PDF문서230808 조간 (보도) 다누리 발사 1주년 기념식 및 우주탐사 심포지엄 개최(최종본)★.pdf

닫기

background image

-  1  -

        과학기술정보통신부

보도자료

보도시점

2023. 8. 7.(월) 14:30

(2023. 8. 8.(화) 조간)

배포

2023. 8. 7.(월) 09:00

다누리  발사  1주년,  대한민국 

우주탐사의  첫발을  딛고  미래로!

-  다누리  발사  1주년  기념식  및  우주탐사  심포지엄  개최

  과학기술정보통신부(장관  이종호,  이하  ‘과기정통부’)와  한국항공우주연구원(원장 

이상률,  이하  ‘항우연’)

은  8월  7일(월)  다누리  발사  1주년  기념식  및  우주탐사 

심포지엄을  개최했다.

  다누리  발사  1주년  기념식에는  이종호  과기정통부  장관,  이상률  항우연  원장, 

김영철  연구재단  사무총장,  다누리  개발∙운영  관련자  및  국내  우주탐사  관련 

전문가  등  100여명이  참석하여  다누리의  성과와  운영현황을  공유하고  발사 

1주년을  축하했다.

  다누리는  작년  8월  5일(금)  오전  8시  8분에  미국  플로리다주  케이프커내버럴 

우주군  기지에서  발사된  후,  145일  간의  지구-달  항행을  통해    2022년  12월  27일 

달  임무궤도  진입에  최종  성공했다.  이를  통해  우리나라는  우주탐사  불모지에서 

세계 7번째로  달 궤도에 탐사선을 투입‧운용할  수 있는 세계 7대  우주강국으로 도약할 

수  있었고,  국내  최초  지구-달  사진  촬영(’22.8.26),  세계최초  우주인터넷을  통한  영상‧

사진 데이터 전송(’22.10.28) 등 다양한 과학‧기술적 성과를 도출할 수 있었다.

  다누리는  달  임무궤도에  진입한  이후  올해  2월  3일까지  약  1개월에  걸쳐 

시운전운영을  완료했고,  2월  4일  정상임무운영에  착수하여  6개의  탑재체로  달 

착륙후보지  탐색,  달  과학연구,  우주인터넷기술  검증  등  과학기술  임무를  수행 

중이다.  이  과정에서  다누리는  국내  최초로  달  뒷면  촬영(’23.3.22.)사진을  보내오는 

등  안정적인  달  관측  및  데이터  송‧수신  능력을  보여주었다.  또한  지난  6월에는 

다누리의  달  탐사  연구성과를  확대하기  위해  잔여  연료량과  본체  영향성  분석을 

거쳐  임무운영기간을  연장(’23.1월~12월  →  ’23.1월~’25.12월)하기로  결정했다.


background image

-  2  -

  특히  이번  다누리  발사  1주년  기념식에서는  다량의  얼음이  존재할  것으로 
예상되는  에르미트-A  분화구(Hermite-A  Crater),  분화구  경계면에  아르테미스  III 
유인탐사  착륙후보지가  있는  아문센  분화구(Amundsen  Crater)  등의  촬영사진들

(고해상도카메라)

과  달의  대표적인  자기이상지역인  라이나  감마  스월(Reiner 

Gama  Swirl)

의  촬영사진(광시야  편광카메라),  감마선분광기의  관측자료로  만든 

토륨  원소지도  초안,  달  남극점의  영구음영지역인  스베드럽  분화구(Sverdrup 

Crater)

의  촬영  사진(NASA  섀도우캠)  등  다양한  성과물들을  추가로  공개하여 

참석자들의  많은  관심을  끌었다[붙임2~8  참조]. 

<  다누리  발사  1주년  기념  추가  공개  달  관측자료  >

에르미트-A  분화구

[7월  9일,  에르미트-A  분화구  사진(고해상도카메라)]

[7월  26일,  아문센  분화구  사진(고해상도카메라)]


background image

-  3  -

  다누리는  ‘25.12월까지  달  임무궤도를  돌며  달  관측임무를  수행할  예정이며, 

특히  오는  12월에는  다누리  임무  수행  1주년을  기념하여  달  착륙후보지  사진, 

5종의  달  원소지도,  달  방사선환경지도  등  다양한  성과들을  공개할  계획이다.

다누리 발사 1주년 기념식 이후에는 ‘대한민국 우주탐사의 가치와 필요성’을 

주제로 제1회 우주탐사 심포지엄이 진행되었다. 이날 심포지엄에는 과기정통부 

이창윤  연구개발정책실장,  조선학  거대공공연구정책관을  비롯하여  국내 

우주탐사 분야의 다양한 전문가들이 참여하였다.

[4월 5일, 라이나 감마 스월 사진(광시야 편광카메라)] [2월  16일,  스베드럽  분화구  사진(섀도우캠)]

[‘23.1월~3월  관측자료  기반,  달  표면  토륨  원소지도  초안(감마선분광기)]


background image

-  4  -

우주탐사  심포지엄은  대한민국  우주탐사  비전과  전략을  수립하기  위해 

연구현장의  우주탐사  관련  과학연구·기술개발  수요  등  다양한  목소리를 
듣고 이야기를 나누는 자리로, 이번 논의를 시작으로 달, 화성, 소행성 등 
다양한 분야별로 관련 전문가들의 의견을 수렴할 예정이다.

<  우주탐사  심포지엄  개최  계획(안)  >

일정

주제

주요  내용(안)

’23.8월

대한민국

우주탐사의  가치

⦁대한민국  우주탐사의  가치와  필요성

’23.9월

달  탐사

⦁달  탐사의  가치  및  R&D  추진  전략
⦁달  궤도선,  착륙선  운영  및  달  기지  건설  전략

’23.10월

화성  탐사

⦁화성  탐사의  가치  및  R&D  추진  전략
⦁화성  궤도선  및  착륙선  개발  방안

’23.11월

소행성  탐사

⦁소행성  탐사의  가치  및  R&D  추진  전략
⦁탐사  대상  소행성  검토  및  소행성  탐사선  개발  방안

’23.12월

유인  탐사와

우주과학  임무

⦁유인  탐사  전략,  집중  연구  분야  및  향후  과제  검토
⦁우주과학  임무의  가치,  우주과학  R&D  추진  전략

이번 첫 번째 심포지엄에서는 달, 화성 등 개별적인 탐사 분야 전략 수립에 

앞서서, ‘우리나라가 왜 우주탐사를 추진해야 하는가’에 대해 과학·기술·
경제·철학 등 다양한 관점에서 그 가치와 필요성에 대한 논의가 이루어졌다.

첫  발제자로  나선  천이진  항우연  위성우주탐사체계설계부장은  ‘글로벌 

우주탐사 현황 및 전망’이라는 주제로 美, 日, EU등 글로벌 우주개발 선도국
들의 우주탐사 추진 현황과 향후 계획 등을 소개하며, 세계 우주탐사 분야의 
경쟁이  확대되고  치열해지고  있음을  강조하였다.  그리고  이러한  글로벌 
환경에서 우리나라가 나아가야 할 방향에 대해 제언하였다.

이어 박상준 서울SF아카이브 대표가 ‘미래사회와 우주탐사’라는 주제로 

미래  사회에서  우주탐사의  역할,  우주탐사가  가져올  미래  사회의  변화, 
그리고 대한민국 우주탐사의 가치 및 필요성에 대해 발표하며, 국가 미래 
발전 차원에서 우주탐사의 중요성을 강조하였다.

발표 후에는 우주탐사 분야 산·학·연 각계각층의 전문가들이 우주탐사의 

필요성 및 우리나라의 우주탐사가 나아가야 할 방향성과 구체적인 전략에 
대해 열띤 토론을 나누었다.


background image

-  5  -

  이종호  과기정통부  장관은  다누리  발사  1주년  기념식에서  “다누리의  성공을  통해 

대한민국이  인류의  우주탐사에  기여하는  진정한  달  탐사  참여국가가  되었다”며 

“우리나라의  국격을  한  단계  높이고,  국민들에게  자긍심을  심어준  연구진들의 

노고에  감사드린다”고  연구진을  격려했다.  또한  “다누리가  내딛은  첫걸음을 

바탕으로  대한민국이  우주의  무한한  기회를  누릴  수  있도록  여러  전문가분들과 

국민들의  많은  관심을  바란다”고  밝혔다.

붙임1.  다누리  발사  1주년  기념식  및  우주탐사  심포지엄  개요

붙임2.  고해상도카메라  -  에르미트-A  분화구

붙임3.  고해상도카메라  –  드라이갈스키  분화구

붙임4.  고해상도카메라  –  아문센  분화구

붙임5.  고해상도카메라  –  훔볼트  분화구

붙임6.  광시야  편광카메라  –  라이나  감마  스월

붙임7.  감마선분광기  –  달  표면  토륨  원소지도  초안

붙임8.  섀도우캠(ShadowCam)  –  스베드럽  분화구

담당 부서

거대공공연구정책관

책임자

팀  장  전승윤 (044-202-4671)

뉴스페이스정책팀

담당자

사무관

장동수 (044-202-4642)

담당자

사무관

신원식 (044-202-4674)

유관기관

한국항공우주연구원

운영책임

업무리더

전문진 (042-870-3772)

고해상도카메라 책임자

책임연구원

김은혁 (042-870-3669)

한국천문연구원

편광카메라 책임자

책임연구원

최영준 (042-865-3266)

경희대학교

자기장측정기 책임자

교수

진호 (031-201-3865)

한국지질자원연구원

감마선분광기 책임자

센터장

김경자 (042-868-3669)

한국전자통신연구원

우주인터넷탑재체 책임자

실장

이병선 (042-860-4903)


background image

-  6  -

붙임1

  다누리  발사  1주년  기념식  및  우주탐사  심포지엄  개요

□  추진개요

○ (목적) 다누리 발사(‘22.8.5) 1주년을 기념하여 운영 현황과 성과를 공유하고,

향후 대한민국 우주탐사의 방향성을 논의하기 위한 심포지엄을 개최

○ (일시) 2023년 8월 7일(월), 14:30~17:05

○ (참석자) 과기정통부 장관, 항우연 원장, 연구재단 사무총장, 미래혁신연구센터장

(前 달탐사사업단장)

, 다누리 사업 관련자* 및 우주탐사 관련 전문가 등 약 100명

        *  달 탐사 사업 전담평가단, 사업추진위원, 탑재체 개발연구진(천문연, 지자연 등)  등 

□  진행계획

구분

내용

비고

1

14:30~14:42

개회  및  축사

과기정통부  장관,

항우연  원장  등

14:42~15:00

다누리  운영현황  및  성과,

향후  운영  계획  보고

항우연 

미래혁신연구센터장
(前  달탐사사업단장)

15:00~15:35

기념촬영  및  연구진  격려

-

2

15:35~15:40

인사말씀

과기정통부

연구개발정책실장

15:40~16:00

(발표1)  글로벌  우주탐사  현황  및  전망

항우연  위성우주

탐사체계설계부장

16:00~16:20

(발표2)  미래사회와  우주탐사

박상준  서울SF 
아카이브  대표

16:20~17:00

대한민국  우주탐사의  가치  논의

참석자  전원

17:00~17:05

마무리  말씀

과기정통부

연구개발정책실장

※  1부  :  다누리  발사  1주년  기념식,  2부  :  우주탐사  심포지엄 


background image

-  7  -

붙임2

  고해상도카메라  -  에르미트-A  분화구

*  달의  북극에  위치한  대형  분화구  에르미트(직경  약  110km)의  북동쪽에  위치한  위성  분화구인 

에르미트-A  (직경  약20km)는  내부에  영원히  태양빛이  도달하지  않는  영구음영지역을  포함하고 

있음.  특히,  에르미트-A  내  영구음영지역에는  다량의  물이  얼음  형태로  존재할  것으로  예상되어 

고해상도카메라와  ShadowCam의  주요  관측  지역  중의  하나임.  사진은  5회  촬영  영상을  더한  것임

촬영  시작시간

2023-07-09  18:23:07  (KST)

2023-07-09  09:23:07  (UTC)

달표면  좌표

북위  87.8°,  서경  47.1°

촬영  소요시간

노출시간  100초  x  5회

달표면  명칭

에르미트-A  분화구 
(Hermite-A  Crater)

촬영  환경

달의  중심  지향  자세에서  촬영

 

  달에서의  위치(출처:  quickmap.lroc.asu.edu)  :  노란색  점으로  표시

달  앞면  사진

               

달  북극쪽  사진

에르미트-A  분화구


background image

-  8  -

붙임3

  고해상도카메라  –  드라이갈스키  분화구

*  직경  약  150km의  대형  분화구  드라이갈스키는  달  남극  근처에  위치하고  지구에서  관측  가능한 

달의  남쪽  경계면에  있어서  쉽게  볼  수  없는  곳임.  충돌에  의한  분화구  깊이는  약  4.6km  정도

이며  중앙부  정상은  바닥면에서  약  2.5km  높이임. 

촬영  시작시간

2023-07-10  10:58:24  (KST)

2023-07-10  01:58:24  (UTC)

달표면  좌표

남위  79.3°,  서경  84.9°

촬영  소요시간

40  초

달표면  명칭

드라이갈스키  분화구 

(Drygalski  Crater)

촬영  환경

달의  남극으로  비행하며  동쪽→서쪽으로  자세  기동하여  촬영

  다누리가  촬영한  드라이갈스키  분화구  전체  영상  (영상폭  ~190  km)

  드라이갈스키  분화구의  중심부  확대  영상  (영상폭  ~40km)

  달에서의  위치(출처:  quickmap.lroc.asu.edu)  :  노란색  점으로  표시

달  앞면  사진

               

달  남극쪽  사진


background image

-  9  -

붙임4

  고해상도카메라  –  아문센  분화구

*  달의  남극점에서  불과  160km  떨어져  있는  달  남극의  주요  충돌분화구  (직경  약  103km). 

노르웨이의  탐사가  Roald  Amundsen을  기념하여  명명됨.  아문센  분화구  내부에는  영구음영

지역이  존재함.  윗쪽에  위치한  노빌  분화구와  아문센  분화구  사이의  분화구  경계면은  미국 

아르테미스  III  유인탐사  착륙후보지중의  한  곳임.

촬영  시작시간

2023-07-26  08:07:25  (KST)

2023-07-25  23:07:25  (UTC)

달표면  좌표

남위  84.5°,  동경  82.8°

촬영  소요시간

40  초

달표면  명칭

아문센  분화구 

(Amundsen  Crater)

촬영  환경

달의  남극으로  비행하며  동쪽→서쪽으로  자세  기동하여  촬영

  다누리가  촬영한  아문센  분화구  영상  (영상폭  ~230km)

  확대  영상  (영상폭  ~80km)

  달에서의  위치(출처:  quickmap.lroc.asu.edu)  :  노란색  점으로  표시

달  앞면  사진

달  남극쪽  사진


background image

-  10  -

붙임5

  고해상도카메라  –  훔볼트  분화구

*  지구에서  관측  시  달의  동쪽  경계면에  위치하며  약  35억년  전  생성된  초대형  분화구임  (직경 

199.5km).  분화구  내부에는  다양한  소형  분화구,  융기된  지형  등이  관찰됨. 

촬영  시작시간

2023-07-27  05:18:40  (KST)

2023-07-26  20:18:40  (UTC)

달표면  좌표

남위  27.02°,  동경  80.96°

촬영  소요시간

60  초

달표면  명칭

훔볼트  분화구 

(Humboldt  crater)

촬영  환경

달의  적도에서  남극으로  비행하며  동쪽→서쪽으로  자세  기동하여  촬영

  다누리가  촬영한  훔볼트분화구  전체  영상  (영상폭  ~215km)

  분화구  중심부와  주변  골짜기  확대  영상  (영상폭  ~30  km)

  달에서의  위치(출처:  quickmap.lroc.asu.edu)  :  노란색  점으로  표시

달  앞면  사진

달  남위75도~북위75도  영역


background image

-  11  -

붙임6

  광시야  편광카메라  –  라이나  감마  스월*

*  주변  지형의  높낮이  및  성분과  무관하게  밝고  어두운  무늬가  나타나는  지역 

촬영  시작시간

2023-04-05  21:59:19  (KST)

2023-04-05  12:59:19  (UTC)

달표면  좌표

북위  5.52°  -  11.8°
서경  53.4°  -  60.9°

촬영  소요시간

1일

달표면  명칭

라이나  감마  스월

(Reiner  Gama  Swirl)

촬영  환경

달의  북극→남극  이동  중  촬영

 

광시야  편광  카메라로  촬영한  폭풍의  대양  일대  라이나  감마  스월  (1일  관측분  모자이크)

  달에서의  위치  (출처:  quickmap.lroc.asu.edu)  :  붉은색  네모로  표시

달  앞면  사진

  뒷면


background image

-  12  -

  광시야  편광카메라  관측

Ÿ

해당  위치는  달의  전면부에  위치한  폭풍의  대양의  일부임

Ÿ

라이나  감마  스월(Reiner  Gamma  Swirl)은  달의  자기이상지역  중  가장  유명한  지역임

Ÿ

달의  자기이상지역에서  나타나는  달  스월(lunar  swirl)은  달  표면에서  특별한  지형이나 

성분의  차이  없이  밝기  변화만  나타나는  특이한  지역임

Ÿ

이  지역의  발생  원인에  대해서는  아직  알려진  바가  없으나  지상에서  촬영한  편광 

영상  분석  결과에  의하면  이  지역의  편광  특성은  주변  지역과  큰  차이를  보임

Ÿ

이  지역이  주변과  동시에  만들어진  지역이며  토양의  성분도  주변과  동일한  점을 

고려하면  편광영상이  달  스월의  생성  기작을  이해하는데  큰  역할을  할  수  있을  것

으로  많은  연구자들이  기대하고  있음

Ÿ

지상  편광  영상을  이용한  국내  연구진의  분석  결과에  의하면  이  지역의  토양의  밀도와 

입자크기  분포는  주변과  큰  차이를  보이고  있으며  이는  달  표면의  밝기  변화를  유발할 

수  있는  특성이기  때문에  고무적인  연구결과  임(정민섭,  김성수,  최영준  외  1  명,  2016)

Ÿ

하지만  지상관측으로는  관측  해상도가  낮아  정밀한  분석이  어려웠으나  광시야  편광 

카메라의  자료는  관측  해상도가  최대  41m로  정밀한  분석이  가능할  것으로  기대됨


background image

-  13  -

붙임7

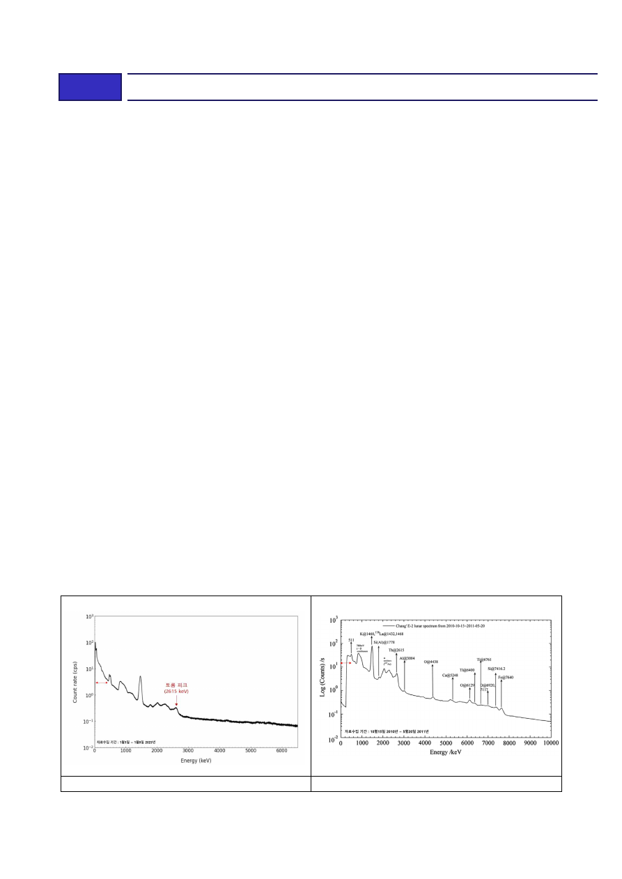
  감마선분광기  –  달  표면  토륨  원소지도  초안

□  감마선분광기  관측  개요

○ 다누리의 감마선분광기는 달 궤도상에서 24시간 내내 매 10초마다

달의 감마선 관측자료를 수집 중

○ 이번에 공개한 달 표면 토륨 원소지도는 ‘23년 1월 1일부터 3월 31일까지

3개월간 수집한 자료를 활용해 작성한 초기 지도로, 상대적인 함량비교가 가능

- 향후 감마선 관측자료의 추가 수집, 달 표면 고도 보정 및 달 귀환

시료의 화학자료를 통한 보정으로, 오는 12월까지 달 표면의 지역별
토륨 함량을 명시한 달 표면 토륨 함량지도(ppm)를 제작할 계획임

□  관측  결과

○ 3개월 동안 수집한 감마선 분광자료에 대해 에너지 보정 등의 작업 후,

관측지역별 토륨 피크를 분석해 토륨 원소지도를 작성

- 감마선 분광자료 상 토륨에 해당되는 에너지는 2,615 keV이며, 관측지역별로

이 에너지 대역에서 나타나는 스펙트럼의 피크를 분석, 지도에 표시

- 현재 제작된 달 표면 토륨 원소지도 초안은 달 표면의 지역별 함량을

상대적으로 나타내며, 지역별 토륨 함량의 특성을 한눈에 보여줌

[다누리  감마선분광기  관측  자료]

[중국  창어-2  감마선  관측  자료]


background image

-  14  -

[달  표면  토륨  원소지도  초안]

[달  표면  토륨  원소  지도  비교  ]


background image

-  15  -

붙임8

  섀도우캠(ShadowCam)  –  스베드럽  분화구

*  달  남극점  근처의  충돌  분화구로서  직경은  약  35km이며  하단의  사진은  그  일부를  확대한  것임.  노르웨이 

북극탐험가  Otto  Sverdrup을  기념하여  명명하였음.  스베드럽  분화구의  남쪽에는  남극점  분화구  새클턴이 

위치하며  두  분화구의  경계면은  아르테미스  유인  미션  착륙  후보지  중의  한  곳임.  스베드럽  분화구 

중심  (영구음영지역)에서는  매우  많은  수의  소형  분화구가  ShadowCam  촬영으로  발견되었음.

촬영  시작시간

2023-02-16  00:59:29  (KST)

2023-02-15  15:59:29  (UTC)

달표면  좌표

남위  88.3°,  서경  153.4°

촬영  소요시간

노출시간  82초

달표면  명칭

스베드럽  분화구 

(Sverdrup  Crater)

촬영  환경

달의  중심  지향  자세에서  촬영  (영상  크기  6.4x6.4km)

  달에서의  위치(출처:  quickmap.lroc.asu.edu)  :  노란색으로  표시

달  뒷면  사진

               

달  남극쪽  사진