주물체감시레이더 체계설계 및 성능검증에 소요되는

기술확보

M&S

중요성

(

)

우주물체감시레이더와 같은 대형 레이더 시스템의

기술은 체계개발을 위한

M&S

핵심기술임

기술이 확보되어야 체계요구규격 분석 및 체계설계 및

. M&S

성능분석 결과 확인 설계변경 영향성 분석이 가능함

,

체결

MOU

(

미 충돌위험대응 국제공조 및 우주물체감시레이더 핵심기술 공동개발

)

중요성

(

)

충돌 시 우주자산에 치명적인 영향을 주는 직경

이상의 우주물체는

10cm

저궤도상공에 대략

개가 존재하는 것으로 관측되며 이를

16,000 20,000

,

적절히 관측하기 위해서는 각국이 보유하고 있는 장비를 공동 활용하고,

관측결과를 상호 교환하는 국제협력 국제공조체계 필요

,

목표  설정  근거 타당성 및  평가방법

 

(

사업
구분

성과지표

최종목표

목표 도출근거

평가 검증 방법

(

)

분야

유형

지표명

출연금

기술

제품

개발

우주물체감시레이더

모델링 및

시뮬레이터 기술

달성도

TRL

TRL 6,

우주물체

감시레이더

시뮬레이터

시제품 개발

우주충돌감시용 레이더시스템 개발을

위한 핵심기술임

수준별

TRL

정의에 의한

기술수준 평가

사회

국제

협력

체결

MOU

1

우주감시국제협력은 관측자료 공유를

전제로 체결됨 국내 감시센서가 전문한

.

상황에서 독일 등 우호적인 기관과의

체결은 의미있는 목표임

MOU

서명된 MOU

문서

과학

논문

논문

SCI

0.5

기관 핵심 성과지표와

최근

년간 실적 및

3

고유임무재정립 목표치 고려

논문 게재 실적

경제

기술료

기술이전특허

6

기술이전 특허

실적

창업

연구소기업

창업 포함 수

(

)

7

연구소기업

창업 포함 실적

(

)


background image

부문별  계획

 

경영성과계획서

2015~2017 

213

유사  해외  선진연구기관과  비교

 

주요 기술

기관명

기술 수준 및 주요내용

기술력

KARI

년도

2014

기술수준

년도

2017

기술목표

레이더체계

모의 기술

독일

연구소

FHR

정밀추적영상레이더 능동위상배열레이더 개발에

,

필요한 레이더시뮬레이터 개발 및 사용

세계최고

수준

대비 60%

세계최고

수준

대비 60%

레이더통제부

모의 기술

독일

연구소

FHR

미국 Raytheon

미국 Mercury

레이더제어 및 자원관리를 위한 통제부 개발,

통제부 모델링 기술 보유

세계최고

수준

대비 70%

세계최고

수준

대비 80%

레이더

신호처리 기술

독일

연구소

FHR

미국 Raytheon

미국 Mercury

레이더 수신신호처리 및

영상생성을 위한

ISAR

신호처리부 개발

세계최고

수준

대비 70%

세계최고

수준

대비 80%

우주물체
정밀궤도

추정 기술

미합동우주

운영센터
(JSpOC)

독일

연구소

FHR

유럽우주청

충돌위험분석에 필요한 정밀궤도추정 기술

세계최고

수준

대비 60%

세계최고

수준

대비 70%

성과활용  및  기대효과

(4) 

구분

주요 내용

성과활용

◦ 우주자산 안정적 운영으로 원격탐사 위성정보 우주개발 산업 활용

,

,

◦ 초장거리 탐지 추적레이더 핵심기술 확보로 국내 유사체계 개발 활용

/

◦ 우주파편제거시스템은 우주정거장 및 우주탐사선의 랑데부 도킹 시스템 개발에 활용

/

기대효과

◦ 레이더시뮬레이터 개발 기술 확보를 위하여 학계 전문인력 활용
◦ 레이더 구성품 개발과 산업체 육성을 통한 국내 산업체 역량 증대

◦ 핵심기술 해외 공동개발을 통한 관측자료 분석 및 활용범위 확대


background image

214

성과목표  3-3

공공

인프라형 위성활용 증진을 위한 통합 플랫폼 구축 및 

[

운영 출연금

(

주요내용

(1) 

성과목표  개요

 

◦ 개요 한국항공우주연구원이 개발하여 운영하고 있는 다목적실용위성  호 및 다목적실용위성 

(

2

호 

3

광학  위성과  다목적실용위성  호 

위성  자료를  처리하여  생성된  위성  영상의  활용도를 

5

SAR 

증진하기  위하여  통합  플랫폼을  구축하고  이를  운영하여  공공  및  민간  편익  증대

◦ 구성 위성  활용  증진을  위한  성과  내용은  다음과  같이  구성

(

– 다양한 사용자들이 다양한 분야에서 활용하여 새로운 가치를 창출할 수 있도록 통합 플랫폼 

구축

년도  발사  예정인  다목적실용위성

호에  대한  검보정  완료  및  품질  확보 향상  수행

2015

3A

/

– 다목적실용위성 영상에 대한 국민 이해 및 편익 증진을 위한 문화 확산 및 국제 협력 수행

통합  플랫폼

다목적실용위성 천리안위성  및  후속  개발위성으로부터  획득된  국가 

*  ‘

’: 

위성정보 를  사용자에게  적극  개방 하고  사용자가  이를  응용 할  수  있도록  지원하는 

효과적인 정보  유통 활용  창구

 

위성정보 통합플랫폼 운용 체계

(

)


background image

부문별  계획

 

경영성과계획서

2015~2017 

215

연구동향  및  필요성

 

◦ 세계  주요국은  국가  안보수요  위주의  정부  주도  위성개발  단계를  넘어  민간의  상용위성 

개발 운용 시대에 진입 이를 통해 다양한 산업영역에서 위성정보를 활용한 새로운 부가가치 

창출과  기존  사업방식의  효율화를  추구하고  있음

◦ 위성은  정보의  활용  여하에  따라  공공  민간부문에서  개발비용을  능가하는  막대한  효용을 

창출할  수  있는  바 우리도  다가올  다중위성시대에  대비 국가  위성정보의  통합적 체계적 

관리  및  활용방안을  전략적으로  마련할  필요가  있음

◦ 국가  위성정보  활용체계  고도화를  통한  국민편익  제고와  우주분야  창조산업  육성에  기여  필요

추진방향

 

◦ 국가  위성영상의  공공  분야와  민간  분야  활용  증진을  위해  시스템  개발  및  운영

◦ 사용자  수요  및  요구를  고려하여  시스템  수정  보완  및  운영  체계  수정  및  보완

◦ 국가 위성영상의  원활한 배급 및 공급망 구축으로 고해상도 위성영상에 대한  민간의 활용을 

최대한  지원

– 개방지향 시장지향 수요지향

– 플랫폼  구축  및  지속적인  위성정보의  보급  및  갱신  추진

기본  방향 

>

개방지향 위성정보  접근성  강화  및  정보간  융복합을  통한  시너지  효과  극대화

(

◈ 

시장지향 민간  개발영역인  최종서비스  제공이  아닌 공공 민간의  다양한  서비스 

(

·

◈ 

개발을  지원하기  위한  자원공급  역할

수요지향

(

◈ 

사용자  필요  정보  중점  공급  및  사용환경  편의성  확보

추진체계  및  절차

 

◦ 공공  분야  영상  공급

– 정부기관 산하기관 지방자치  단체  등의  공공  기관에  대한  표준  영상  및  고부가  영상 

지속적인  공급

– 정부기관 기재부 통일부 외교부 산업부 국토부 환경부 해수부 농식품부 통계청

(

소방방재청

문화재청

산림청

해양경비안전본부

원자력안전위원회  등

산하기관

), 

국가기상위성센터

감사연구원

질병관리본부

국토지리정보원

국립해양조사원

국립재난안전연구원 국립수산과학원

국립환경과학원 국립산림과학원 국립농업과학원 

,   

등 과  협력하여  위성  정보  활용  증진

)


background image

216

◦ 위성정보  통합플랫폼  구축

– 다목적실용위성 호 사용자지원체계 구축 및 운영 경험

2

을 통해 확보한 기술 웹 기반 위성영상 

(

검색 표출  및  주문관리  기술 결과  활용

– 최신  웹  표준  및 

기술을  적극  활용한  국가  위성영상의  원활한  공급망  구축

IT 

– 위성정보별  부가정보 활용사례 관련  기술정보  등 및  시계열 융복합  정보  등  신규서비스 

(

·

개발에  기여  가능한  정보  중점  제공

단계

추진 내용

단계

1

(2015)

위성정보

유통시스템 구축

one-stop

사용자 친화적 직관적 위성정보 검색 및 표출 인터페이스 구현

-

·

다양한 위성정보와의 연계성 확보를 위한 통합

설계 및 시범 구축

-

DB

단계 시범 운영 착수

- 1

단계

2

(2016~2017)

다중위성시대를 대비한 융 복합형 통합플랫폼 고도화

국내 외 가용 위성정보의 통합 수신 관리 인프라 고도화

-

각 위성정보 활용센터와 유기적 연계시스템 구축 위성정보 유통 포맷 표준화

-

(

)

신규 정지궤도위성 차세대중형위성이 발사되는

년을 대비 통합플랫폼 중심의

,

’18

,

국가 위성정보 관리 활용체제 구축

·

전략목표와의  부합성

(2) 

전략목표

성과목표

전략목표와의 부합성

위성운영 및

위성정보

서비스 향상

위성활용 증진을 위한

통합 플랫폼 구축 및

운영

◦ 위성정보 활용 종합계획

*

대 중점 추진과제 중 하나로 국가 주요

8

,

공공재인 위성정보의 연계 통합 및 국내 사용자 대상 유통 활용

창구인 위성정보 통합플랫폼 구축 필요 국가우주위원회

(*

, ‘14.5)

◦ 위성정보 활용도 확대 및 국민 편익 증대를 위해 공공 민간이

,

·

쉽게 접근 가능한 일원화된 정보 검색 창구 제공은 필연적임.

◦ 사용자 접근성 강화 및 지속적인 시스템 운영에 적합한 오픈 소스

기반 기술 채용으로 공공 정부

정책 지원에 기여 가능

3.0

◦ 고품질의 영상 생성 표준 영상 및 고부가 영상 제공 위성 영상

,

,

활용 지원 등을 통해 사용자 만족도 증진


background image

부문별  계획

 

경영성과계획서

2015~2017 

217

성과지표  현황

(3) 

성과지표  및  지표별  목표

 

사업
구분

성과지표

실적

목표

장기목표

분야

유형

지표명

2012

2013

2014

2015

2016

2017


기술

기술
개발

운영

호 검보정 및

3A

품질 향상을 통한

향상

MTF

GSD

검보정

준비

검보정

준비

검보정

준비

검보정

수행 후,

MTF

이상

8%

영상품질

지표 완성

MTF=

이상

15%

영상품질

향상항목

정의 수행

/

GSD=

0.4m

경제

운영

위성정보서비스

정부기관대상

(

배포 영상)

5,875

3,011

5,764

4,500

5,000

5,500

위성정보

통합 플랫폼 구축을

통한 사용자

만족도[%]

*

-

-

이상

80

이상

82

이상

84

이상

85

사용자

지원

운영체계

강화 등을

통한 사용자

만족도 유지

사회

지원

문화 확산 및

국제 협력

영상

전시회,

차터

주관
기관

수행

영상

전시회

문화확산

행사

3

이상,

차터

ECO

수행

영상

전시회

문화확산

산행사

4

이상,

차터

ECO

수행

영상

전시회

문화확산

산행사

5

이상,

차터

ECO

수행

기관 핵심 성과지표 및 공통지표

과학

논문

표준화된

상위

IF

20%

논문 편

SCI

[ ]

1

2

1

1

1

1

논문 편

SCI

[ ]

8

5

3

8

8

7

경제 기술료

기술이전특허

** 건

[ ]

0

0

1

0

0

0

기술료 수입

*** 억원

[

]

0.18

0

0

0

0

0

다목적실용위성 위성영상 기준 국내 활용 민간 기관 사용자 대상의 사용자 만족도 조사 수행

*

/

년 건의 실적만 있는 지표

** 2014

1

억원의 실적만 있는 지표

*** 2012

0.18


background image

218

주요  성과지표의  의미  및  중요성

 

목표  설정  근거 타당성 및  평가방법

 

(

사업
구분

성과지표

최종목표

목표 도출근거

평가 검증 방법

(

)

분야

유형

지표명

출연금

기술

기술개발

및 운영

호 검보정 및

3A

품질 향상

검보정 결과

MTF 8% 15%

GSD 0.55m→

0.4m

호 발사 후

2015

3A

검보정 작업 완료 후,

영상자료 품질 확보 및

향상을 통한 사용자

활용 지원

호 검보정 완료

3A

후 품질 지표에 따른

,

품질 확보 및 향상

작업 수행 결과

경제

운영

위성정보서비스

정부기관 대상

(

배포영상)

년 기준

2017

장 이상

5,500

위성정보활용을 위한

기본 업무임

표준 영상 및 고부가

영상 배포 수

위성정보

통합 플랫폼
구축을 통한
사용자 만족도

이상

85%

위성정보 활용 정책 및
사용자 지원 서비스의
문제점 진단을 통한 현황
점검 및 개선방향 설정

다목적실용위성 위성
영상 국내 위성정보 활용
민간 기관 사용자를

/

대상으로 외부 전문
기관을 통한 조사 수행

사회

지원

문화 확산 및

국제 협력

문화확산행사

5

차터

수행

ECO

위성정보 활용 증진을

위해 대국민 홍보 및

협력 필요

문화 확산 행사 수 및

국제 협력 여부

과학

논문

표준화된

상위

IF

20%

논문

SCI

3

기관 핵심 성과지표와

최근

년간 실적 및

3

고유임무재정립

목표치 고려

상위

해당

IF

20%

논문 게재 실적

논문

SCI

23

논문 게재 실적

성과지표명

성과지표의 의미 및 중요성

위성정보

통합 플랫폼 구축을 통한

사용자 만족도

(

미 다양한 국가 위성정보의 공개 공유 체계인 통합 플랫폼 활용을 통한

)

국내 위성정보 사용자의 만족도 조사

중요성

(

)

위성정보 사용자 만족도 조사를 통해 관련 정책 및 제공 서비스
기능의 문제점을 파악하고 개선 방안을 마련하여 국가 위성정보
서비스의 품질 향상 도모 외부 전문기관에 의뢰하여 조사의 신뢰성과

.

객관성 확보

호 검보정 및 품질 향상

3A

(

미 사용자 활용 용도에 맞는 위성 영상자료 품질의 확보 유지관리를 위한

)

/

검보정 및 품질 향상

중요성

(

)

위성

영상자료

검보정을

통해

위성

영상자료의

품질을

확보 향상함으로써 위성 영상자료의 활용을 증진할 수 있음

/

.

위성정보서비스

정부기관 대상

(

배포 영상)

(

미) 정부기관 대상 배포하는 표준 및 고부가 영상 수. 표준 영상은 위성

자료를 수신처리하여 생성되는 표준 제품이며 고부가

,

영상은 정사영상

및 모자이크 영상 등을 의미

중요성

(

)

사용자가 직접 활용 할 수 있는 형태로 위성 영상을 처리하여

사용자에게 제공

문화 확산 및 국제 협력

(

미 위성 정보에 대한 다양한 접근 및 체감 기회 제공

)

중요성 사용자 계층 확대를 통해 국가사회의 위성정보 활용 촉진 유도

(

)


background image

부문별  계획

 

경영성과계획서

2015~2017 

219

유사  해외  선진연구기관과  비교

 

주요 기술

기관명

기술 수준 및 주요내용

기술력

KARI

년도

2014

기술 수준

년도

2017
기술 목표

통합 플랫폼

USGS,

NOAA

◦ 미국 유럽등은 자국의 다양한 위성정보 기반 통합

,

플랫폼을 구축하여 공공 상용 분야 활용

◦ 미국은

의 통합

GIOVIS(USGS), NESDIS(NOAA)

자료관리 체계를 통해 일반을 대상으로 한 접근성을

강화하고 지속적으로 다양한 위성정보를 보급하기

위한 서비스의 개발 및 제공중임

세계최고수준

대비 50%

세계최고수준

대비 70%

표준 및

고부가

영상 생성

DigitalGlobe,

Satellite

image

◦ 선진국의 상용 업체들은 정사영상

모자이크

,

영상 등 고부가 영상을 생성하여 영상 가치 및

활용을 증진하고 있음

세계최고수준

대비 55%

세계최고수준

대비 70%

검보정 및

영상 품질

향상

NASA, USGS,

CNES

◦ 인원 비율 항우연 대비

:

1.5

◦ 베타사용자 그룹 항우연 대비

배 이상

:

2

◦ 영상자료 품질 지표 및 값 약

:

1.2

◦ 품질 관련 영상자료 활용도 및 체계 약

:

1.5

세계최고수준

대비 55%

세계최고수준

대비 70%

성과활용  및  기대효과

(4) 

구분

주요 내용

성과활용

◦ 위성 정보 공급 체계를 고도화함으로써 국가수요의 고해상도 위성영상 공급뿐만 아니라

민간 분야에 고해상도 위성 영상을 체계적으로 공급

◦ 위성영상자료를 이용한 전지구 문제 해결에 동참함으로써 국가 위상 및 국민 자긍심 고취

◦ 공급자 중심에서 탈피 사용자 중심의 쉽고 빠르고 편리한 위성정보 활용 서비스 제공

,

,

,

◦ 일원화된 위성정보 검색 활용 서비스 제공 및 정부

공공데이터 정책 지원 체계로 활용

3.0

기대효과

◦ 위성 정보 활용을 증진함으로써 국민 편익 및 안전에 기여

◦ 일원화된 위성정보 검색 활용 서비스 기반을 통한 활용 촉진 및 민간 수요 창출 기여

◦ 위성영상 활용 및 타분야와의 융복합 활용을 통한 신산업 모델 개척 및 신규 산업 분야

창출 기여

◦ 국가 우주개발 성과물인 위성정보의 공개 공유 체계 마련을 통한 우주개발의 당위성 확보

및 국민의 자긍심 고취에 기여


background image

220

전략목표  4

발사체 자력개발 및 인프라 확충

 

기  본  방  향

목적

◦ 발사체 설계 제작 시험 조립 발사운영 등 전 과정을 국내 주도 개발 산업체의 참여

,

범위를 확대하여 관련 산업 육성 및 우주산업 인프라 구축

◦ 우주활동 영역 확대 및 다양한 우주임무를 수행할 수 있는 대형 발사체 개발을 위한 핵심기술 연구

◦ 저궤도 실용위성 발사를 위한 우주센터 시설확충과 지원장비 성능 보완 개선 및 발사대 구축

필요성

◦ 세계적으로 위성발사 과학탐구 등에 따른 우주개발 수요 증가와 우주개발 계획의 독자적인

,

수행 등을 위하여 우주기술에 대한 주도권 확보 필요

◦ 미래 발사체 시장에서의 경쟁력 확보를 위하여 발사체 구조물 경량화 기술 다단연소사이클

,

엔진 기술 등 핵심 기술 확보 필요

◦ 나로우주센터에 한국형발사체 실용위성급 발사장 구축을 통해 외화 절감 및 세계 위성발사

(

)

시장 진출의 교두보 확보 또한 위성발사체 추적과 발사통제 자료처리 능력을 보강함으로써

,

국내 자력발사능력 확보

추진방향

◦ 나로호 개발 및 운용 경험을 통해 확보한 기술 시스템 기술 상단 요소기술 과 선행연구

톤급

(

,

)

(30

액체엔진 추진제탱크 결과를 바탕으로 국내 주도의 한국형발사체 개발 추진 국내에 기술과

,

)

,

경험이 없는 일부 요소기술은 국제 협력을 통해 습득

   

성과목표

성과지표 수 개

( )

4-1 공공 인프라형 한국형발사체 자력개발 추진 수탁

[

]

(

)

8

4-2 공공 인프라형 발사체 핵심기술 확보 추진 출연금

[

]

(

)

11

4-3 공공 인프라형 한국형발사체 발사 인프라 구축 출연금

[

]

(

)

3


background image

부문별  계획

 

경영성과계획서

2015~2017 

221

성과목표  4-1

공공

인프라형 한국형발사체 자력개발 추진 수탁

[

(

주요내용

(1) 

성과목표  개요

 

◦ 개요

톤급  실용위성을  지구저궤도

에  투입할  수  있는  발사체  개발  및 

(

)  1.5

(600km~800km)

우주발사체  기술확보

◦ 구성 한국형발사체  개발  및  우주발사체  기술  확보

(

– 발사체  설계 제작 시험평가  및  시험발사를  통한  발사체  기술  실증

– 톤급  및 

톤급  액체엔진  설계 제작 시험평가  실시

7

75

– 추진기관  시험설비  구축을  통한  엔진  및  추진기관  시험  인프라  확보

연구동향  및  필요성

 

◦ 세계적으로  위성발사 과학탐구  등에  따른 우주개발  수요  증가와  우주개발 계획의  독자적인 

수행  등을  위하여  우주기술에  대한  주도권  확보  필요

– 세계적으로  저궤도  및  정지궤도  위성에  대한  활용  수요가  증가하고  있으며 우리나라도 

지속적으로  다양한  위성을  발사할  계획임

– 우주기술은  국가  안보  및  전략  기술인  동시에  방송통신 기상관측 영상정보 재난대응  등 

국민  생활과  밀접한  분야로서 독자적인  국가  우주개발  계획  추진을  위하여  발사체  기술 

확보가  필수적임

◦ 전략적 안보적  차원의  주도권  확보  필요

– 한반도 주변 국가들 미 중 일 러 북 이 우주발사체 기술을 보유하고 있으므로 전략적

(

)

ㆍ ㆍ ㆍ ㆍ

안보적  차원에서  발사체  기술  조기  확보가  시급함

– 독자적인  우주  발사체를  보유하지  못할  경우 독자적인  우주개발  추진  곤란

◦ 우주개발을  위한  국가간  경쟁  및  협력  확대

– 선진국들은  우주개발에  대한 적극적인 투자  확대로 

대비 우주예산 비율 국민  인당 

GDP 

1

우주예산  등에  있어  격차가  확대되고  있음

– 우주개발  선진국은  유인  우주개발 단독  우주정거장  건설  등을  추진

◦ 우주산업  육성을  통한  수출  산업화  추진

– 우주발사체 수요 증가에 따라 발사체 선진국은 저비용 고효율 발사체를 개발하고 민간기업을 

육성하여 발사서비스  시장  진출을  도모하고  있음

※ 미국

러시아

등 선진국에서는

(Space X, Oribital Science),

(Khrunichev),

(MHI), EU(Arianespace)

발사서비스 민영화 단계로 기 진입


background image

222

– 한국형발사체 조기개발 후 발사체  실용화  추진을  통한 국내 위성발사 달  탐사  등을  통해 

발사체의  신뢰도를  제고하고 개량을  통해  경쟁력을  확보함으로써 우주산업  생태계  조성 

및  수출  산업화  추진  필요

우주개발  중장기  계획  우주발사체  분야

<

>

추진체계  및  절차

 

◦ 나로호  개발  및  운용  경험을  통해  확보한  기술 시스템  기술 상단  요소기술 과  선행연구

톤급 

(

)

(30

액체엔진 추진제탱크 결과  활용

◦ 고추력

톤급 액체엔진 및 추진기관 개발 기술은 설계 제작 시험 인증 등 전 과정을 국내 

(75

기술  주도로  수행

◦ 산업체  조기  참여  확대를  통한  산업체  기술  역량  강화  및  우주산업  육성  기반  조성

◦ 일부  미확보  요소  기술의  경우 국제  협력을  통한  기술  습득


background image

부문별  계획

 

경영성과계획서

2015~2017 

223

단계

산업체의 역할

개념 시스템설계

/

예비설계

사업단 항 과 산업체 참여 공동설계

( )

상세설계

분야별 산업체 참여 공동설계

제작 조립

H/W

/

산업체가 주도적으로 업무 수행

시험

H/W

사업단 항 과 공동으로 업무 수행

( )

발사 운영

사업단 항 과 산업체 지원 공동으로 업무 수행

( )

(

)

한국형발사체 개발 추진체계

<

>

한국형발사체 요소기술 분석 결과

<

*>

한국형발사체 요소기술 대분류

(

)

요소기술 합계

미확보 요소기술

발사체시스템 설계 종합 운용부

/

/

6

0

기체구조부

39

0

추진기관 설계 종합 운용

/

/

14

5

액체추진기관 추진제 공급부

23

9

추진기관 종합 시험설비

4

2

엔진시스템부

58

5

추력벡터 자세제어부

/

20

0

임무설계 및 제어부

19

0

전자 탑재부

19

2

열공력 제어부

21

3

발사장 설비수

7

0

합계

230

26

한국형발사체 개발사업

년도 예비타당성조사보고서

*

2009

(P.146)


background image

224

전략목표와의  부합성

(2) 

전략목표

성과목표

전략목표와의 부합성

발사체

자력개발 및

인프라 확충

한국형발사체

자력개발 추진

◦ 발사체 기술은

등으로 인하여 국가간 기술이전이 제한적으로

MTCR

,

국내 주도의 기술로 발사체 개발이 필연적임

◦ 나로호 개발의 경험과 기술을 바탕으로 지난

년부터 한국형발사체

2010

개발사업을 추진하고 있음

◦ 한국형발사체 개발사업은

톤급 실용위성을 지구 저궤도에 투입할 수

1.5

있는 우주발사체를 개발하고 이를 통해 우주발사체 기술을 확보하는

,

것을 목표로 추진하고 있으므로 전략목표 발사체 자력개발 능력 확보 와

,

(

)

부합되는 성과 목표임

성과지표  현황

(3) 

성과지표  및  지표별  목표

 

사업
구분

성과지표

실적

목표

장기목표

분야

유형

지표명

2012

2013

2014

2015

2016

2017

수탁

기술

기술
혁신

한국형발사체

주요

CTE

TRL

*달성도

3.24

(2)

4.45

(3)

4.79

(3)

5.48

(4)

6.09

(5)

6.61

(6)

8.00(2020)

단형 시험발사체

2

진척율

**, ***

시스템

설계

예비
설계

예비
설계

7 ,

75

엔진
시험
착수

7 ,

75

엔진
시험

7 ,

75

엔진
시험

-

상세

설계,

PSM

조립
착수

PSM

조립/

시험,

EM

조립/

시험

EM

시험,

QM

조립/

시험,

FM

조립/

발사

한국형발사체
개발지수[%]

33

41

50

58

66

75

100(2020)

경제

기술
활용
효과

발사체 관련

기업육성실적

****[%]

85.5

88.1

83.9

83.9

83.9

83.9

총 예산 중

기업집행실적

이상

83%

기관 핵심 성과지표 및 공통지표

과학

논문

표준화된

상위

IF

20%

논문 편

SCI

[ ]

3

3

7

5

5

5

논문 편

SCI

[ ]

15

17

26

21

21

21

경제

기술료

기술이전특허 건

[ ]

2

3

0

3

3

3

기술료 수입 억원

[

]

0.04

1.17

2.47

3.18

3.6

4.2

단계로 구분되나 연차별 향상도 평가를 위해

의 평균으로 산정 국정과제평가

* TRL

1~9

,

33

CTE

(

)

개 중 가장

이 낮은 기술의

( ) CTE 33

TRL

TRL

** PSM(Propulsion System Model), EM(Engineering Model), QM(Qualification Model), FM(Flight Model)
***

조립

시험

조립

시험

조립

발사운용

EM

(’16.7~11), EM

(’16.12~’17.5), QM

(’17.1~5), QM

(’17.6~8), FM

(’17.4~9),

(’17.10~12)

기업 육성 실적은 당해 연도 전체 정부 예산 중 기업 집행 실적의 비율로 산정

****


background image

부문별  계획

 

경영성과계획서

2015~2017 

225

수준별 정의

<TRL(Technology Readiness Level)

>

TRL 1

응용 및 개발을 위한 기초 원리가 확인 보고된 단계

,

TRL 2

기술적 개념 및 응용성이 확인된 단계

TRL 3

수치적 실험적으로 기술개념의 주요 기능 특성이 입증된 단계

,

/

TRL 4

구성품

에 대한 실험실 수준의 성능 입증 단계

/Breadboard

TRL 5

구성품

의 성능이 유사환경에서 입증된 단계

/Breadboard

TRL 6

시스템 서브시스템 모델 또는 시제품이 유사환경에서 시현 및 검증된 단계

/

TRL 7

시스템 시제품

이 우주 환경 운용환경 에서 시현된 단계

(Prototype)

(

)

TRL 8

실제 시스템 성능이 운용환경에서 입증 및 인증된 단계(Flight Qualified)

TRL 9

실제 시스템의 운용 능력이 임무환경에서 입증된 단계(Flight Proven)

한국형발사체 주요

리스트

<

CTE

*>

번호

중분류

CTE(Critical Technology Element)

1

체계기술

유도 알고리듬 설계

2

관성항법유도시스템 항법 성능

3

액체추진시스템

산화제 공급계 배관 조합체

4

PSD(POGO Suppression Device)

5

추진제 탱크 가압계 밸브류

6

추진 공급계 센서류

7

제어

연료 유압식

구동기

-

TVC(Thrust Vector Control)

8

전기 기계식

구동기

-

TVC(Thrust Vector Control)

9

단 롤제어 구동장치 구동기

2

10

추력기 자세제어시스템 추력기 및 밸브류

11

위성항법수신기

12

전자

데이터 부호화 장치

13

영상 처리 장치

14

전력 분배 장치

15

열제어 및 공력설계

산화제탱크 열차단

16

구조

동체

17

추진제탱크

18

페이로드 페어링

19

톤급 엔진

75

연소기 헤드 및 연소실

20

연소기 확대 노즐

21

산화제 펌프

22

연료 펌프

23

산화제 개폐밸브

CC(Combustion Chamber)

24

고압 유연 배관

25

톤급 엔진

7

엔진

부품

SA(System Assembly)

26

연소기 헤드 및 연소실

27

유량 제어 밸브

28

파이로 시동기

29

발사대 시스템

발사체 고정 및 발사 시 분리장치

,

30

동시이탈 연료 산화제 및 고압가스 공급장치

,

31

추진기관 시험설비

대형 추진기관 클러스터링 엔진 구조물 고정 및 시험

32

대형 추진기관 화염 유도로 장치

33

엔진 고공 모사 시험 기술

년도 한국형발사체

평가보고서

* 2014

TRL


background image

226

한국형발사체 단계별 개발 계획

<

>

단계

사업기간

주요 개발 내역

단계

1

발사체 시스템 설계 및 예비 설계

발사체 및 액체엔진 시스템 설계 및 예비 설계

-

발사체 시스템 구성품 설계 제작 및 시험평가

-

,

톤 및

톤 엔진 구성품 설계 제작 및 시험평가

- 7

75

,

톤 및

톤 엔진시스템 총조립 및 연소시험 착수

- 7

75

추진기관 시험설비

종 구축 완료

-

9

단계

2

톤 액체엔진 성능 검증을 위한 시험발사체 발사

75

톤 액체엔진

기를 활용한

단형 시험발사체

- 75

1

2

1

시험 발사 운용

(’17. 12 )

톤급 액체엔진 성능 검증을 통한

단형 발사체 개발 기반 확보

- 75

3

단계 진입

3

단계

3

단형 발사체 발사

3

톤 액체엔진

기 클러스터링 기술 개발

- 75

4

단형 발사체

회 시험 발사 운용을 통한 우주

- 3

2

발사체 개발 기술 확보

(’19. 12 , ’20. 6 )


background image

부문별  계획

 

경영성과계획서

2015~2017 

227

시험발사체 주요 시험 항목 리스트 안

<

( )

*>

구 분

주요 시험 항목

PSM

추진기관시스템모델

(

)

서브시스템 기능 시험

연료 산화제 충전 배출 시험

/

,

연료 산화제 시스템 수류 시험

/

,

동시 충전 배출 시험 등

전장품 종합 기능 시험

기밀 시험

종합 수류 시험

EM

엔지니어링모델

(

)

서브시스템 기능 시험

수류 시험 점화 시험

,

, Short Duration,

Full Duration without TVC,

Full Duration with TVC,

전장품 종합 기능 시험 진공 시험

,

,

전자파 시험 진동 시험 음향 시험

,

,

,

기밀 시험

측정 무게측정

, Alignment

,

열청정 제어 검증 비행 시퀀스 시험

,

,

모달 시험 등

전장품 종합 기능 시험

기밀 시험

환경 시험

통합 시뮬레이션 시험

종합 연소 시험

비행 시퀀스 시험

발사대 인터페이스 검증 시험

모달 시험

QM

인증모델

(

)

서브시스템 기능 시험

전장품 종합 기능 시험

기밀 시험

환경 시험

통합 시뮬레이션 시험

비행 시퀀스 시험

발사대 인증 시험

FM

비행모델

(

)

서브시스템 기능 시험

전장품 종합 기능 시험

기밀 시험

환경 시험

통합 시뮬레이션 시험

비행 시퀀스 시험

비행 시험

시험발사체 주요 시험 항목 리스트는 엔진 및 서브시스템 예비설계 검토회의

월 기준이며 조정될 수 있음

*

(’14.12 )

,


background image

228

한국형발사체 개발지수

<

*>

구분

세부 구분

2014

2015

2016

2017

2018

2019

2020

개발

진척율

(50%)

일정(50%)

40

45

60

80

85

97.5

100

예산(50%)

25

39

52

63

80

93

100

개발 진척율(%)

33

42

56

72

83

95

100

발사체

기술수준

(30%)

최저 기술수준

3

4

5

6

6

7

8

기술수준 진척율(%)

38

50

63

75

75

88

100

연차평가
(20%)

연차평가 목표치

달성율(%)

100

100

100

100

100

100

100

한국형발사체 개발지수(%)

50

58

66

75

85

94

100

한국항공우주연구원 고유임무 재정립 검토 결과

월 국가과학기술이사회 의결

*

(2014. 7 ,

)

주요  성과지표의  의미  및  중요성

 

성과지표명

성과지표의 의미 및 중요성

한국형발사체

주요

CTE

TRL

*

달성도

(

미) 한국형발사체 개발에 필요한 주요

개에

CTE(Critical Technology Element) 33

대한

향상 정도

TRL(Technology Readiness Level)

중요성

(

)

한국형발사체 개발사업 추진에 따른

달성 정도 평가를 통해 발사체 자력개발을

TRL

위한 기술 향상 정도 평가 매년 외부 점검단의

달성도 평가를 통한 객관성 확보

,

TRL

단형 시험발사체

2

진척율

(

미) 한국형발사체 개발과 관련하여

톤급 액체엔진의 성능을 비행시험을 통해

75

검증하기 위한

단형 시험발사체 개발의 진행 정도

2

중요성

(

)

단형 시험발사체 개발 및 발사를 위한 연차별 주요 목표 관리를 통하여

2
시험발사체 발사를 성공적으로 추진하고

이를 토대로 한국형 발사체 개발

,

사업을 성공적으로 완수하기 위한 기반 확보

한국형발사체

개발지수

(

미) 한국형발사체 개발과 관련하여 개발 일정 예산 집행 연차 평가 등을 고려한

,

,

한국형발사체 개발사업의 진행 정도

중요성

(

)

개발 일정 예산 평가 결과 등 사업 추진에 영향을 미치는 주요 요소를 복합적으로

,

,

고려하여 사업 진행 상황에 대한 평가 결과 도출

발사체 관련 기업

육성 실적

(

미) 국가 주도의 발사체 개발 사업을 통하여 발사체 관련 산업 생태계 구축 상황을

파악하기 위한 관련 기업 육성 정도

중요성

(

)

한국형발사체 개발 사업을 통해 국내 산업체 육성 등 관련 생태계 구축 관련,

전체 사업 예산 중 기업 지원 실적 평가

단계로 구분되나 연차별 향상도 평가를 위해

의 평균으로 산정 국정과제평가

* TRL

1~9

,

33

CTE

(

)


background image

부문별  계획

 

경영성과계획서

2015~2017 

229

목표  설정  근거 타당성 및  평가방법

 

(

사업
구분

성과지표

최종목표

목표 도출 근거

평가 검증 방법

(

)

분야

유형

지표명

수탁

기술

기술혁신

한국형발사체

주요

CTE

TRL

*

달성도

6.61

(6)

국정과제 평가

대상

(TRL)

개 에 대한

목표

CTE(33 )

TRL

달성도의 평균값

사업단 자체평가 및

전담평가단 검증 실시

단형

2

시험발사체

진척율

**

톤급

75

액체엔진

성능검증

한국형발사체 개발 계획 수정 안

( )

년 제 차 국가우주위원회

(2013

6

승인)

체계모델(PSM, EM, QM)

시험 결과

단형

, 2

시험발사체 발사 성공

여부

한국형발사체

개발지수

75%

한국형발사체 개발 진척률,

발사체 관련 기술 수준,

연차평가 목표달성도

가중평균

한국형발사체 개발

진척률 일정 예산

(

,

),

발사체 관련 기술 수준,

연차평가 목표 달성률

산정

경제

기술활용

효과

발사체 관련

기업 육성 실적

***

평균 83%

이상

발사체 관련 기업에 대한 육성

실적을 도출하기 위해 매년
예산 확보액 대비 지원 비율

기업의 안정적인 사업여건
조성을 통한 발사체 개발

생태계 구축을 위해 매년
총 예산 중 기업체 집행

실적 비율로 산정

과학

논문

표준화된

상위

IF

20%

논문

SCI

15

기관 핵심 성과지표와

최근

년간 실적 및

3

고유임무재정립 목표치 고려

상위

해당

IF

20%

논문 게재 실적

논문

SCI

63

논문 게재 실적

경제

기술료

기술이전특허

9

기술이전 특허 실적

기술료 수입

억원

10.98

기술료 계약 실적

단계로 구분되나 연차별 향상도 평가를 위해

의 평균으로 산정 국정과제평가

* TRL

1~9

,

33

CTE

(

)

개 중 가장

이 낮은 기술의

( ) CTE 33

TRL

TRL

** PSM(Propulsion System Model), EM(Engineering Model), QM(Qualification Model), FM(Flight Model)

단형 시험발사체 발사

월 예정 제 차 국가우주위원회

** 2

: 2017

12

( 6

, 2013. 11)

기업 육성 실적은 당해 연도 전체 정부 예산 중 기업 집행 실적의 비율로 산정

***


background image

230

유사  해외  선진연구기관과  비교

 

주요 기술

기관명

기술 수준 및 주요내용

기술력

KARI

년도

2014
기술 수준

년도

2017
기술 목표

우주발사체

서브시스템 기술

NASA,

Khrunichev

◦ 세계 우주개발 주도
◦ 민간 상업용 우주발사체 이용

세계최고수준

대비 60%

세계최고수준

대비 65%

우주발사체

엔진 기술

NASA,

Khrunichev

◦ 각종 액체엔진 고체로켓모터 개발

,

◦ 다단연소사이클 및 가스발생기형

수소엔진 저가형 케로신 엔진 개발

,

세계최고수준

대비 65%

세계최고수준

대비 70%

우주발사체

엔진 추진시험 기술

,

NASA,

Khrunichev

◦ 엔진 및 추진기관 시험설비 구축
◦ 엔진 구성품

엔진

추진기관 등

,

,

단계별 시험을 통한 개발 경험 보유

세계최고수준

대비 60%

세계최고수준

대비 65%

우주발사체

지상시스템 기술

NASA,

Khrunichev

◦ 케네디

기아나

바이코누르

,

,

우주센터에서 상용발사를 포함한
다양한 발사체 발사 임무 수행

세계최고수준

대비 75%

세계최고수준

대비 80%

우주발사체

체계 기술

NASA,

Khrunichev

◦ 델타

아트라스

아리안

프로톤

,

,

,

,

소유즈 등 다양한 발사체 운용 경험

◦ 상용발사 엔진 공급 등 발사체 시

,

장의

상당 부분 점유

세계최고수준

대비 60%

세계최고수준

대비 65%

성과활용  및  기대효과

(4) 

구분

주요 내용

성과활용

◦ 한국형발사체를 기반으로 달 탐사용 단형 발사체 개발 및 달 탐사 추진을 통한 한국형발사체의

,

4

신뢰성 제고

년 이후 차세대 중형위성 호

차세대 소형위성 호 등의 발사 수요에 대응할 수

’20

,

(4 ~12 ),

(3 )

있도록 한국형발사체 실용화 추진

◦ 다중위성 발사용 단 분리장치 및 페어링 개발 등을 통해 위성

기 동시 발사 추진

2

◦ 한국형발사체의 발사체 제작 시스템종합 및 발사운용 등의 기술을 기업체에 이전함으로써

,

,

발사체 개발 관련 전문기업 육성 및 총 조립 기업 육성 추진

기대효과

◦ 우주발사체 자력발사 능력의 조기 확보로 국가 우주개발의 독자적 안정적 수행 능력 확보

◦ 대형 복합 시스템 기술인 우주발사체 개발을 통해 세계시장 진출을 위한 기반 구축

◦ 국내 관련 산업에 대한 기술 파급 효과 증대

- 우주기술 전문기업 및 발사체 총조립 기업 육성

◦ 우주발사체 개발 성과는 국가 위상 및 신뢰도 제고와 국민의 자긍심 고취에 기여


background image

부문별  계획

 

경영성과계획서

2015~2017 

231

성과목표  4-2

공공

인프라형 발사체 핵심기술 확보 추진 출연금

[

(

주요내용

(1) 

성과목표  개요

 

◦ 개요 나로호 개발 과정을 통해 기본적인 발사체 핵심기술을 확보하였으며 관련 핵심기술을 

(

확대하여  개발  확보를  추진

◦ 구성 발사체  고성능화를  위해  필요한  핵심기술  분야로  구성

(

– 발사체  구조  경량화  및  성능  향상  기술  연구

– 상단  로켓엔진  고성능화  요소기술  연구

– 액체엔진  고성능화  선행기술  연구

– 정지궤도  위성  발사체  선행기술  연구

연구동향  및  필요성

 

◦ 발사체  구조  경량화  및  성능  향상  기술  연구

– 우주발사체  기술의  상용화  증대에  따라  탑재  위성의  중량  증가  등  경제적  효율  관점에서 

발사체  구조물  경량화  기술  확보가  필수

– 탑재  위성체의  서비스  환경을  만족시키기  위한  발사체의  구조  성능  향상  필요

– 발사체 구조 경량화 기술 및 성능 향상을 위한 관련 핵심기술 개발을 추진하여 발사체 기술 

개발  역량의  제고  필요

– 발사체  핵심  부품의  국산화를  통한  발사체  신뢰성  및  자력개발  역량  제고  필요

◦ 상단  로켓엔진  고성능화  요소기술  연구

– 다단연소사이클 엔진은 예연소기 기준으로 

이상의 높은 압력에서 작동하며 산화제 

20MPa 

과잉  연소로  인해  기술  진입  장벽과  난이도가  높은  편임

– 관련  기술은  로켓엔진의  첨단  기술로서  선진국의  견제와  감시가  심하고 다국간  통제 

방식으로  독점하고  있어  기술  협력을  통해  이전  받기가  대단히  어려운  기술

– 선진국과의 기술 격차를 줄이고 향후 발사체 시장에서의 경쟁력을 확보하기 위해서는 첨단 

엔진  기술  중의  하나인  다단연소사이클  엔진의  핵심  기술을  연구하는  것이  필요

◦ 액체엔진  고성능화  선행기술  연구

– 고성능 엔진 개발을 통한 발사체 성능 향상으로 인공위성의 수송 능력 증대 달 탐사 또는 

심우주 탐사 등에 유용하게 사용할 수 있으며 한국형발사체 개발 이후 발사체 개발 경쟁력 

확보  및  다목적  발사체  개발  추진  필요

– 고성능  엔진의  개발은  발사체  선진국에서도  꾸준히  연구를  진행

수준의  진공추력  톤급 진공비추력 

초급  다단연소사이클  엔진  개발  필요

TDM 

8

340


background image

232

◦ 정지궤도  위성  발사체  선행기술  연구

– 기상 해양 환경 통신 항법  등  우리나라  정지궤도  위성의  수요는  증가  추세에  있으며

/

독자적인  우주  개발  능력의  확보를  위해  정지궤도  위성의  발사체  확보가  필요함

– 우주개발중장기계획에  따라  지구정지전이궤도

에  톤급의  위성을  투입할  수  있는 

(GTO)

3

정지궤도  위성  발사체의  본격  개발에  앞서  효율적인  차세대  발사체  개념을  검토함

추진방향

 

◦ 발사체  구조  경량화  및  성능  향상  기술  연구

– 구조  경량화  및  성능  향상을  통한  한국형  발사체  기술  고도화에  기여

– 독자적인  기술  확보를  통한  수출허가

장벽  해소

(E/L) 

– 시제품  제작  등은  산업체와  협력하여  주요  부품  국산화  확대  및  제작  공정  고도화  향상

등  최신  발사체의  기초  자료를  참조하여  추진  예정

ARIANE  5,  VEGA 

– 국내외  위성  수요  확대에  대비한  발사체  위성  서비스  향상에  기여

◦ 상단  로켓엔진  고성능화  요소기술연구

– 다단연소사이클  기술은  국외에서  이전  받기가  대단히  어려운  기술

– 사업 위험을  줄이기  위해  국외 협력을  이끌어내는  것이  국내  독자적으로 개발을 진행하는 

것  보다  비용과  개발기간  면에서  바람직

– 한국항공우주연구원에서는  다단 연소사이클 액체엔진 성능향상 기술 연구 를 통해 우수한 

연구 결과를 얻었고 국외기관으로 부터 관련 기술 협력을 이끌어냈으며 향후에도 계속해서 

기술협력이  가능할  것으로  예상

– 이미 

톤급 엔진 선행기술 개발

톤과  톤급 액체엔진 개발 진행 중 등을 통해 축적된 

30

, 75

7

(

인프라  활용  시 비교적  적은  예산과  기간으로  연구개발이  가능할  것으로  전망

◦ 액체엔진  고성능화  선행기술  연구

– 그동안  수행했던  다단  연소사이클  액체엔진  성능향상  기술  연구 와  상단엔진  고성능화 

요소기술연구 에  이어  다단연소사이클  엔진의  핵심기술  개발을  위해  추진

– 기존의  사업을  통해  개발된 

수준의  예연소기와  연소기를 

수준으로  발전시킴

TDM 

DM 

– 파워팩  및  예연소기 터보펌프 연소기  연계  시험  실시

-

-

– 예연소기는  기존의  모델

에서 

이상의  무게  감소

이상유체

(TDM)

15% 

(DM), 

(Two  Phase 

연소기는  초기  모델에서  약 

무게  절감

Flow) 

10% 

(DM)

– 컴포넌트  연계시험  이후 확장비 

노즐  장착  시 진공  비추력 

초 진공  추력 

100-120 

340 , 

톤급  기술개발용  엔진

개발을  통해  다단연소사이클  엔진  기본기술  개발  검증

8

(TDM) 

– 경쟁력 있는 발사체에 활용 가능한 액체엔진 고성능화 선행기술 연구 결과를 바탕으로,  보다 

낮은  비용으로  고성능  액체엔진을  제작할  수  있도록  추진  예정


background image

부문별  계획

 

경영성과계획서

2015~2017 

233

◦ 정지궤도  위성  발사체  선행기술  연구

– 차세대  정지궤도  위성  발사체는  한국형발사체의  개발을  통해  확보한  기술을  활용하여 

개발되어야  하며 동시에  기술적  향상을  통해  발사체의  성능 신뢰성  및  경제성을  더욱 

높이는  방향으로  개발하여야  함

– 다단연소사이클 엔진 수소 엔진 등 고성능 추진기관의 도입 및 다양한 발사체 형상 구성을 

/

검토하여 고성능이면서 우리나라의 개발 여건에 맞는 한국형 정지궤도 위성 발사체의 개념 

설계  안을  도출하는  목표

– 정지궤도 위성 발사체의 개념설계 기술을 확보하며 개념 안에 대한 형상 중량 궤적 공력

제어성 하중 강도 투입  정밀도  등  기술  분석  수행

/

– 발사체의  요구조건  도출  및  개념설계  과정을  통해  차세대  발사체를  위해  요구되는  기체, 

추진 엔진 항법유도  등의  핵심  기술을  분석

/

– 본 연구의 결과는 향후 한국형 정지궤도 위성 발사체의 개발 시 개발 계획의 수립 및 개념 

설계  단계에서의  기초  자료로서  활용될  것으로  예상

추진체계  및  절차

 

◦ 발사체  구조  경량화  및  성능  향상  기술  연구

– 설계  분석  연구 시제품 시편 제작 시험  평가 설계  수정  보완 최종  성능  평가  추진

(

– 시제품  제작은  분야별  전문  산업계  활용  및  세부  분야는  관련  학계  교류  협력

– 산업계  및  학계  사업  참여  계획  현황

산업체

학계

예상 기관

예상 논문

예상
특허

복합재 링 프레임 제작

복합재 브레이딩 물성 예측

넥스컴스

대학 또는 연구소

1

충격저감 분리장치

한화 두원중공업

,

1

복합재 샌드위치 결함특성

음향하중저감구조제작

한국화이바

1

윈도우 전파물성 평가

RF

대학 또는 연구소


background image

234

◦ 상단  로켓엔진  고성능화  요소기술  및  액체엔진  고성능화  선행기술  연구

– 나로호  개발과  선행연구  등을  통해  축정된  기술과  경험 노하우  등  활용

– 설계 분석 시제품  및  시편  제작 단품  시험평가 연계시험  실시  및  시험결과  해석 설계 

/

피드백  등의  절차로  업무  수행

연소기 예연소기  등  주요  컴포넌트  및  각종  시험용  치구  등은  국내기업을  통해  제작

– 

– 초임계  연소  혹은  이상  유체  연소  등의  기초  연구는  학계를  통해  수행

– 산업체  경험  활용  및  국내외  수재 

확립 엔진  조립  및  보관  방법  구축

Cross  Reference 

– 일부  요소  기술에  대해  국제  기술  협력을  통한  기술  습득

사업 수행 체계 및 기존 계획과의 연관성

<

>

사업 수행 절차 및 기존 사업과의 연관성

<

>


background image

부문별  계획

 

경영성과계획서

2015~2017 

235

◦ 정지궤도  위성  발사체  선행기술  연구

– 추진  체계

∙ 연구원이  보유한  나로호  및  한국형발사체의  개발  기술 인력  및  경험을  활용

∙ 개념  검토와  기술  분석  시 정지궤도  발사체  기술을  보유한  선진  기관과의  국제협력

∙ 발사체  기술  분석  분야에서의  대학과의  협력

– 추진  절차

∙ 정지궤도  위성  발사체의  임무  요구조건  도출

∙ 발사체  개념  안  도출  및  비교  분석

∙ 발사체  설계  및  기술 필요  핵심  기술  분석

사업 수행 체계 및 수행 단계

<

>

전략목표와의  부합성

(2) 

전략목표

성과목표

전략목표와의 부합성

발사체 자력개발

및 인프라 확충

발사체 구조

경량화 및 성능
향상 기술 연구

◦ 발사체 경량화 및 성능향상 핵심기술 확보를 통한 발사체 자력개발

능력 향상에 부합

◦ 파이로 충격 저감 설계 복합재 링프레임 개발 샌드위치 파손 특성의

,

,

구조 경량화를 통한 발사체 고성능화를 추진

◦ 소음 저감 구조개발

윈도우 안전장전장치 개발을 통한 발사체

, RF

,

위성 서비스 향상 및 부품 국산화 추진

상단 로켓엔진

고성능화 요소기술

연구

◦ 한국 우주개발진흥기본계획과의 연관성

- 우주개발진흥기본계획에 의거 우주개발의 자립화를 위해 사업중심에서

핵심기술 확보에 중점을 둠

◦ 지원 근거

- 항공우주산업개발촉진법

국가우주개발 중장기 계획

(’87),

(’96)

- 우주개발중장기기본계획 수정 및 보안(’98, ’00, ’05)
- 우주개발진흥기본계획

우주개발진흥법 법률

(’08),

(

7538 )

액체엔진 고성능화

선행기술 연구

정지궤도 위성

발사체 선행기술

연구

년 제 차 우주개발진흥기본계획 수정

우주개발

2013

2

2014~2040

중장기계획에 따라

년부터 정지궤도 발사체 개발 추진

’20

◦ 한국항공우주연구원은 나로호 한국형발사체 등 우주발사체 개발 주도

,

,


background image

236

성과지표  현황

(3) 

성과지표  및  지표별  목표

 

사업
구분

성과지표

실적

목표

장기목표

분야

유형

지표명

2012

2013

2014

2015

2016

2017

출연금

기술

기술
혁신

파이로

분리장치

충격저감[%]

20

페어링

음향저감[dB]

1.8

2.8

4.8

안전장전장치

시험규격 한국형발

(

:

사체규격)

기본

성능시험

시스템

성능시험

환경 및

신뢰성

시험

복합재 프레임

경량화[%]

15

18

20

상단 로켓

엔진 고성능화

연소압

20MPa,
연소가스

700K

이하의

예연소기

제작

연소압

8MPa

연소기

제작

연소압

20MPa

예연소기-

산화제
토출압

24.6MPa

TP 10

연계 시험

연소압

20MPa

산화제

PB-

토출압

24.6MPa

연소압

TP-

8MPa

CC 10

연계 시험

진공환산

추력 톤

8 ,

비추력

340

기능

확인용

엔진 제작

설계
기술

정지궤도

위성발사체

개념도출[%]

40

70

시제품 제작

3

3

3

기관 핵심 성과지표 및 공통지표

과학

논문

표준화된

상위

IF
논문 편

20% SCI

[ ]

0

0

1

1

1

1

논문 편

SCI

[ ]

3

5

4

5

5

5

경제

기술료

기술이전특허 건

[ ]

0

1

0

1

1

1

기술료 수입 억원

[

]

0.15

0.15

0

0.38

0.4

0.5

주요  성과지표의  의미  및  중요성

 

성과지표명

성과지표의 의미 및 중요성

파이로 분리장치

충격저감

(

미 기존 분리 장치 대비

파이로 충격 저감 성과 지표

)

20%

중요성 충격 저감에 따른 경량화 및 탑재 전자 장비 보호

(

)

페어링 음향 저감

(

미) 음향 저감

목표 스킨 최적화를 통한 추가 저감

경량 흡음 구조

4.8dB

(

1.8dB,

음향 저감 3.0dB)

중요성 위성체의 안전에 기여 및 구조 경량화 기여

(

)

안전장전장치

(

미 발사체용 안전장전장치 국산화 기술 확보

)

중요성 고가의 수입 부품 대체 및 핵심 부품 신뢰도 제고

(

)

상단 로켓 엔진

고성능화

(

미) 다단연소사이클 엔진 개발을 위해 예연소기 개발 연소기 개발 액체 엔진

,

,

구성품 시험을 통한 점화 시퀀스 등 개발 추진 다단연소 사이클 엔진의 경우

,

,

,

가스발생기 사이클 엔진과 매우 상이함

중요성

(

)

다단연소사이클 엔진의 핵심 구성품 예연소기

상 유체 연소기 및 시스템

(

), 2

차원의 엔진 개발 추진


background image

부문별  계획

 

경영성과계획서

2015~2017 

237

목표  설정  근거 타당성 및  평가방법

 

(

사업구분

성과지표

최종목표

목표 도출근거

평가 검증 방법

(

)

분야

유형

지표명

출연금

기술

기술혁신

파이로 분리장치

충격저감

20%

기존 측정된 충격량

기준 감소량

시험 결과

페어링 음향 저감

4.8dB

나로호 발사체 대비

감소된 중량으로

30%

저감량 달성

시험 결과

안전장전장치

성능 및 환경시험 국산화 적용 최소 조건

제작 시험 결과

/

복합재 프레임

경량화(%)

20%

적용 복합소재 물성

제작 시험 결과

/

상단
로켓
엔진

고성능화

예연소기

개발

연소압 20MPa

산화제 과잉연소

우크라이나

기준

RD-8

- 시제품 제작
- 시험 결과

연소기

개발

연소압 8MPa

기체 액체 연소기

이하의

700K

연소가스 생성

연소기는 예연소기의

수준

1/3

액체엔진
컴포넌트
연계시험

시험

Power Pack

(

10 )

액체엔진은 점화 후,

초 내외 정상 구간

3

진입 한국형발사체

;

개발에 대한 영향을

고려하면 가능 시험

,

시간

초 내외

10

설계기술

정지궤도

위성발사체 개념

도출

70%

우주개발중장기계획

발사체 개념

설계 안 검토

( )

회의를 통한

발사체 성능,

신뢰성 경제성의

,

종합 평가

시제품 제작

3

복합재 링 프레임,

페어링 음향저감구조,

안전장전장치 등

제작 결과

과학

논문

표준화된

상위

IF

논문

20% SCI

3

기관 핵심 성과지표와

최근

년간 실적 및

3

고유임무재정립

목표치 고려

상위

해당

IF

20%

논문 게재 실적

논문

SCI

15

논문 게재 실적

경제

기술료

기술이전특허

3

기술이전

특허 실적

기술료 수입

억원

1.28

기술료 계약 실적


background image

238

유사  해외  선진연구기관과  비교

 

주요 기술

기관명

기술 수준 및 주요내용

기술력

KARI

년도

2014
기술 수준

년도

2017
기술 목표

복합재 프레임,

충격저감

분리장치 및

손상허용 경량화

ESA

유럽 우주청

(

)

기법을

RTM(Resin Transfer Molding)

이용한 링 프레임을

프로젝트로 개발

ARIANE

TRL 4

TRL 5

ESA

유럽 우주청

(

)

충격저감형 분리장치 기술을

에 적용

ARIANE 5

TRL 4

TRL 5

윈도우

RF

,

음향하중저감 및

안전장전장치

성능향상 기술

NASA

위성의 필요에 의하여

윈도우 채용

RF

TRL 4

TRL 5

ESA

유럽 우주청

(

)

음향하중 저감 기술을 개발하여

에 적용

ARIANE 5

TRL 4

TRL 5

EADS/Pyro

Alliance

등 발사체의

ARIANE 5, VEGA

비행종단시스템 단분리 페어링 분리 등에

,

,

안전장전장치를 적용

TRL 4

TRL 5

다단연소사이클

엔진 시스템 기술

Energomash

Yuzhmach

Yuzhnoye SDO

다단연소사이클 엔진 설계 및 종합

TRL 4

TRL 6

예연소기 기술

Energomash

Yuzhmach

Yuzhnoye SDO

고압연소 산화제 과잉 연소 내산화 코팅

,

,

TRL 5

TRL 6

기체 액체 연소기

-

Energomash

Yuzhmach

Yuzhnoye SDO

고압연소 기체 액체 연소 내산화 코팅

,

-

,

,

내열코팅

TRL 4

TRL 6

엔진 시험 기술

Energomash

Yuzhmach

Yuzhnoye SDO

각종 시험 점화 및 소화시퀀스 시험 결과 해석

기술시험장 운영기술

TRL 4

TRL 6

정지궤도위성

발사체

Airbus Defense

and Space

유럽

(

)

발사체 시리즈의 개발을 통해

Ariane

년대부터 정지궤도 위성을 발사했으며

1980

,

최신

발사체는

톤 위성의

Ariane 5

8

지구정지전이궤도 투입이 가능

세계최고수준

대비 30%

세계최고수준

대비 50%

Khrunichev

러시아

(

)

년대 개발된

발사체는 현재 정지

1960

Proton

궤도 위성 발사체 시장을

발사체와

Ariane 5

양분 차세대

발사체는 최대

,

Angara A5

톤 위성의 지구정지전이궤도 투입 가능

7.5


background image

부문별  계획

 

경영성과계획서

2015~2017 

239

성과활용  및  기대효과

(4) 

구분

주요 내용

성과활용

◦ 대형 발사체 경량화 설계 개발 및 성능향상에 활용

◦ 발사체 경량화를 위한 페어링 및 동체 복합재 적용
◦ 발사체 비행종단장치 점화 단분리 페어링 분리 및 고체모터 점화용 안전장전장치 활용

,

,

◦ 향후 한국형발사체 고성능화에 활용 가능
◦ 고온 내산화성 코팅 기술을 발전소나 보일러 자동차용 배기구 등에 적용하면 설비의 수명연장을

,

통해 유지보수에 필요한 비용을 절감할 수 있을 것으로 예상

◦ 정지궤도위성 발사체 개발을 위한 발사체 개념 도출 및 핵심 기술을 식별하여 우주개발중장기

계획의

년 한국형 정지궤도위성 발사체 개발의 계획 수립 및 개념 연구에 적용함

2020

기대효과

◦ 발사체 구조 핵심 부품 국산화를 통한 수입 부품대체

◦ 발사체 구조 부품의 기존 대형 알루미늄 소재를 이용한 개발 방법의 다변화를 통한 첨단소재

제조 산업 발전에 기여

◦ 발사체 음향진동하중 저감을 위한 복합재 실린더 최적설계로 중량 증가 없이 추가 저감이

가능함

◦ 실용위성 우주발사체 추진기관 국산화에 활용이 가능하며 상용화 기업화 가능할 것으로 기대

,

◦ 정지궤도위성의 자력 발사를 통한 독자적 우주개발 능력 확보 및 통신 방송 등 정지궤도 위성

/

수요 증가에 따른 외화 절감 기대


background image

240

성과목표  4-3

공공 인프라형 한국형발사체 발사 나로우주센터 인프라 구축 출연금

[

(

(

)

주요내용

(1) 

성과목표  개요

 

◦ 개요 한국형  발사체

톤급  실용위성을  태양동기궤도로  발사할  수  있는  실용  위성급 를 

(

(1.5

)

발사할  수  있는  발사장  구축

◦ 구성 나로우주센터  레인지  시스템  확장 구축  및  발사안전체계  강화

(

/

– 한국형  발사체  발사를  위한  장비  추가  구축 개발 한국형  발사체  국내  자력  발사  능력 

[

]

확보를 위한 해외 다운레인지 추적소 신규 구축 발사통제 자료처리 시스템 개발 고신뢰성 

비행종단  지령장비  개발

– 한국형 발사체 발사를 위한 기 도입장비 성능개선 나로호 발사를 위해 구축된 레인지 

[

]

스템의 성능 개선을 통한 한국형발사체발사장 구축 추적레이더 광학장비 발사통제 원

(

/

/

/ 격

자료수신 기상레이더  성능개선

/

)

우주센터 단계 사업

<

2

- 연구장비 개발 및 구축>


background image

부문별  계획

 

경영성과계획서

2015~2017 

241

연구동향  및  필요성

 

◦ 사회적 경제적  이슈

/

– 나로우주센터에 한국형발사체 실용 위성급 발사장 구축을 통해 외화 절감 및 세계 위성발사 

(

시장  진출의  교두보  확보

– 한국형발사체 실용위성급 를  발사  성공을  통한  국가 우주개발  역량  증대  및  국가위상  강화

(

)

– 지역사회 고흥지역 고용  창출  및  관광객  증가에  따른  지역경제  활성화

(

◦ 기술적  이슈

– 위성발사체  추적  및  발사통제  자료처리  능력을  보강함으로써  한국형발사체 실용위성급

(

발사체에  대한  국내  자력발사능력  확보

– 우주산업기술  자주권  확립  및  국내  관련  산업계  기술  파급효과  증대

추진방향

 

◦ 나로우주센터  차  개발  단계에서  확보한  핵심기술과  시설 운용경험  활용

1

◦ 위성 발사체  개발사업과  연계하여  핵심설비  구축  및  시험  수행

◦ 핵심기술  국내자력개발을  통한  기술선진국의  수출입통제

강화에  대비  및  국내  자력 

(E/L) 

발사능력  확보

◦ 연차별  계획

우주센터 단계 사업

<

2

- 연차별 계획>


background image

242

추진체계  및  절차

 

◦ 산 학 연  역할분담을  통한  효율적인  연구개발  및  생산체계  구축

ㆍ ㆍ

◦ 사업  초기단계부터  산업체의  적극  참여  유도

참 여 기 관

참 여 방 법

기본 상세 설계단계

/

◦ 한국항공우주연구원

◦ 산업체

◦ 국내 외 전문가

장비 및 시설별 세부설계

◦ 한국항공우주연구원

◦ 산업체

◦ 국내 외 전문가

해외 구매 장비

◦ 해외 제작업체

제 작

구 매

국내제작 장비

◦ 산업체

국 내

개 발

장비 설치 및 검증

◦ 한국항공우주연구원

◦ 관련 산업체

◦ 해외 제작사

제 작

자 문

/

제 작

자 문

/

운용 시험

◦ 한국항공우주연구원

◦ 관련 업체


background image

부문별  계획

 

경영성과계획서

2015~2017 

243

전략목표와의  부합성

(2) 

전략목표

성과목표

전략목표와의 부합성

발사체

자력개발 및

인프라 확충

한국형발사체 발사

나로우주센터

(

)

인프라 구축

◦ 국가 우주개발 중장기 개발 계획에 따른 발사장 구축으로 우주산업

발전을 위한 인프라 구축 및 우주산업 기술의 자주권 확립

성과지표  현황

(3) 

성과지표  및  지표별  목표

 

사업
구분

성과지표

실적

목표

장기목표

분야

유형

지표명

2012 2013 2014 2015 2016 2017

출연금

인프라

우주
개발

한국형
발사체

발사를 위한

장비 추가

구축

및 개발

해외다운레인지 추적소

구축[%]

0

5

10

30

(PDR)

60

(CDR)

80

(TRR)

위성궤도 투입구간

원격자료 획득

발사통제 자료처리

시스템 개발[%]

0

0

0

10

규격

(
작성)

30

(PDR)

60

(CDR)

발사임무

요구규격 충족

고 신뢰성 비행종단

지령송신장비 개발[%]

0

0

10

40

시제품

(

개발

완료)

60

(CDR)

80

(TRR)

비행종단명령 보안성

증대

한국형
발사체

발사를 위한
기 도입장비

성능개선

추적레이더 성능개선[%]

0

5

20

60

(CDR)

80

(TRR)

90

(PST)

발사 추적 안정성 및

신뢰성 향상

광학장비

성능개선[%]

0

10

20

30

(PDR)

60

(CDR)

90

(PST)

발사체 위치 및

영상정보 획득 향상

발사통제장비
성능개선[%]

0

5

10

20

음성

(

전용

통신망

확장

구축)

40
(CT

생성기

개발

완료)

70

타이밍

(

망장비

교체)

발사 임무 안정성 및

생존성 향상

원격자료 수신장비

성능개선[%]

0

0

5

20

규격

(

작성

계약)

60

(CDR)

90

(PST)

단형 발사체에 대한

3

원격자료 수신 처리

/

기능 확보

기상레이더

성능개선[%]

0

0

0

20
규격

(

작성

계약)

60

(CDR)

100

(FAT)

비행 안전 지원 정확도

향상

기관 핵심 성과지표 및 공통지표

과학

논문

표준화된

상위

논문

IF

20% SCI

* 편

[ ]

2

0

0

0

0

0

논문 편

SCI

[ ]

3

0

1

1

1

1

년 편의 실적만 있는 지표

* 2012

2


background image

244

주요  성과지표의  의미  및  중요성

 

성과지표명

성과지표의 의미 및 중요성

한국형
발사체

발사를 위한

장비 추가

구축 및 개발

의미

(

)

- 해외다운레인지 장비구축

국내 추적장비로는 신호 획득이 어려운 한국형발사체 비행임무

구간 단 엔진 점화 구간 및 위성분리구간 에서 양질의 신호를 추적 수신할 수 있는 육상

(3

)

,

이동형 다운레인지 해외추적소 구축

- 발사통제 자료처리시스템 개발

한국형 발사체의 실시간 위치 상태정보를 포함한

/

발사통제용 자료처리를 위하여 시스템기능의 확장 개발 및 성능개선

- 고 신뢰성 비행종단지령송신장비 개발

보안 문제 및 주변 노이즈에 의한 톤 반응 등

기존 장비의 한계 극복을 위해 보안성이 향상된 장비 국산화 개발

중요성 한국형 발사체 국내 자력 발사가 가능하도록 필요 장비 추가 구축 및 개발

(

)

한국형발사체

발사를 위한
기 도입장비

성능개선

의미

(

)

- 추적레이더 성능개선

한국형발사체 추적 안정성 및 신뢰성 향상을 위하여 이중모드 다중비콘

/

추적이 동시에 가능토록 시스템 성능개선

- 광학장비 성능개선

한국형 발사체 비행시험 임무과정에서 발사체 추적 위치정보 및

,

영상정보 획득을 위한 성능개선

- 발사통제장비 성능개선

한국형 발사체 발사임무 요구사항에 따른 카운트다운

처리시스템 및 통신망 등의 확장 성능개선 및 신기술 적용

,

- 원격자료수신장비 성능개선

한국형 발사체 단형 의 원격자료신호를 수신 처리 저장

(3

)

/

/

가능하도록 시스템 확장 구축

- 기상레이더 성능개선

구름층의 세부적인 식별이 가능한 이중편파기술이 적용된

기상레이더를 이용하여 발사에 필요한 기상 정보 획득 발사임무 지원기술 향상

,

중요성 나로호 발사를 위해 기 도입된 장비의 성능을 개선함으로써 한국형발사체 발사가

(

)

가능한 실용 위성급 발사장 구축


background image

부문별  계획

 

경영성과계획서

2015~2017 

245

목표  설정  근거 타당성 및  평가방법

 

(

사업
구분

성과지표

최종목표

목표 도출근거

평가 검증

(

)

방법

분야

유형

지표명

출연금

인프라

우주
개발

한국형발사

체 발사를

위한

장비 추가

구축 및 개발

해외다운

레인지

추적소 구축

해외 다운레인지

장비 및 위성

통신망 구축

◦ 발사 임무구간에 대한 안정적

원격자료 획득 처리 및 전송

/

세계최고 수준의

(

90%)

성능시험

통합시험

발사통제
자료처리

시스템 개발

한국형발사체

발사임무를 위한

실시간 자료처리

요구기능 개발

◦ 독자적인 자료 처리 기능의

개발로 다양한 발사임무에

적용가능한 기술 확보

세계최고 수준의

(

90%)

고 신뢰성

비행종단

지령장비

개발

보안성이 뛰어난

명령방식

MHA

장비 국산화 개발

◦ 세계 각국 발사장의 비행종단

시스템 명령방식 보안성 수준

기준

세계최고 수준의

(

90%)

한국형

발사체

발사를 위한

기 도입장비

성능개선

추적레이더

성능개선

발사체 이중모드/

동시추적 가능

◦ 해외 선진 발사장의 위성발사

체 추적레이더 추적성능 기준

세계최고 수준의

(

90%)

성능시험

통합시험

광학장비
성능개선

고해상도

영상획득 및 제로

도플러 추적

레이더 시스템

구축

◦ 해외 선진 발사장 광학장비

성능 기준

세계최고 수준의

(

90%)

발사통제장비

성능개선

시스템 이중화 및

신기술 적용등을 통한

운용안정성 확보

◦ 안정적인 발사임무 수행을

위한 시스템 고도화 추진

세계최고 수준의

(

90%)

원격자료수신

장비

성능개선

원격자료

수신 처리 저장

/

/

기능 확장 단형

(3

)

◦ 한국형발사체 단형 원격자료

(3

)

신호 수신 처리 저장 가능

/

/

세계최고 수준의

(

90%)

기상레이더

성능개선

기상레이더

이중편파 성능개선

◦ 해외 우주센터의 활용현황 및

국내

이중편파레이더와의

정확도 분석

세계최고 수준의

(

90%)

과학

논문

논문

SCI

3

기관 핵심 성과지표와

최근

년간 실적 및

3

고유임무재정립 목표치 고려

논문 게재

실적


background image

246

유사  해외  선진연구기관과  비교

 

주요 기술

기관명

기술 수준 및 주요내용

기술력

KARI

년도

2014
기술 수준

년도

2017
기술 목표

한국형발사체

발사를 위한

장비 추가

구축 및 개발

NASA

/ESA

◦ 발사체 자력 발사 능력 확보

- 자국 및 해외에

여개 이상의 다운레인지

10

추적소를 운영하며 발사체 및 발사 궤도에

따라 다양한 형태로 운용

- 국가별 비행안전운용 및 추적장비 구성에

적합한 실시간 자료처리시스템 보유

- 비행종단 지령송신장비의 경우 아날로그

톤 에서 디지털 방식으로 전환 연구

(Secure )

장비 개발 수행

세계최고수준

대비 70%

세계최고수준

대비 90%

수준

(

)

나로호 발사 등을

통해

100Kg

소형위성 발사에

대한 자력 발사

기술 보유

목표

(

)

톤급

1.5

실용위성 발사에

대한 자력 발사

기술 보유

한국형발사체

발사를 위한

기 도입 장비

성능개선

NASA

/ESA

◦ 한국형발사체 실용 위성급 발사장 구축

(

)

- 발사체 이중모드 다중비콘 동시추적 기술 보유

/

- 한국형발사체 실용위성급 위성발사체 추적

(

)

고해상도 영상획득 시스템 구축

- 한국형발사체 운용개념에 최적화된 발사통제 장비

구축 운용중

/

- 한국형 발사체 단형 발사에 필요한 원격자료

(3

)

수신 처리 저장 장비 구축

/

/

- 발사에 필요한 기상 정보 획득 발사임무 지원

,

기술 향상을 위해 발사장 인근지역에 관측

정확도가 향상된 이중편파 기상레이더 설치/

운용

세계최고수준

대비 70%

세계최고수준

대비 90%

수준

(

)

나로호 발사 등을

통해

100Kg

소형위성 발사에

대한 발사 운용

및 시스템 개발

기술 보유

목표

(

)

톤급

1.5

실용위성 발사에

대한 발사 운용

및 시스템 개발

기술 보유


background image

부문별  계획

 

경영성과계획서

2015~2017 

247

성과활용  및  기대효과

(4) 

구분

주요 내용

성과활용

◦ 장비구축

(

) 한국형 발사체 발사임무 원격자료신호 수신 및 추적 수행 및 위성관제 지상국

(

)

등으로 활용

◦ 장비구축

(

) 자료처리기술의 국내개발을 통하여 자체 기술력을 확보하며 자료처리 성능의

,

최적화가 가능

◦ 장비구축

(

) 한국형발사체

발사임무 시 보안성이 향상된 지상국 비행종단시스템으로

(KSLV-II)

운용 활용

/

◦ 성능개선

(

) 한국형발사체 발사 추적 임무 수행 및 향후 위성발사체 발사 시 추적 임무에

지속 활용

◦ 성능개선

(

) 한국형 발사체 발사임무 고해상도 영상획득 및 발사체 추적 수행 및 향후

(

)

위성발사체 발사 시 발사임무에 지속적 활용

◦ 성능개선

(

) 향후 다양한 발사임무에 대한 통제업무 인프라 시스템으로 활용

◦ 성능개선

(

)

단형 발사체 개 신호 에 대한 원격자료 수신 처리 저장 가능하며 지상국

3

(3

)

/

/

등으로 활용 가능

◦ 성능개선

(

) 한국형발사체 발사 기상지원 임무수행 및 나로우주센터 인근지역의 위험기상

예측을 위한 기초자료로 활용가능

기대효과

◦ 장비구축

(

) 해외 기관과의 발사 협력을 통해 향후 우주개발 관련 대형 국제 협력에 동참할

수 있는 기회 확대

◦ 장비구축

(

) 확장성이 고려된 자료처리기술 개발을 통하여 안정적인 한국형 발사임무 수행

및 향후 다양한 발사임무에 적용 가능

◦ 장비구축

(

) 지상국비행종단시스템 핵심 장비 명령생성기 명령검출기 감시 및 제어기 의

(

,

,

)

국내개발로 비행종단시스템 개발 기술의 자립화 국산화에 기여

,

◦ 성능개선

(

) 발사체의 추적 안정성 및 신뢰성 향상으로 한국형발사체 성공을 위한 발사

인프라 확보

◦ 성능개선

(

) 발사체의 추적 안정성 확보 및 고해상도 영상획득으로 한국형 발사체 성공을

위한 인프라 확보

◦ 성능개선

(

) 시스템 성능개선 및 신기술 적용 등으로 안정적인 한국형 발사체 발사임무

지원

◦ 성능개선

(

) 원격자료 수신 처리 저장 능력 확대로 한국형 발사체 발사뿐만 아니라 발사

/

/

국제협력 등의 다양한 발사 임무 수행 가능

◦ 성능개선

(

) 최적의 관측전략 수립을 통한 자료 효율성이 증대되며 위험기상 감시 및

,

예측시스템 기반을 구축할 수 있음


background image

248

전략목표  5

미래 융합기술 개발 역량 확충

 

기  본  방  향

목적

◦ 달 탐사선 핵심기술 확보와 시험용 달 궤도선 개발을 통한 달 탐사 독자개발능력 확보
◦ 우주탐사 및 우주항공 융합 핵심기술 연구를 통해 미래항공우주 전략기술 확보

오차를 보정하여 정확성 무결성이 확보된 정보를 생성하고 정지궤도위성을 통하여 넓은

GPS

,

지역에 제공하는 시스템 개발

필요성

◦ 성공적인 달탐사를 통한 우주탐사 및 우주활동영역 확장 국가브랜드 제고 한국형발사체의 경쟁력

,

,

확보 및 신뢰도 제고

◦ 우주탐사 기술 항공우주 융복합 핵심기술 미래항공우주 전략기술의 확보를 통하여 항공우주

,

,

기술 선진국으로 도약

◦ 증가하는 항공교통량을 수용하고 교통항행 정확도를 높임으로써 통달범위를 넓혀 경제적

시스템으로 전환 및 항공교통관리에 대한 정책적 기술 독자화 필요

,

추진방향

◦ 국제협력을 통한 달 탐사선 과학탑재체 유도항법제어기술 심우주통신 기술과 지상국 개발 및

,

,

항우연 출연연 대학의 시험용 달 궤도선과 궤도선 착륙선 핵심기술 개발

/

/

/

◦ 초소형위성을 이용하여 랑데부 도킹 근접운영 등 미래우주탐사 핵심기술을 개발

/

/

◦ 센서융합 및 통신기술 개발을 통한 실시간 재난대응형 드론 핵심기술 개발
◦ 중앙처리국 통합운영국 설계 및 제작 운영 유지보수 시나리오 개발 시스템 통합 기반시설

,

,

/

,

구축 지원

성과목표

성과지표 수 개

( )

5-1 공공 인프라형 달 탐사선 핵심기술 확보를 통한 시험용 달 궤도선 개발 출연금 수탁

[

]

(

+

)

7

5-2 기초 미래선도형 미래 우주항공 융복합 핵심기술 개발 출연금

[

]

(

)

7

5-3 공공 인프라형 위성항법 핵심기술 및 응용기술 개발 출연금 수탁

[

]

(

+

)

7


background image

부문별  계획

 

경영성과계획서

2015~2017 

249

성과목표  5-1

공공 인프라형 달 탐사선 핵심기술 확보를 통한 시험용 달 궤도선 개발출연금 수탁

[

(

+

)

주요내용

(1) 

성과목표  개요

 

◦ 개요 한국형발사체를  이용하는  자력  달  탐사와  미래  우주탐사에  대비한  시험용  달  궤도선 

(

및  핵심기술  개발

◦ 구성

(

)  달  탐사  핵심기술  확보와  시험용  달  궤도선  개발을  위하여  다음과  같은  성과지표로 

구성

– 달  탐사  설계 검증  도구  및  핵심기술  개발

/

– 우주탐사용  중적외선  분광기  지상모델  개발

– 시험용  달  궤도선  개발

연구동향  및  필요성

 

◦ 달  탐사  설계 검증  도구  및  핵심기술  개발

/

등  우주탐사  선진국에서는  설계  도구  및  시뮬레이터를  이용한 

NASA,  ESA,  JAXA 

설계 검증  방법을  적극  활용하여  개발  비용절감  및  효율성을  높이고  있음

/

– 달 탐사선 설계 검증 도구와 임무설계 기술 항법 유도 제어 기술 탑재소프트웨어 기술 

/

및  심우주통신  기술  등  핵심기술을  선행하여  개발할  필요가  있음

◦ 우주탐사용  중적외선  분광기  지상모델  개발

에서는  행성탐사용  중적외선  분광기  개발  사례가  있으나 국내는  지구궤도용 

NASA,  ESA

저분산

적외선  분광기외에  우주탐사용으로  개발된  사례없음

(R~20) 

– 달 및 행성 탐사에서 과학적 활용도가 크고 차별화된 과학임무 수행이 가능한 범용 탑재체의 

기반기술  확보가  필요함

◦ 시험용  달  궤도선  개발

년 이후로 미국 중국 일본 유럽연합에서 무인 달 궤도선을 이용한 탐사를 활발하게 

2000

진행하고  있으며

년  중국의  창어 호를  시작으로  각국은  무인  달  착륙선을  통하여 

,  2013

3

자원탐사  및  유인  달기지  건설  가능성을  조사하고  있음

– 한국형발사체를 사용한 달 탐사선의 독자 개발 및 발사 능력을 확보하기 위하여 국제협력을 

통하여  시험용  달  탐사선을  개발하고  달  탐사에  필요한  기술을  사전  확보


background image

250

추진방향

 

◦ 달  탐사  설계 검증  도구  및  핵심기술  개발

/

– 달  탐사선  임무설계도구

의  국제공동개발과  임무  시뮬레이션 시스템  시뮬레이션 

(GMAT)

및  달  가상환경시설  구축

– 달 탐사선 개발에 필수적인 임무설계 기술 항법 유도 제어 기술 탑재소프트웨어 기술 개발

– 달  및  행성  탐사를  위한  추력기  인젝터  기술  개발

◦ 우주탐사용  중적외선  분광기  기반기술  연구

– 중적외선  분광기의  핵심  광학계  설계  및  지상모델을  개발하고 달  탐사선에  탑재될 

비행모델의  개발을  추진함

◦ 시험용  달  궤도선  개발

– 달  과학 달  지질탐사 우주인터넷  등의  임무가  가능한 

급  달  궤도선을  개발

550kg

– 국내독자개발  탑재체  기 국제협력개발  탑재체  기 우주인터넷  탑재체  기를  탑재

2 , 

2 , 

1

– 국제협력을  통한  탐사선  개발  및  운용으로  달  탐사  자력기반기술  개발  및  확보

추진체계  및  절차

 

◦ 추진체계

– 산 학 연 협력 체계를 구축하고 항우연은 탐사기술 체계종합 임무운용 핵심기술 

/

R&D, 

ㆍ ㆍ

국제공동연구의  주관 한국형발사체  상단  개발  등의  역할을  수행

– 항우 연 을  중심으로  핵심기술  개발  및  활용  연구를  수행하고 출연연과  대학이  협력하여 

( )

요소기술 개발 및 우주환경 협력 연구를 수행하며 산업체는 부품 및 시제품 제작을 수행함

달 탐사 추진 체계

<

>


background image

부문별  계획

 

경영성과계획서

2015~2017 

251

◦ 추진절차

– 달  탐사  설계 검증  도구  및  핵심기술  개발과  우주탐사용  과학탑재체  기반기술선행  개발

/

– 달  탐사  사업의  정부예산을  미확보한 

년에는  항우연  자체재원  투자 연구인력  충원  및 

’15

달  탐사연구단으로  조직을  강화하고 시험용  달  궤도선의  실질적인  개발에  착수하여 

형상설계  및  시스템  요구사항  결정  등을  수행

– 선행개발  결과를  기반으로 

년  정부예산  확보와  동시에  본격적인  달  궤도선  개발  수행

’16

– 달  과학임무  공모  선정  및  과학탑재체  요구사항  확정 

– 달  탐사에  대한  국제협력  가능성  공동연구를  선행하고  그  결과를  토대로  국제협력연구 

체결하여  진행

MOU 

전략목표와의  부합성

(2) 

전략목표

성과목표

전략목표와의 부합성

미래 융합기술

개발 역량

확충

달 탐사선 핵심기술
확보를 통한 시험용

달 궤도선 개발

◦ 달 탐사를 통한 우주탐사 임무개발 역량 확보 가능

◦ 달 탐사 사업을 통하여 우주 통신 로버 원자력 등의 융합기술

,

,

,

개발이 가능함

◦ 출연연 대학 산업체의 협력으로 융합기술 개발 역량이 확충됨

,

,

성과지표  현황

(3) 

성과지표  및  지표별  목표

 

사업
구분

성과지표

실적

목표

장기목표

분야

유형

지표명

2012 2013 2014

2015

2016

2017

출연금

수탁

+

기술

기술
혁신

달 궤도선 독자개발에

필요한 핵심기술

확보율[%]

50

60

70

75

80

달 궤도선 개발

필요 핵심기술

90%

이상 확보

파장분해능

(R= /

)

λ Δλ

중적외선 분광기

(

지상모델)

200

250

300

시험용 달 궤도선

개발 진척율

(

)

SRR

(10%)

PDR

(40%)

CDR

(60%)

달 궤도선,

착륙선 발사

기관 핵심 성과지표 및 공통지표

과학

논문

표준화된

상위

IF

20%

논문 편

SCI

[ ]

0

3

0

0

1

1

논문 편

SCI

[ ]

10

5

4

2

2

2

경제 기술료

기술이전특허 건

[ ]

0

0

0

0

0

2

기술료 수입 억원

[

]

0.13

0.1

0.3

0

0

0.7


background image

252

주요  성과지표의  의미  및  중요성

 

성과지표명

성과지표의 의미 및 중요성

달 궤도선 독자개발에 필요한

핵심기술 확보율[%]

의 미

(

)

달 탐사선 개발을 위한 설계 검증도구 및 핵심기술 확보

/

중요성

(

)

달 탐사선의 독자개발 및 한국형 발사체를 사용한 자립 발사 기반

확보

파장분해능

(R= /

)

λ Δλ

중적외선 분광기 지상모델

(

)

(

미) 중적외선 분광기에서 스펙트럼의 복사세기를 파장별로 구별하는 정도

중요성

(

)

우주탐사용 중적외선 분광기에서 획득되는 스펙트럼의 파장대역이
서로 분리되어 있는 정도와 복사세기를 구별하는 핵심 성능 지표

시험용 달 궤도선

개발 진척율

(

)

의 미 국제협력에 의한 시험용 궤도선의 개발 추진

(

)

중요성

(

)

달 탐사 독자 기술을 확보하기 위하여 국제협력에 의한 시험용 궤도선
개발의 요구사항정의 예비설계 상세설계 수행

,

,

목표  설정  근거 타당성 및  평가방법

 

(

사업
구분

성과지표

최종목표

목표 도출근거

평가 검증 방법

(

)

분야

유형

지표명

출연금

수탁

+

기술

기술
혁신

달 궤도선

독자개발에 필요한

핵심기술

확보율[%]

이상 확보

80%

달 탐사선 개발에 필요한

설계/검증 도구 및 핵심기술의

확보가 목표이며 장기적으로

,

독자적 개발을 위해서는

수준

90%

이상의 확보가 필요

설계,
해석,

시험평가

우주탐사용

중적외선 분광기

지상모델

분광분해능

(R= /

)

λ Δλ

R=300

과학임무(H2

를 위해 해외

O, dust)

유사 탑재체의 분광분해능

수준

기술 확보 필요

(R=300)

시뮬레이션 및

측정시험

시험용 달 궤도선

개발 진척율

(

)

상세설계 단계

진행

(CDR)

달 탐사사업계획서에 검토회의

일정이 수립될 예정이며

, ’15

개발사업 착수 후

단계

’17

CDR

수행

설계,
해석,

시험평가

과학

논문

표준화된

상위

IF

논문

20% SCI

2

기관 핵심 성과지표와

최근

년간 실적 및

3

고유임무재정립 목표치 고려

상위

해당

IF

20%

논문 게재 실적

논문

SCI

6

논문 게재 실적

경제 기술료

기술이전특허

2

기술이전 특허 실적

기술료 수입

억원

0.7

기술료 계약 실적


background image

부문별  계획

 

경영성과계획서

2015~2017 

253

유사  해외  선진연구기관과  비교

 

주요 기술

기관명

기술 수준 및 주요내용

기술력

KARI

년도

2014
기술 수준

년도

2017
기술 목표

달 탐사

설계 검증

/

도구

NASA

미국

(

)

등 해외연구기관은 달 탐사선 설계 검증에

NASA, ESA

/

필요한 도구를 확보하기위한 연구를 진행하여 달 또는

,

행성 탐사 임무설계 및 탐사선 개발에 활용하고 있음

세계최고수준

대비 60%

세계최고수준

대비 80%

달 탐사

핵심기술

NASA

미국

(

)

의 경우 달 및 행성 탐사를 위한 임무설계 해석

NASA

,

/

,

항법 유도 제어 등 핵심기술을 확보함 탑재 소프트웨어의

.

효율성과 상호연동의 용이성을 위한 프로토콜의 표준화를
주도함

세계최고수준

대비 60%

세계최고수준

대비 80%

우주탐사용

중적외선

분광기

NASA

미국

(

)

는 화성 토성 등 행성과 혜성 소행성 등의

NASA

ESA

,

,

대기와 표면 특성을 측정하기 위한 중적외선 대역을 포함하는
분광탑재체를 개발하여 탐사선에 탑재한 사례는 일부 있으나

달 탐사선에 탑재하기 위해서 개발된 사례는 없음 따라서

.

이들 행성탐사선 중 가장 성공적인 임무수행으로 평가되고

있는

의 토성 탐사선

에 탑재된

NASA

Cassini

VIMS(Visible

의 경우 파장범위는

and Infrared Mapping Spectrometer)

이며

수준임

0.85~5.1

, R=300

세계최고수준

대비 30%

분광분해능의

(

경우

VIMS

동일 수준이나,

파장범위는 현재

수준이며

15%

,

는 현재

KARI

지상모델 개발

단계임)

세계최고수준

대비 70%

달 궤도선

개발기술

NASA

미국

(

)

의 경우 유인 무인 달 탐사를 넘어 무인 화성탐사

NASA

/

등 우주탐사 기술을 확보하고 탐사활동을 활발하게 진행

중임 달 궤도선은 고도

미만에서

.

50km

임무수행, 50cm

해상도의 달 지형사진 획득 광학레이저를 이용한

,

지구와 고속통신 하향

실험 성공

(

620Mbps)

◦ 미국

의 경우 궤도 정밀도

이하 달성

LRO(2009)

500m

세계최고수준

대비 60%

세계최고수준

대비 70%

성과활용  및  기대효과

(4) 

구분

주요 내용

성과활용

◦ 달 탐사 설계 검증 도구와 핵심기술은 시험용 달 궤도선 한국형발사체를 사용하는 달 궤도선

/

,

및 착륙선의 설계 검증에 활용될 것임

/

◦ 달 및 행성 탐사용 분광탑재체 비행모델 개발 및 과학임무 연구에 활용할 수 있음

◦ 시험용 달 궤도선 개발을 통하여 확보한 기술 경험은 한국형발사체를 사용하는 달 탐사선 착륙선의

/

독자개발에 활용될 것임

기대효과

◦ 달 탐사는 화성 소행성 등 우주로 가는 첫 단계이고 우주탐사 및 우주개발 능력을 의미하며

,

,

,

국격 향상과 국가이미지 제고에 크게 기여함

◦ 달 탐사에 소요되는 인공위성 우주통신 우주인터넷 로버 원자력전지 등 기술은 타 산업분야의

,

,

,

,

기술경쟁력을 제고하고 창조경제에 기여할 것임

◦ 분광탑재체 기반기술은 향후 우주탐사용 탑재체에 직접 활용 가능하며 해외 관심도가 높은

,

적외선 분광 연구를 통해 달 및 행성과학 분야 국제협력 연구의 기회를 확대할 수 있음

◦ 시험용 달 탐사선 개발은 산 학 연 보유 기술을 총집결하여 추진할 계획이며 이를 통하여

,

ㆍ ㆍ

미래 융합기술 개발 역량이 확보될 것임


background image

254

성과목표  5-2

기초

미래선도형 미래 우주항공 융복합 핵심기술 개발 출연금

[

(

)

주요내용

(1) 

성과목표  개요

 

◦ 개요 미래  우주탐사 초소형위성 소형  드론  및  미래  융복합  항공우주  핵심기술  개발

(

◦ 구성 미래  우주항공  융복합  핵심기술  확보를  위해  아래와  같이  구성

(

– 초소형위성  분야

국산화  표준모델  개발  및  랑데부 도킹 근접운영  및  정밀 

6U (7.9kg) 

/

/

항법유도제어  핵심기술  개발

– 소형 드론 분야 고성능 멀티콥터 프로펠러 복합형 드론 비행조종컴퓨터 및 응용기술 개발

/

– 시드사업 신진  연구자의  창의적이고  도전적인  연구  활동을  장려하고  이를  통해  기관의 

미래  연구역량을  축적할  수  있도록  소규모  시드과제  수행

연구동향  및  필요성

 

◦ 초소형위성

급  초소형위성  국산화  표준모델  개발을  통해  저비용으로  미래  소행성 화성  등  심우주 

6U

탐사를  위한  핵심기술들을  우주에서  검증함으로써  미래  선도기술  조기  확보  필요

◦ 소형  드론

– 소형  드론의  향후 

년간  산업규모는 약 

조원이고 

년 이후 더욱 증가가 될 것으로 

10

98

2020

예상되며 특히 

높은 내풍속도가 요구되는 해상 등 열악한 조건에서 운용할 수 있는 복합형 

드론의  핵심기술  연구가  필요

◦ 항공우주기술  시드사업

– 신진  연구인력의  창조적  기술개발  역량  제고와  더불어  고부가가치  항공우주  핵심  기술과 

전략기술의  독자개발  가능성  모색

추진체계  및  절차

 

◦ 초소형위성

– 산업체와  함께  저비용  개발이  가능하도록  상용부품의  우주급  개발  및 

급  국산  표준화 

6U

모델  개발

– 랑데부 도킹 근접운영 및 정밀 항법유도제어 기술 개발은 항우연이 주도하되 미확보기술은 

/

/

국외  연구기관  및  대학과의  협력을  통해  확보  추진

– 위성체  제작  및  부품  개발은  산업체  중심으로  수행하고  랑데부 도킹 근접운영  기술은 

/

/

대학과  협력하여  공동  수행


background image

부문별  계획

 

경영성과계획서

2015~2017 

255

◦ 소형  드론

– 멀티콥터 프로펠러  복합형  드론  및  비행조종컴퓨터는  항우연  주도로  설계  개발

/

– 복합형  소형  드론  제작은  항우연과  산업체가  협력하여  수행

– 높은  내풍속도  시험을  위한  시뮬레이션  및  시험은  대학  및  산업체와  협력하여  수행   

◦ 항공우주기술  시드사업

– 신진  연구인력들의  다양하고  창의적인  연구개발과제를  공모를  통해  발굴함으로써  창조적 

연구환경  조성 년  단위  공모

(

)

– 신진  연구인력  중심으로  팀을  구성하여  창의적인  항공우주기술  발굴  및  개발

– 개발된  항공우주기술의  민간이전  및  사업화가  용이하도록  과제  선정단계에서  지식재산권 

확보  계획  점검

– 내 외부 전문가를 활용하여 주기적으로 지식재산권 및 사업화 전략 컨설팅 및 세미나 수행

– 기관 내부의  아이디어 구체화 컨설팅 및  권리화 전략협의회 와 연계하여 우수 지식재산권 

’ 

확보  추진

전략목표와의  부합성

(2) 

전략목표

성과목표

전략목표와의 부합성

미래

융합기술

개발 역량

확충

미래

우주항공

융복합핵심

기술개발

◦ 초소형위성 고유모델을 개발하여 이용함으로써 저비용으로 랑데부 도킹 등

/

미래우주탐사 핵심기술 개발 및 우주상에서 검증 가능

◦ 고성능 멀티콥터 프로펠러 복합형 드론 및 비행조종컴퓨터 개발

/

◦ 창의적 항공우주기술 연구 개발을 통해 새로운 사업을 발굴하여 일자리 창출 기여

성과지표  현황

(3) 

성과지표  및  지표별  목표

 

사업구분

성과지표

실적

목표

장기목표

분야

유형

지표명

2012 2013

2014 2015 2016 2017

출연금

기술

기술
혁신

자세제어오차[deg]

초소형위성

(

)

8

6

5

4

3

1

위치제어오차

실내 실외

(

/

)[cm]

소형 드론

(

)

35/-

10/-

5/20

4/20

4/15

2/10

내풍속도[m/s]

소형 드론

(

)

12

15

17

기관 핵심 성과지표 및 공통지표

과학

논문

표준화된

상위

IF

20%

논문 편

SCI

[ ]

1

0

1

1

1

1

논문 편

SCI

[ ]

1

3

2

6

6

6

경제

기술료

기술이전특허 건

[ ]

0

0

2

1

1

0

기술료 수입 억원

[

]

0.17

0

0

0.43

0.5

0


background image

256

주요  성과지표의  의미  및  중요성

 

성과지표명

성과지표의 의미 및 중요성

자세제어 오차

초소형위성

(

)

의 미 위성의

축 자세제어 오차 정도

(

)

3

중요성

(

)

급 초소형위성이 랑데부 도킹 임무를 정밀하게 수행하기 위해 필요한

6U

/

자세제어 성능임

위치제어 오차

실내 실외

(

/

)

소형 드론

(

)

의 미 드론의 정밀 위치제어 오차 정도

(

)

중요성

(

)

소형 드론의 실내외 임무 수행을 위해서는 위치를 정밀하게 제어해야 함

내풍속도

소형 드론

(

)

의 미 해상 등 기상 악조건에서 풍속을 견디는 정도

(

)

중요성

(

)

해상 등에서는 강한 풍속에서 비행하며 관측 구조 등 임무를 수행해야 함

,

목표  설정  근거 타당성 및  평가방법

 

(

사업
구분

성과지표

최종목표

목표 도출근거

평가 검증 방법

(

)

분야

유형

지표명

출연금

기술

기술
혁신

자세제어오차

초소형위성

(

)

3deg

◦ 세계 최고 수준

미국

1deg(

MIT

초소형위성

스펙

SPHERES

)

◦ 초소형위성을 위한 자율 랑데부 도킹

/

자세제어오차로서는 최고 수준

시뮬레이션

위치제어오차

실내 실외

(

/

)

소형 드론

(

)

4/15cm

◦ 실내 최고 수준

미국

2cm(UPenn/

)

의 실외 위치 측정 정밀도가

RTK-GPS

로 보고 기타 제어 오차를

10cm
포함하여 제어 오차를

로 설정

20cm

비행시험

내풍속도

소형 드론

(

)

15m/s

◦ 세계 최고 수준

이하

20.6m/s

오스트리아 공화국

(Schiebel/

)

비행시험

과학

논문

표준화된

상위

IF

20%

논문

SCI

3

기관 핵심 성과지표

최근

년간 실적 및

3

고유임무재정립 목표치 고려

상위

해당

IF

20%

논문 게재 실적

논문

SCI

18

논문 게재 실적

경제 기술료

기술이전특허

2

기술이전 특허 실적

기술료 수입

억원

0.93

기술료 계약 실적


background image

부문별  계획

 

경영성과계획서

2015~2017 

257

유사  해외  선진연구기관과  비교

 

주요 기술

기관명

기술 수준 및 주요내용

기술력

KARI

년도

2014
기술 수준

년도

2017
기술 목표

초소형위성

MIT

미국

(

)

직경

중량

급 초소형위성을 이용한 자율

25cm,

4kg

랑데부 도킹 정밀 항법유도제어

기술 자세제어오차

/

(GNC)

(

도 미만 위치 오차

개발하여

에서 시험 성공

1

,

1mm)

ISS

세계최고수준

대비 40%

세계최고수준

대비 60%

소형 드론

UPenn

미국

(

)

모션 캡쳐 시스템으로 실내에서 쿼드콥터로

이하로

2cm

위치 제어 수행

세계최고수준

대비 60%

세계최고수준

대비 80%

ETH Zurich

스위스

(

)

인치 프로펠러의 쿼드콥터로

높이에서

센서

7

1.6m

GPS

없이 정해진 실외경로

오차로 트래킹시험

(190m)

1m

성공

세계최고수준

대비 40%

세계최고수준

대비 80%

Schiebel

오스트리아

(

)

의 내풍속도를 가지며

CAMCOPTER S-100

20.6m/s

상용화 되어 있음

세계최고수준

대비 40%

세계최고수준

대비 75%

성과활용  및  기대효과

(4) 

구분

주요 내용

성과활용

◦ 개발된 초소형위성은 우주에서의 신기술 및 핵심기술 검증을 위한 우주 궤도상의 테스트베드로 활용

가능하며 랑데부 도킹 근접운영 핵심기술은 향후 유무인 우주탐사에 활용 가능

,

/

/

◦ 고성능 멀티콥터 프로펠러 복합형 드론 및 비행제어컴퓨터 기술개발은 공공 안전 및 재난대응 분야에

/

직접 활용될 것임

◦ 항공우주기술 시드사업을 통해 성공가능성 높은 연구과제는 국가적인 대형사업으로 확장

기대효과

급 초소형위성 국산화 표준모델 개발을 통해 관련 산업체 벤쳐 를 육성하여 급증하는 초소형위성

6U

(

)

및 관련 부품 산업에 기여

◦ 고성능 멀티콥터 프로펠러 복합형 드론 및 비행제어컴퓨터 개발을 통해 소형 드론의 국내독자개발능력

/

구축에 크게 기여할 것이며 수입대체 효과 및 국내 드론 수요 충족 해외시장 진출이 가능함

,

,


background image

258

성과목표  5-3

공공 인프라형

[

위성항법 핵심기술 및 응용기술 개발 출연금 수탁

(

+

)

주요내용

(1) 

성과목표  개요

 

◦ 개요 위성항법  핵심기술  확보를  위하여 

(

SBAS4) 지상시스템  및  차세대  항법신호  모델연구 

 

수행 위성항법  응용기술  확보를  위하여  유무인기  복합항행  모델연구  수행

위성기반  보강항법시스템 지상시스템

급  보강정보  생성  지상시스템

SBAS(

APV-I

– 차세대  항법신호  모델연구 저잡음 고감도  신호생성  항법신호  모델연구

/

– 유무인기  복합항행  모델연구 유무인기  운영  효율성  향상  복합항행  모델  연구

수직유도 정보제공 접근절차

APV(Approach Procedure with Vertical guidance):

구성

<SBAS

>

유무인기 복합항행 개념

<

>

◦ 구성

지상시스템 차세대  항법신호  모델연구 유무인기  복합항행  모델연구의 구성은 

(

)  SBAS 

다음과  같음

지상시스템 위성항법  신호를  수집 처리하여  보강정보를  생성하는  중앙처리국과 

SBAS 

전체  시스템의  운영  및  유지보수를  수행하는  통합운영국의  설계  및  개발

– 차세대  항법신호  모델연구 차세대  저잡음 고감도  위성항법  신호  개념설계

/

– 유무인기  복합항행  모델연구 유무인기  복합  운영시  효율성  향상을  위한  개념설계

급 주요 성능 목표

<APV-I

CAT-I

>

4) Satellite Based Augmentation System


background image

부문별  계획

 

경영성과계획서

2015~2017 

259

연구동향  및  필요성

 

◦ 사회적 경제적  이슈

/

– 미래항공교통  수요대비  공역  혼잡도  해소  및  항공안전  강화   

보고에  따르면  현재  지상기반  항행안전시설은  증가하는  항공교통량을  수용하기에 

ICAO 

정확도가  낮고 통달범위가  짧으며  비경제적임

– 무인기의  급격한  보급으로  공역  복잡성 항공안전  향상을  위해  정확한  위치결정  정보를 

활용한  유무인기  복합관제  필요

◦ 기술적  이슈

– 정밀 

위치정보를  필요로  하는  수요는  확대되고  있으나 인프라  미흡으로  산업발전 

GPS 

저해  가능성  대두

– 항법신호  송신전력  수준을  낮추는  차세대  항법신호  모델  개발  필요

– 유무인기  동시  운항에  따라는  유무인기  복합관제  모델  개발  필요

추진방향

 

중앙처리국 통합운영국  설계  및  제작

SBAS 

운영 유지보수  시나리오  개발

SBAS 

/

통합  기반시설  구축  지원

SBAS 

◦ 차세대  위성항법신호  개넘설계  및  유무인기  복합관제  개념설계

추진체계  및  절차

 

◦ 한국항공우주연구원 선박해양플랜트연구소 한국전자통신연구원 한국정보통신기술협회 등의 

연구소들은  과제를  통하여 

개발 하위시스템  개발 품질보증 항공용  인증  기술  등을 

SBAS 

획득하여  향후  유사  시스템  개발을  위한  기반  기술  확보

◦ 국내협력업체는 

설계 제작 통합  및  시험  기술  등을  획득하여  향후 

장비의 

SBAS 

SBAS 

지속적인 자체 유지보수 능력을 획득하도록 하며 국산화 장비 개발 시 활용할 수 있도록 기반 

기술  확보

◦ 학계에서는 이론 및 테스트베드 위주로 개발되어 온 기술들의 운영 체계 적용 과정을 통하여 

개발  기술의  실제  적용  수준  향상  및  관련  기술  보유  인력  배출  추진

◦ 위성항법  선진국  연구기관의  기술자문을  기반으로  시스템을  설계하고 국내외  산업계와 

공동으로  시스템  장비개발

◦ 시스템  장비의  통합  이후 시험운영을  통하여  항행안전시설  인증  사전준비와  동시에  국토부 

운영센터에  장비인계

SBAS 

◦ 항우연은  국토부 

운영센터를  지원하며

개발된 

는  국토부  인증  이후 

SBAS 

SBAS

항행안전시설로  본격  활용


background image

260

전략목표와의  부합성

(2) 

전략목표

성과목표

전략목표와의 부합성

미래 융합기술

개발 역량 확충

위성항법 핵심 및

응용기술 개발

◦ 위성항법 기술은 다학제간 융합기술의 집약체로 성과목표 달성을

통해 미래의 항공안전 강화와 위치기반 산업등과 같은 활용분야로

기술 역량 확충 기여

성과지표  현황

(3) 

성과지표  및  지표별  목표

 

사업
구분

성과지표

실적

목표

장기목표

(2022)

분야

유형

지표명

2012 2013 2014

2015

2016

2017

출연금

수탁

+

기술

기술혁신

지상시스템 설계

SBAS

진척율

(

)

SDR

(20%)

SRR

(30%)

PDR

(40%)

CDR

(60%)

100%

지상시스템 제작

SBAS

[%]

30

50

100%

시제품 제작

시제품 제작 건

[ ]

5

기관 핵심 성과지표 및 공통지표

과학

논문

표준화된

상위

IF

20%

논문 편

SCI

[ ]

0

0

1

1

1

1

논문 편

SCI

[ ]

3

7

4

5

5

5

경제

기술료

기술이전특허 건

[ ]

0

2

2

2

2

2

기술료 수입 억원

[

]

0.05

0.6

0.1

0.23

0.3

0.6

주요  성과지표의  의미  및  중요성

 

성과지표명

성과지표의 의미 및 중요성

SBAS

지상시스템

설계

(

미) 국제민간항공기구 및 국내 항행안전시설 요구조건을 충족하는 상용서비스 장비를

제작하기 위한 설계기술의 확보

중요성

(

)

항행안전시설은 매우 높은 안전성 요구조건을 만족시켜야 하며 이에 대한 인증을

획득하여야 하므로 설계 단계에서부터 안전성 확보 및 인증 절차를 고려한
설계기술 적용이 필요하며 이 기술은 향후 유사 시스템 개발 시 기술 자립도 향상,

예산 절감 위험 감소에 필수적임

,

SBAS

지상시스템

제작

(

미) 국제 위성항법 선진국의 기술도입을 통하여 한국 지역에 맞는 지상시스템 장비

제작기술의 확보

중요성

(

)

항공용 요구수준 만족을 위한 고수준의 제작 기술 획득이 필요하며 이 기술은 향후

유사 시스템 개발 시 기술 자립도 향상 예산 절감 위험 감소에 필수적임

,

,

시제품 제작

(

미) 중앙처리국

식 통합운영국

식 비행검사용 탑재시험장비

2 ,

2 ,

1

중요성

(

)

중앙처리국 및 통합운영국은

년 항공용

서비스 운영을 위한 장비이며

2022

SBAS

탑재시험장비는

서비스의 항공용 인증을 위한 사전비행시험용 장비로 목표

SBAS

성능 및 일정 준수에 필수적인 시제품임


background image

부문별  계획

 

경영성과계획서

2015~2017 

261

목표  설정  근거 타당성 및  평가방법

 

(

사업
구분

성과지표

최종목표

목표 도출근거

평가 검증 방법

(

)

분야

유형

지표명

출연금

수탁

+

기술

기술
혁신

SBAS

지상시스템 설계

성능

ICAO

요구사항을 만족하는

시스템 설계

진행

CDR(60%)

규정

ICAO

검토회의를 통한

요구사항 만족여부

확인

지상시스템

SBAS

제작

성능

ICAO

요구사항을 만족하는

장비 제작

진행

50%

규정

ICAO

시스템 검증 및

안전성 평가를 통한

만족여부 확인

시제품

제작

시제품 제작

5

중앙처리국 식

(2 ),

통합운영국 식

(2 ),

비행검사용

탑재시험평가장비(1)

시제품 제작 확인

과학

논문

표준화된

상위

IF

논문

20% SCI

3

기관 핵심 성과지표와

최근

년간 실적 및

3

고유임무재정립

목표치 고려

상위

해당

IF

20%

논문 게재 실적

논문

SCI

15

논문 게재 실적

경제 기술료

기술이전특허

6

기술이전 특허 실적

기술료 수입

억원

1.13

기술료 계약 실적

유사  해외  선진연구기관과  비교

 

주요 기술

기관명

기술 수준 및 주요내용

기술력

KARI

년도

2014
기술 수준

년도

2017
기술 목표

SBAS

통합운영국

미국

Raytheon(

)

WAAS O&M5)

설계 제작 및 유지보수 기술

세계최고수준

대비 60%

세계최고수준

대비 70%

미국

MITRE(

)

운영 및 성능평가 기술

WAAS

Thales-Alenia Space

프랑스

(

)

EGNOS CCF6) 설계 제작 및

유지보수 기술

SBAS

중앙처리국

미국

Raytheon(

)

WAAS C&V7)

설계 제작 및 유지보수 기술

세계최고수준

대비 50%

세계최고수준

대비 60%

미국

MITRE(

)

알고리즘 설계 및

WAAS C&V

성능평가 기술

미국

JPL(

)

궤도 및 전리층 감시 기술

GPS

Thales-Alenia Space

프랑스

(

)

EGNOS CPF8)

설계 제작 및 유지보수 기술

5)

의 통합운영국 시스템

Operation and Maintenance WAAS

6)

의 통합운영국 시스템

Central Control Facility EGNOS

7)

의 중앙처리국 시스템

Correction and Verification WAAS

8)

의 중앙처리국 시스템

Central Processing Facility EGNOS


background image

262

성과활용  및  기대효과

(4) 

구분

주요 내용

성과활용

◦ 항공분야 활용

기반

서비스를 활용하여 우리나라 공역 내

이용을 극대화

SBAS

SoL

PBN

- 정부는 공역 수용력 증대 공항 주변 소음 감소 항공기 연료 절감 등의 효과를 유도할 수

,

,

있도록 국내 공항에 대한

기반 접근 절차를 개발하여 발행

APV-I

SBAS

- 경량 항공기 초경량 항공기 등의 일반 항공기 및 군용 항공기 대형 항공기의 비상 시 활용

,

,

등을 위하여 민간 비행장 경비행장 수상 비행장 등 소형 공항에 대한

기반 접근

,

,

SBAS

절차를 개발하여 발행

◦ 각 분야에서 필요한 정밀 위치정보제공 국가 인프라로 활용

- 육상항법

등의 오차를 대폭 축소하여 정밀 내비게이션 적용

(

) GPS

- 자동차 차선까지 구분되는 내비게이션에 활용

(

)

- 농업 트랙터 작동의 자동화 등 정밀경작 무인경작 지원

(

)

- 물류 컨테이너 자동 위치 추적 자동 화물 분류 등에 적용

(

)

,

- 과학 자연재해 신속 대응 자원탐사 상층 대기상태 감시

(

)

,

,

- 문화 복지 미아 노약자 위치 확인 묘지관리

(

)

,

- 레저 스포츠 하이킹 등산 캠핑 낚시 해양레저 경로기록

(

)

,

,

,

,

,

교란 발생 시

초 이내 자동경보 제공으로 즉시 대응체계 확보

GPS

, 6

기대효과

◦ 미래 항공교통 수요 대처 및 항공교통 안전성 향상

- 항공기

사고발생 건수가

년간

CFIT(Control Flight into Terrain)

20

140 (163

23 )

감소( , Flight Safety Foundation, ’01.10.)

◦ 항공교통분야 효율성 제고 및 환경오염 감소 기대

이행에 부합하는

서비스 제공으로 항공교통 혼잡해소 및 공역수용능력

ICAO

PBN

SBAS

확대가 가능할 것으로 기대

- 항공기 사고

감소 및 결항 지연 감소 편익 연간

억원

75%

173

- 연간

천 톤의 탄소배출량 절감 및

천 배럴의 연료절감

5

3

4

2

◦ 일부 선진국 보유

핵심기술 확보와 이를 기반으로 위성항법기술 세계 표준화 참여 및

SBAS

원천기술 확보

◦ 사업비

억원

년 의 투자로 생산유발효과는 총

억원 부가가치 유발효과는

1,200

(~’22 )

3,240

,

억원이며 사업종료 후

년까지 일자리

명 연간

명 으로 기대

1,176

’28

13,872 (

925 )


background image

부록


background image

background image

부록

 

경영성과계획서

2015~2017 

265

부록 1

연구부문  전략목표에  포함하지  않은  사업비  현황

연도

사업
구분

예산사업명

자원 투입

사업 개요

제외 사유

연구사업비

백만원

(

)

인원

( )

2015

(Y)

출연금

우주센터

운영사업

9,046

20

우주센터의 효율적인 운영 및

유지보수와 시설구축 사업

우주센터 운영사업은

경상경비 성격으로

예산이 집행

출연금

기타 출연금

사업

1,902

19

중소기업 지원사업,

항공우주정책 및 국제화 전략

연구 사전기획 및

,

평가관리사업 등

과제로

R&D

관련성과를

경영부문에 포함

수탁

기타

수탁사업

2,743

18

초소형위성 경연대회 국제협력

,

활성화 방안 연구 항공우주

,

정책수립 및 기획연구 등

과제로

R&D

관련성과를 경영부문에

포함

2016

(Y+1)

2017

(Y+2)

년도

만 작성하고 추후 수정 보완시

년도에 대해 작성

* Y

(2015)

,

Y+1, Y+2


background image

266

부록 2

보수  및  복리후생  관리 기획재정부  제시

(

평가내용

보수 및 복리후생 비계량

(

)

지표정의

보수 체계와 복리후생 제도의 합리성 및 개선 노력과 성과를 평가한다.

평가내용

① 보수체계를 합리적이고 공정하게 운영하기 위한 노력과 성과는 적절한가?

- 성과연봉제 도입 운영의 적정성 및 보수체계 단순화

- 고졸자 비정규직 등에 대한 보수 복리후생제도의 합리적 개선 등

,

② 공공기관 복리후생가이드라인 에 따라 복리후생의 정상화를 위한 노력과 성과는 적절한가?

- 기관별 방만경영 정상화계획에 따른 교육비 의료비 경조금 특별휴가 퇴직금 복무행태

,

,

,

,

,

,

고용세습 등의 정상화 이행실적 및 비상대책위원회 구성 운영의 적정성

- 각 연도말 기준으로 복리후생가이드라인을 충족하지 못하는 복리후생 항목의 존재 여부
- 예산상 복리후생비와 사내근로복지기금을 포함한 연간

인당 복리후생비 수준의 적정성

1

- 새로운 복리후생 항목 신설 금지 등 복리후생제도 개선 결과의 지속가능성 확보 노력의 적정성 등

평가내용

총인건비 인상률 계량

(

)

지표정의

공기업 준정부기관 예산편성 지침의 총인건비 인상률 준수여부를 평가한다.

평가내용

총인건비 인상률은 다음과 같이 산출

총인건비 인상률 =

평가년도 총인건비

전년도 총인건비

-

전년도 총인건비

총인건비의 정의는 공기업 준정부기관 예산편성지침에 따름

평가내용

노사관리 비계량

(

)

지표정의

노사관계 합리성 제고를 위한 노력과 성과를 평가한다.

평가내용

① 노사관계 선진화를 위한 전략 등이 합리적으로 개발되어 실천되고 있는가?

② 합리적이고 적법한 노사관계가 구축되어 노사협력이 실현되고 구체적인 성과를 내고 있는가?

③ 노사간의 공감대 형성을 위한 의사소통과 노사관계 관리 역량 강화를 위한 노력과 성과는

적절한가?

④ 경영 인사권의 침해를 조장하는 단체협약의 개선을 위한 기관의 노력과 성과는 적절한가?

⑤ 노조가 있는 경우 단체협약의 내용이 합리적이고 이를 개선하기 위한 기관의 노력과 성과는

[

]

,

적절한가?

노조가 없는 경우 노사협의회를 실질적이고 효율적으로 운영하기 위한 기관의 노력과 성과는

[

]

적절한가?


background image

부록

 

경영성과계획서

2015~2017 

267

부록 3

영문  약어

약어

영문 명칭

한글명칭

ADS-B

Automatic  Dependent  Surveillance-Broadcast

항공기  위치  정보  자동  방송  기술

AFCS

Automatic  Flight  Control  System

자동비행조종시스템

APRSAF

Asia-Pacific  Regional  Space  Agency  Forum

아 태지역  우주기관  포럼

ARC

(NASA)  Ames  Research  Center

나사  에임스  리서치  센터

ASIC

Application  Specific  Integrated  Circuit

주문형  집적회로

AVCS

Active  Vibration  Control  System

능동진동제어시스템

CC

Combustion  Chamber

연소기 연소실

(

)

CCSDS

Consultative  Committee  for  Space  Data  Systems 

우주데이터시스템자문위원회

CDR

Critical  Design  Review

상세설계검토회의

CEP

Circular  Error  Probability

원형  공산  오차

CI

Citation  Index

논문 피인용  지수

(

CMG

Control  Moment  Gyro

제어  모멘트  자이로

CNES

Centre national d'etudes spatiales(National Centre for Space   Studies)

프랑스국립우주연구소

CPU

Central  Processing  Unit

중앙처리장치

CT

Countdown  Time

카운트다운  타임

CTE

Critical  Technology  Element

핵심중점기술

D/R

Down-Range  telemetry  system

다운레인지  원격자료수신장비

DAL

Design  Assurance  Level

설계  보증  수준

DB

Data  Base

데이터베이스

DM

Demonstration  Model

기술증명모델

DM

Development  Model

개발모델

E/L

Export  License

수출허가

EADS

European  Aeronautic  Defence  and  Space 

Company  N.V.

유럽항공방위우주산업

EECU

Electrical  Engine  Control  Unit

전자  엔진  제어  유닛

EM

Engineering  Model

공학모델

EQM

Engineering  Qualification  Model

공학인증모델

ESA

European  Space  Agency

유럽  우주국

ESOC

European  Space  Operations  Centre

유럽우주운영센터

FADEC

Full Authority  Digital Engine(or Electronics) Control

통합  디지털  엔진제어기 전자식   

(

제어장치)

FAT

Final  Acceptance  Test 

최종  인수시험


background image

268

FHR

Fraunhofer-Institute  for  High  Frequency  Physics 

and  Radar  Techniques 

-

FM

Flight  Model

비행모델

FPGA

Field  Programmable  Gate  Array

프로그램가능  집적회로

FRRB

Flight  Readiness  Review  Board

비행시험안전성위원회

FTS

Flight  Termination  System

비행종단지령장비

GEO

Geostationary  Earth  Orbit

정지궤도

GK2A

GEO-KOMPSAT-2A

정지궤도복합위성  2A

GK2B

GEO-KOMPSAT-2B

정지궤도복합위성  2B

GMAT

General  Mission  Analysis  Tool

범용  임무  설계  도구

GSD

Ground  Sample  Distance

지상화소거리

GSOC

German  Space  Operations  Centre

독일우주운영센터

GTO

Geostationary  Transfer  Orbit

지구정지전이궤도

HALE

High  Altitude  Long  Endurance

고고도  장기체공  비행기

HILS

Hardware-In-the-Loop  Simulation

실제 유사한 하드웨어 환경하의 실시간 시뮬레이션 시험

IAC

International  Astronautical  Congress

국제우주대회

IADC

Inter-Agency Space Debris Coordination Committee

국제우주파편조정위원회

IAF

International  Astronautical  Federation

국제우주연맹

IF

Impact  Factor

학술지 영향력  지수

(

IFAR

International  Forum  for  Aviation  Research

국제항공연구포럼

IMA

Integrated  Modular  Avionics

모듈통합형  항공전자  시스템

IO

Input/Output

입출력

IRR

Integration  Readiness  Review

시스템종합준비검토

ISEB

International  Space  Education  Board

국제학생교육위원회

KWI

KARI  Woman  Index

여성성인력  종합지수

KARI 

LEOP

Launch  and  Early  Orbit  Phase

초기운용단계

LEOP

Launch  &  Early  Operation  Plan

발사초기운영

LRO

Lunar  Reconnaissance  Orbiter

달정찰궤도선

MCM

Multi  Chip  Module

다중칩  모듈

MDC

Mission  Director  Center

발사지휘센터

MDR

Mission  Definition  Review

임무정의검토

MHA

Modified  High-Alphabet

수정된  고급  알파벳  명령방식

MIMO

Multiple  Input  Multiple  Output

다중입력  다중출력

MTCR

Missile  Technology  Control  Regime

미사일  기술  통제  체제

MTF

Modulation  Transfer  Function

변조  전달함수

NAP

National  Agenda  Project

국가  아젠다  해결형  사업

NASA

National  Aeronautics  and  Space  Administration

미국항공우주국


background image

부록

 

경영성과계획서

2015~2017 

269

NTIS

National Science & Technology  Information System

국가과학기술종합정보시스템

OCE

Office  of  Chief  Engineer

고경력  전문가  그룹

ODA

Official  Development  Assistance

공적개발원조

PAV

Personal  Air  Vehicle

개인용  항공기

PB

PreBurner

예연소기

PCI

Peripheral  Component  Interconnect

주변장치  연결방식

PDR

Preliminary  Design  Review

예비설계검토

PSM

Propulsion  System  Model

추진기관모델

PSR

Pre-Ship  Review

선적전검토

PST

Pre-Shipment  Test

선적  전  시험

QM

Qualification  Model

인증모델

RBCC

Rocket-Based  Combined  Cycle

로켓  기반  복합사이클  엔진

RF

Radio  Frequency

무선주파수

RFID-AMS Radio Frequency Identification Asset Management System

무선인식  스마트자산관리시스템

RTM

Resin  Transfer  Molding

수지전이성형

SAR

Synthetic  Aperture  Radar

합성개구레이더

SBAS

Satellite  Based  Augmentation  System

위성기반  보강항법시스템

SCI

Science  Citation  Index

과학기술논문인용색인

SDR

System  Design  Review

시스템설계검토

SGP4

Simplified  General  Perturbations  Model  4

-

SiC

Silicon  Carbide

탄화규소

SISO

Single  Input  Single  Output

단일입력  단일출력

SNR

Signal  to  Noise  Ratio

신호대잡음비

SNS

Social  Network  Service

사회  관계망  서비스

SpaceOps

International  Committee  on  Technical  Interchange  for 

Space  Mission  Operations  and  Ground  Data  Systems

국제우주운영총회

SRR

System  Requirements  Review

시스템요구사항검토

TDM

Technology  Development  Model

기술개발모델

TLM

Telemetry  system

원격자료수신장비

TP

TurboPump

터보펌프

TRL

Technology  Readiness  Level

기술성숙도

TRR

Test  Readiness  Review

시험준비검토

UAS

Unmanned  Aerial  System

무인항공시스템

USGS

U.S  Geological  Survey

미국지질조사국

VIMS

Visible  and  Infrared  Mapping  Spectrometer

가시광선  및  적외선  매핑    분광기

WFE

Wave  Front  Error

파면오차

WMO

World  Meteorological  Organization

세계기상기구

WP

Work  Package

업무구성단위

ZEUS

Zone  for  Equipment  Utilization  Service

장비공동활용서비스